1
移动通信原理与设备
1.5.2.3 4.2.3 扩频通信的主要性能指标

4.2.3 扩频通信的主要性能指标

处理增益和抗干扰容限是扩频通信系统的两个重要的性能指标

1.处理增益

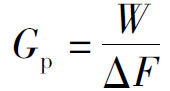
处理增益G p,也称扩频增益(Spreading Gain),指的是频带扩展后的信号带宽W与频谱扩展前的信息带宽ΔF之比即

img100

在扩频通信系统中,接收端要进行扩频解调,其实质只是提取出被伪随机码相关处理后的带宽为ΔF的原始信息,而排除掉了宽频带W中的外部干扰、噪声和其他用户的通信影响。因此,处理增益G p与抗干扰性能密切相关,它反映了扩频通信系统信噪比的改善程度。工程上常以分贝(dB)表示,即

img101

除了系统信噪比改善程度之外,扩频系统的其他一些性能也大都与G p有关。因此,处理增益是扩频系统的一个重要性能指标。一般来讲,处理增益值越大,系统性能越好。

2.抗干扰容限

抗干扰容限是指扩频通信系统在正常工作条件下可以接收的最小信噪比,即它反映的是系统对于噪声的容忍情况,其定义为

M j=G p-[(S/N)out+ L s

式中,M j为抗干扰容限;G p为处理增益;(S/N)out为信息数据被正确解调而要求的最小输出信噪比;L s为接收系统的工作损耗。

例如,一个扩频系统的处理增益为35 dB,要求误码率小于10-5的信息数据解调的最小的输出信噪比(S/N)out<10 dB,系统工作损耗L s为3 dB,则干扰容限

M j= 35-(10+ 3)= 22 dB

这说明,该系统能够在干扰输入功率电平比扩频信号功率电平高22 dB的范围内正常工作,也就是说,该系统能够在负信噪比(-22 dB)的条件下,把信号从噪声的淹没中提取出来。由此可见,扩频通信系统的抗干扰能力有多强。