1
实用天文学
1.13.4 第四节 海平俯角

第四节 海平俯角

在海上观测之时因船体动摇不能应用水准,以指示其水平方向,可用自然界之海平线代之。按图9-3设观测者位于T,高出于海面M为h,测其所见之海平线方向为TH,与T点之水平方向夹D角,称为海平俯角。连接地球中心点O至TH之切点H之直线,

∠TOH=D

img171

img172

图9-3 海平俯角

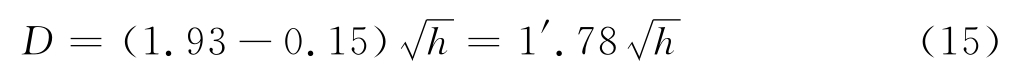
因D为极小之角,且h与R相较为一小值,故上式可以写作

img173

img174

其中取R=6 370公里,h以公尺为单位,D以分为单位。则s=3 438,而

img175

实际上在观测点T视向海平线H之切线TH,由于蒙气差关系并非一直线,由经验知在下层空气内,一近似平行之光线,由于蒙气差关系一海里(1.852公里)内移动4″.6=0′.077。自观测者至海平线之距离,如以海里计算,则其数值适等于其以分为单位之俯角D值,盖一海里适约等于地球面上一分之距离也。故蒙气差之影响γ′为

img176

由式(14)减去γ′,则实用之公式为

img177