1
实用天文学
1.13.2 第二节 视 差

第二节 视 差

天文年历内所载各天体之坐标系以地球中心为天球之中心,但观测者测天体高度角时,则在地球表面之上,是以在地面上观测之高度角,必须归化至地球中心之相当数值,此种改正名为视差改正。恒星离地球极远,其视差近于零,太阳系内太阳太阴及各行星距地球较近,观测高度角必须加视差改正。

按图9-2,S为一天体,z′为在地球面上一点M量测该天体之天顶距,z为在地球中心所见S之天顶距,视差p为

p=z′-z(9)

img167

图9-2 视差

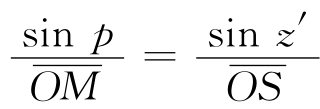
由图中三角形MSO,用正弦定律,可得

img168

img169

其中OM为地球之半径,OS为地球至天体之距离。设天体S位在观测点之地平上,其视差为p0,

img170

p0称为地平视差。将式(11)代入式(10),因p及p0均为极小之角,故可写作

p=p0sin z′ 或 =p0cos h(12)

地平视差p0随地球与天体间之距离而异,太阳、太阴及行星之地平视差均列于天文年历中,查得之后乘以所测高度角h之余弦,即得视差改正p值。由图9-2可见由于视差关系,在地面上所观测之高度角常小于地心之高度角,故视差改正永为正号。若所观测为天顶距,则视差改正永为负号。