4.3.4 前向CDMA信道
CDMA前向信道(也可称为下行信道)组成如图4-14所示,它包括:导频信道、同步信道、寻呼信道(最多可以有7个)和若干个业务信道。每一个码分信道都要经过一个Walsh函数进行正交扩频,然后又由1.228 8 Mchip/s速率的伪随机序列扩频。在基站可按照频分多路方式使用多个前向CDMA信道。

图4-14 CDMA前向信道组成
前向码分信道最多为64个,但前向码分信道的配置并不是固定的,其中导频信道一定要有,其余的码分信道可根据情况配置。例如可以用业务信道一对一地取代寻呼信道和同步信道,这样最多可以达到有1个导频信道、0个寻呼信道、0个同步信道和63个业务信道,这种情况只可能发生在基站拥有两个以上的CDMA信道时(即带宽大于2.5 MHz),其中一个为基本CDMA信道,所有的移动台都先集中在基本信道上工作,此时,若基本CDMA业务信道忙,可由基站在基本CDMA信道的寻呼信道上发出信道支配消息或其他相应的消息将某个移动台指配到另一个CDMA信道(辅助CDMA信道)上进行业务通信,这时这个辅助CDMA信道只需要一个导频信道,而不再需要同步信道和寻呼信道。
1.前向业务信道
前向业务信道用于携带用户信息,同时支持速率1(9.6 kbit/s)和速率2(14.4 kbit/s)的声码器业务。图4-15描述了前向业务信道各功能模块的作用,图4-16给出了速率1和速率
2前向业务信道的产生。

图4-15 CDMA前向业务信道各功能模块作用
(1)语音编码
CDMA声码器是可变速率声码器,可工作于全速率、1/2速率、1/4速率和1/8速率。通常对应于速率1和速率2分别有两种声码器:工作于9.6 kbit/s数据流的8 kbit/s声码器和工作于14.4 kbit/s数据流的13.3 kbit/s声码器。速率1包含四种速率:9 600 bit/s、4 800 bit/s、2 400 bit/s和1 200 bit/s。速率2包含四种速率:14 400 bit/s、7 200 bit/s、3 600 bit/s和1 800 bit/s。当速率2是可选时,移动台不得不支持速率1。信道结构对于速率1和速率2是不同的。两种声码器都能进行语音性能检测和减少在系统中受到的干扰。

图4-16速率1和速率2前向业务信道的产生
图4-17和图4-18分别给出了速率1和速率2前向/反向业务信道帧结构。从声码器得到的信息为每帧20ms。速率1声码器的全速(9 600 bit/s)输出速率为8.6 kbit/s,每20 ms编码为172 bit。帧质量指示F〔循环冗余码校验(CRC)〕与编码尾比特T(8 bit)加在声码器输出的信息比特之后。帧质量指示有两个目的:一是允许接收机在所有172信息比特上计算了CRC后,确定是否有帧发生错误;二是帮助确定接收帧的数据速率。9 600 bit/s帧是每20ms有192 bit(172+ 12+ 8)被传输产生的。其中,12 bit为帧质量指示,8 bit为尾比特。同样的过程产生在4 800 bit/s帧上。2 400 bit/s和1 200 bit/s帧没有帧质量指示的比特字段,这是因为这些帧相对抗误码性能较强,且发送的大多数信息是背景噪声。速率2和速率1使用相似的过程,区别是所有的速率2都有帧质量指示。这是由于更高的传输速率易造成误码。速率2也有1 bit的预留字段。

F—帧质量指示(CRC);T—编码尾比特
图4-17速率1的前向/反向业务信道帧结构

R—前向信道的预留比特;F—帧质量指示(CRC);
E—指示错误帧接收;T—编码尾比特
图4-18速率2的前向/反向业务信道帧结构
(2)卷积编码
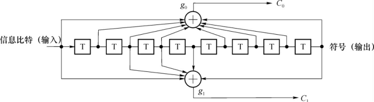
卷积编码通过提供纠错/检错能力为信息比特提供保护。同步信道、寻呼信道和前向业务信道在发送前应进行卷积编码。采用1/2比率,约束长度K为9的卷积编码器,如图4-19所示,图中T为移位寄存器,速率1和速率2的帧被送入1/2比率卷积编码器。

图4-19 K= 9,1/2比率的卷积编码器
(3)符号重复
符号重复器跟随在卷积编码之后,它根据需要重复数据,速率1产生19.2 kbit/s,速率2产生28.8 kbit/s的速率。对于速率1,如果输入是19.2 kbit/s,符号不重复;如果输入是9.6 kbit/s,则每个符号出现两次;如果输入是4.8 kbit/s,则每个符号出现4次,以此类推。符号重复为无线信道抵抗衰落提供附加的措施,可增加接收的可靠性,重复符号比全速率符号的功率电平低,由于所有符号总功率是一样的,因此各符号功率减少了。
导频信道没有该过程。对于同步信道,每个经卷积编码后的符号,在块交织前应重复一次(每个符号连续重发)。寻呼信道与前向业务信道的符号重复一样。
(4)符号抽取
此符号抽取过程只作用于速率2帧。IS-95决定对两种速率使用同样的块交织器,这意味着块交织器的输入符号速率是相同的。CDMA通过从每6输入中删除2实现把28.8 kbit/s数据流变为19.2 kbit/s。
(5)块交织
交织是用来抗瑞利衰落影响的。瑞利衰落是频率选择性衰落,它引起大块数据连续出错,使接收机上很难正确接收。交织扰乱信息的顺序使交织后的突发错误在接收端还原后成为随机错误,随机错误就比较容易通过使用纠错编码技术进行纠正。
前向业务信道的块交织器每20 ms接收384调制比特。这些比特被输入到24×16的矩阵交织扰乱信息,然后输出送到下一步骤(数据扰码)。
同步信道、寻呼信道和前向业务信道在重复后进行块交织。
同步信道交织宽度为26.666ms,在符号速率为4 800符号/s时,等于128个调制宽度,交织器阵列为16行×8列。前向业务信道和寻呼信道交织宽度为20 ms,在调制符号速率为19 200符号/s时,等于384个调制符号(也就是一帧所含调制符的个数)的宽度,交织器阵列为24行×16列,如图4-20所示。3种信道的符号都是按列写入阵列,交织后按行读出。
(6)数据扰码
数据扰码只用于寻呼信道和前向业务信道,以提供安全性和保密性。CDMA反向信道没有采用数据扰码。长码掩码与使用前向业务信道移动台的电子串号(ESN)联合使用,长码掩码的周期大约为40天。因为移动台在发送的接入信息中包含电子串号,所以基站能决定移动台的长码掩码。如果加密程序被用在前向业务信道上,那么移动台使用专用的长码掩码。长码掩码提供安全保障并每40天重复一次,从而使偷听者很难确定用户空中发射的具体信息。长码掩码根据具体移动台的电子串号而改变,可提供额外的安全保障。

图4-20前向业务信道交织过程
(7)功率控制子信道
在前向业务信道上功率控制子信道是连续发送的,控制移动台的发射功率。子信道以每1.25 ms发射1 bit(0或1),也就是发射速率为800 bit/s。0比特指示移动台提高发射功率,而1比特则指示移动台降低发射功率。每个功率控制比特提高或降低的功率大小为1 dB。在CDMA中,由于“远近效应”问题要求采用快功率控制。当离基站近的移动台发射的功率大于在小区边缘的移动台发射的功率,那么离基站近的移动台就会覆盖离基站远的移动台发射的信号,这就是“远近效应”。在CDMA中通过使用快功率控制子信道技术,能避免发生“远近效应”。
基站前向业务信道接收机在1.25 ms时间内评估移动台接收到的信号强度。然后,基站用评估值来决定发射的功率控制比特的值是0还是1,并用抽取技术(the puncturing technique)在相应的前向业务信道上发射功率控制比特。使用抽取技术,两符号长的功率控制比特取代了两连续前向业务信道调制符号(不考虑其重要性)。移动台要完成从前向业务信道中分离功率控制子信道的工作,然后修复被损坏的剩下编码数据流。这种技术虽然会影响链路的质量,但仍被使用。移动台在不需要对帧头和帧信息解码的情况下能够快速对功率控制比特解码。一旦恢复功率控制子信道,移动台就能根据数据对RF输出功率进行调整。
与CDMA反向信道调制不同,在CDMA前向信道调制中,所有的重复比特全部发送,但对于不同速率其发射功率不同,速率越低,功率越低。
(8)正交信道扩频
CDMA前向信道上传送的每个码分信道要用1.228 8Mchip/s固定码片率的Walsh函数进行扩频,CDMA前向信道的各码分信道分别使用相互正交的Walsh函数。用Walsh函数n进行扩频的码分信道定义为第n个码分信道(n= 0~63)。Walsh函数每52.083μs(即64/ 1.228 8)进行重复,因为一个调制符用64个Walsh比特片进行调制,所以它等于一个前向业务信道调制符号的时间间隔。
第0号码分信道(W0)总是作为导频信道。如果有同步信道,则使用第32号码分信道(W32)。如果有寻呼信道,它们应为第1至第7号信道,顺序采用。其余的码分信道W8到W63作为前向业务信道。CDMA的前向码分信道彼此正交,因为每个业务信道都有各自唯一的Walsh码,所以移动台能区分各自的前向信道。图4-21给出了正交扩频/解扩的过程,19.2 kbit/s输入的每比特与相应信道唯一的一个64比特Walsh码异或,扩频速度为19.2 kbit/s×64= 1.228 8 Mbit/s输出。移动台考虑64比特/符号块输入,将其与已知Walsh码异或,结果是产生大量的1和0,这就是原数据比特。即使在RF传输路径上发生错误,移动台可以通过大数判决确定输入数据是0还是1,图4-22也给出了使用错误Walsh码解扩后的输出结果。由于Walsh码的本质特性,两个不同Walsh码异或后的输出结果应该是1和0的个数相等。

图4-21正交扩频/解扩
(9)四相扩频调制
一旦完成Walsh扩频,数据会与基站特定的PN序列(被称为短码)进行四相扩频。这会给基站一个特定识别码,并且产生QPSK输出。实际上,所有移动台使用同样的PN序列,但每个基站从512个可能的偏置中选择一个作为它的身份扩频码,然后发送到移动台。
由于每个基站提供唯一的四相,因此移动台能够区别不同基站发射的信号。一旦移动台被锁定到明确的基站发射,根据提供给逻辑信道的不同Walsh码,移动台能区别基站发射的不同逻辑信道,接着能根据基站使用的移动特定长码掩码选取目标信息。
对于基站,频带利用率比功率有效性更重要。因此,CDMA前向信道调制采用QPSK调制。

图4-22使用错误Walsh码正交解扩频后的输出结果
2.导频信道
导频信道在CDMA前向信道上是不停发射的,它的主要功能包括:
①移动台用它来捕获系统;
②提供时间与相位跟踪的参数;
③用于使所有在基站覆盖区中的移动台进行同步和切换;
④导频相位的偏置用于扇区或基站的识别。
一个前向CDMA信道的所有码分信道使用相同的导频PN序列,基站利用导频PN序列的时间偏置来标识每个前向CDMA信道。由于CDMA系统的频率复用系数为“1”,即相邻小区可以使用相同的频率,所以频率规划变得简单了,在某种程度上相当于相邻小区导频PN序列的时间偏置的规划。在CDMA蜂窝系统中,可以重复使用相同的时间偏置(使用相同时间偏置的基站的间隔距离足够大)。导频信道用偏置指数(0~511)来区别。偏置指数是指相对于0偏置导频PN序列的偏置值。
虽然导频PN序列的偏置值有512(215/64= 512)个,但实际取值只能是512个值中的一个。一个导频PN序列的偏置(用码片表示)等于其偏置指数乘以64。例如,若导频PN序列偏置指数是4,则该导频的PN序列偏置为4×64= 320码片。当在一个地区分配给相邻两个基站的导频PN序列偏置指数相差仅为1时,其导频序列的相位间隔仅为64个比特片,在这种情况下,若其中一个基站发射的时间误差较大,就会与另一基站的延迟信号混淆,所以相邻基站的导频PN序列偏置指数间隔应设置得大一些。
由于导频信道所有比特都为0,所以在发送前,它只需用W0进行正交扩频、四相扩频和滤波。
3.同步信道
同步信道使用W32。一旦移动台“捕获”到导频信道,即与导频PN序列同步,即可认为移动台与这个前向信道的同步信道也达到同步。这是因为同步信道和其他所有信道是用相同的导频PN序列进行扩频的,并且同一前向信道上的帧和交织器定时也是用导频PN序列进行校准的。同步信道在发射前要经过卷积编码、码符号重复、交织、扩频和调制等步骤。
基站发送的同步信道消息包括:基站协议版本、基站支持最小的协议版本(移动台使用的版本只有高于或等于此值时,方能接入系统)、系统和网络识别号(SID,NID)、导频PN序列偏置指数、详细的时间信息、寻呼信道数据速率和CDMA信道数量。利用这些信息移动台获得初始的时间同步和知道合适的发射功率,为发起呼叫作好准备。同步信道工作在固定速率1 200 bit/s,其帧长为26.666 ms,若数据是半速率卷积编码,则符号重复一次(也就是同样的编码符号出现两次)。此数据经过块交织器被发送,输出用W32扩频,然后进行四相扩频,四相扩频能给信道提供小区特定识别码。
4.寻呼信道
这些信道是可选的,在一个小区内它们的数量范围是从0到7(W0到W7)。寻呼信道能够工作在数据速率9 600 bit/s或4 800 bit/s。数据经过一个半速率卷积编码器和一个符号重复器接着是块交织器,交织器的输出是持续的19.2 kbit/s,输出是用长码修改过的,长码用特定的寻呼信道掩码来修改。移动台通过识别掩码和长码来对信息解码。在对所有信道的小区特定扩频之后,数据被赋予Walsh掩码。
寻呼消息包括对一个或多个移动台的寻呼。当基站接收到对移动台的呼叫时,通常发送寻呼信号,并且由几个不同的基站发送寻呼信号。寻呼信道有一个特殊模式称为时隙模式,这种模式的运行方式类似于GSM的不连续接收(DRX),但仍有差别。在这种模式中,确定移动台的消息,只有在某一预先确定的时隙上被传输,此时隙发生在某一预先确定的时间上。通过接入处理,移动台能够指定哪些时隙来监控进入的寻呼信息。这些时隙能够从每2 s发生一次到每128 s发生一次。移动台侦听部分时隙,而不是全部时隙,这项技术提供了一个非常好的方法,通过这个方法移动台在空闲时,电池功耗大大减少,从而延长一次充电后的手机使用时间。
一旦移动台从同步信道消息处获得信息,它就会把时间调整到相应的正常系统时间。然后,移动台确定并开始监控寻呼信道。正常情况下,一个9 600 bit/s的寻呼信道能够每秒支持大约180个寻呼。在一个单独的CDMA频率上使用所有7个寻呼信道,能每秒支持1 260个寻呼。寻呼信道消息把信息从基站发送到移动台,每个移动台的消息地址可通过ESN、IMSI,或TMSI进行寻址。寻呼信道支持以下消息:
(1)系统参数消息。在系统参数消息上发送导频PN序列偏置信息、系统识别码和网络识别码。登记信息有地区识别码和不同种类登记信息,这些信息有功率下降、功率上升和参数变化等。参数消息如基站等级、寻呼信道个数、最大时隙周期指数、基站纬度与经度以及功率控制报告阈值等。
(2)接入参数消息。涉及移动台接入方面的信息,经由此消息发送。它包括的信息有接入信道个数、初始接入功率要求、接入尝试次数、接入消息的最大长度、不同过载等级值、接入尝试退出值、鉴权模式和全球随机问题值。移动台用这些信息来修改它的接入程序。
(3) CDMA信道列表消息。这个消息指示了CDMA信道的个数。
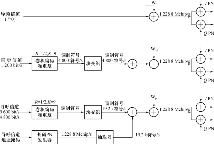
(4)信道分配消息。此消息是发送到移动台并用来分配信道的。这个被分配的信道能成为一个CDMA业务信道、寻呼信道或是一个模拟语音信道。在CDMA中,万一有多个寻呼信道,则基站分配一个作为监控用的寻呼信道给移动台,基站使用这种机制,通过寻呼信道分散工作量,基站也能指引移动台获得一个模拟系统。如果分配一个模拟语音信道,那么就需提供模拟系统的系统识别信息、模拟语音信道数和色码等,移动台使用这些信息来获得模拟语音信道。如果分配一个CDMA业务信道,那么需提供关于频率、帧偏置和加密模式等信息,基站能选择与移动台协商选择的业务或同意移动台的业务请求。图4-23给出了导频信道、同步信道和寻呼信道的产生框图。

图4-23导频信道、同步信道和寻呼信道的产生