-
1.1前 言
-
1.2第1章 移动通信概述
-
1.2.11.1 移动通信的基本概念
-
1.2.1.11.1.1 移动通信的定义
-
1.2.1.21.1.2 移动通信系统的组成
-
1.2.1.31.1.3 移动通信的特点
-
1.2.21.2 移动通信的发展
-
1.2.2.11.2.1 第一代移动通信系统
-
1.2.2.21.2.2 第二代移动通信系统
-
1.2.2.31.2.3 第三代移动通信系统
-
1.2.2.41.2.4 第四代移动通信系统
-
1.2.31.3 移动通信的分类
-
1.2.3.11.3.1 按使用要求和工作场合
-
1.2.3.21.3.2 按工作方式
-
1.2.41.4 移动通信的电波传播
-
1.2.4.11.4.1 电波的传播方式
-
1.2.4.21.4.2 电波的衰落特性
-
1.2.4.31.4.3 典型电波传播的分析
-
1.2.4.41.4.4 电波的传播模型
-
1.2.51.5 移动通信的噪声干扰
-
1.2.5.11.5.1 移动通信的噪声
-
1.2.5.21.5.2 移动通信的干扰
-
1.2.6本章小结
-
1.2.7思考题
-
1.3第2章 蜂窝移动通信的关键技术
-
1.3.12.1 组网技术
-
1.3.1.12.1.1 组网方式
-
1.3.1.22.1.2 小区制的组网技术
-
1.3.22.2 编码技术
-
1.3.2.12.2.1 信源编码
-
1.3.2.22.2.2 信道编码
-
1.3.32.3 多址接入技术
-
1.3.3.12.3.1 多址方式的含义及分类
-
1.3.3.22.3.2 频分多址方式(FDMA)
-
1.3.3.32.3.3 时分多址方式(TDMA)
-
1.3.3.42.3.4 码分多址(CDMA)
-
1.3.42.4 调制技术
-
1.3.4.12.4.1 概述
-
1.3.4.22.4.2 相移键控
-
1.3.4.32.4.3 高斯滤波最小移频键控
-
1.3.52.5 均衡和分集技术
-
1.3.5.12.5.1 均衡技术
-
1.3.5.22.5.2 分集技术
-
1.3.62.6 天线技术
-
1.3.6.12.6.1 天线原理
-
1.3.6.22.6.2 天线参数
-
1.3.6.32.6.3 基站天线
-
1.3.7本章小结
-
1.3.8思考题
-
1.4第3章 GSM 数字蜂窝移动通信系统
-
1.4.13.1 G S M系统的频率配置
-
1.4.1.13.1.1 无线电波
-
1.4.1.23.1.2 GSM系统频率配置
-
1.4.1.33.1.3 GSM系统频率规划
-
1.4.23.2 G S M系统的组成与网络结构
-
1.4.2.13.2.1 GSM系统结构
-
1.4.2.23.2.2 GSM网络结构
-
1.4.33.3 GSM系统的编号
-
1.4.3.13.3.1 GSM系统中的编号
-
1.4.3.23.3.2 GSM系统中号码的典型应用
-
1.4.43.4 G S M系统的接口与无线信道
-
1.4.4.13.4.1 GSM系统的接口
-
1.4.4.23.4.2 G SM系统的无线信道
-
1.4.4.33.4.3 帧结构
-
1.4.4.43.4.4 时隙(突发)结构
-
1.4.53.5 G S M系统的接续与移动管理
-
1.4.5.13.5.1 G SM系统中的典型接续过程
-
1.4.5.23.5.2 G SM系统中的移动管理
-
1.4.63.6 G S M系统的安全性管理
-
1.4.6.13.6.1 鉴权过程
-
1.4.6.23.6.2 加密过程
-
1.4.6.33.6.3 设备识别
-
1.4.6.43.6.4 TMS I保护
-
1.4.6.53.6.5 P I N码保护
-
1.4.73.7 G S M系统的几种基本技术
-
1.4.7.13.7.1 跳频技术
-
1.4.7.23.7.2 不连续发射和不连续接收技术
-
1.4.7.33.7.3 功率控制
-
1.4.83.8 GSM系统的业务
-
1.4.8.13.8.1 电信业务
-
1.4.8.23.8.2 承载业务
-
1.4.8.33.8.3 补充业务
-
1.4.93.9 G S M系统基站设备的简介
-
1.4.9.13.9.1 GSM系统基站设备简介
-
1.4.9.23.9.2 GSM系统基站维护简介
-
1.4.10本章小结
-
1.4.11思考题
-
1.5第4章 CDMA(码分多址)系统
-
1.5.14.1 CDMA概述
-
1.5.1.14.1.1 CDMA发展简史
-
1.5.1.24.1.2 CDMA标准的演进
-
1.5.24.2 扩频通信原理
-
1.5.2.14.2.1 扩频通信的定义
-
1.5.2.24.2.2 扩频通信的理论基础
-
1.5.2.34.2.3 扩频通信的主要性能指标
-
1.5.2.44.2.4 扩频通信的工作方式
-
1.5.2.54.2.5 扩频码和地址码的选择
-
1.5.34.3 I S-9 5CDMA系统
-
1.5.3.14.3.1 主要技术参数
-
1.5.3.24.3.2 系统结构
-
1.5.3.34.3.3 CDMA编号
-
1.5.3.44.3.4 前向CDMA信道
-
1.5.3.54.3.5 反向CDMA信道
-
1.5.44.4 CDMA关键技术
-
1.5.4.14.4.1 功率控制
-
1.5.4.24.4.2 RAKE接收机
-
1.5.4.34.4.3 软切换
-
1.5.54.5 CDMA系统的优点
-
1.5.64.6 C DMA系统基站设备简介
-
1.5.7本章小结
-
1.5.8思考题
-
1.6第5章 通用分组无线业务
-
1.6.15.1 GPRS概述
-
1.6.1.15.1.1 GPRS产生的意义
-
1.6.1.25.1.2 GPRS的主要特点
-
1.6.1.35.1.3 GPRS存在的问题
-
1.6.1.45.1.4 GPRS与WAP、E-GPRS、3G的关系
-
1.6.25.2 GPRS网络结构
-
1.6.2.15.2.1 GPRS功能实体
-
1.6.2.25.2.2 GPRS的组网
-
1.6.2.35.2.3 GPRS接口种类和功能
-
1.6.2.45.2.4 GPRS的空中接口Um
-
1.6.35.3 GPRS逻辑功能
-
1.6.3.15.3.1 网络访问控制功能
-
1.6.3.25.3.2 分组选路和传输功能
-
1.6.3.35.3.3 移动性管理功能
-
1.6.3.45.3.4 逻辑链路管理功能
-
1.6.3.55.3.5 无线资源管理功能
-
1.6.3.65.3.6 网络管理功能
-
1.6.45.4 GPRS应用
-
1.6.4.15.4.1 GPRS的业务
-
1.6.4.25.4.2 GPRS业务的具体应用
-
1.6.4.35.4.3 GPRS业务的计费管理
-
1.6.4.45.4.4 GPRS与HSCSD业务的比较
-
1.6.55.5 GPRS系统设备简介
-
1.6.5.15.5.1 PCU设备
-
1.6.5.25.5.2 SGSN设备
-
1.6.5.35.5.3 GGSN设备
-
1.6.6本章小结
-
1.6.7思 考 题
-
1.7第6章 其他移动通信系统
-
1.7.16.1 小灵通系统原理与基站设备
-
1.7.1.16.1.1 小灵通发展溯源与特点
-
1.7.1.26.1.2 PAS关键技术
-
1.7.1.36.1.3 PAS系统结构
-
1.7.1.46.1.4 i PAS系统结构
-
1.7.1.56.1.5 5 0 0mW基站的安装
-
1.7.26.2 大灵通系统原理与基站设备
-
1.7.2.16.2.1 SCDMA概述
-
1.7.2.26.2.2 SCDMA的关键技术
-
1.7.2.36.2.3 典型的S C DMA系统介绍
-
1.7.2.46.2.4 典型的S CDMA基站设备介绍
-
1.7.3本章小结
-
1.7.4思考题
-
1.8第7章 第三代移动通信系统
-
1.8.17.1 第三代移动通信概述
-
1.8.1.17.1.1 概述
-
1.8.1.27.1.2 3G三个国际标准的特性分析
-
1.8.27.2 WCDM A技术
-
1.8.2.17.2.1 WCDMA无线子系统
-
1.8.2.27.2.2 WCDMA的扩频码
-
1.8.2.37.2.3 WCDMA的信道类型
-
1.8.2.47.2.4 WCDMA的关键技术
-
1.8.2.57.2.5 WCDMA核心网标准及规范
-
1.8.37.3 CDM A2000技术
-
1.8.3.17.3.1 CDMA2000的特点
-
1.8.3.27.3.2 CDMA2000-1X系统和网络结构
-
1.8.3.37.3.3 CDMA2000-1X的无线信道
-
1.8.3.47.3.4 CDMA2000-1X关键技术
-
1.8.47.4 TD-SCDM A技术
-
1.8.4.17.4.1 TD-SCDMA技术概述
-
1.8.4.27.4.2 TD-SCDMA空中接口与协议
-
1.8.4.37.4.3 TD-SCDMA关键技术
-
1.8.57.5 3G业务
-
1.8.5.17.5.1 3G业务分类
-
1.8.5.27.5.2 3G标志性业务
-
1.8.6本章小结
-
1.8.7思 考 题
-
1.9第8章 移动通信基站的安装
-
1.9.18.1 基站安装概述
-
1.9.28.2 基站天馈线的安装
-
1.9.2.18.2.1 基站天馈线系统组成
-
1.9.2.28.2.2 基站天馈线系统的安装流程
-
1.9.38.3 基站机房线缆布放与敷设
-
1.9.3.18.3.1 信号线缆布放要求
-
1.9.3.28.3.2 电源线布放要求
-
1.9.3.38.3.3 尾纤布放要求
-
1.9.48.4 基站的防雷与接地
-
1.9.4.18.4.1 移动通信基站接地
-
1.9.4.28.4.2 移动通信基站防雷
-
1.9.5本章小结
-
1.9.6思 考 题
-
1.10参考文献
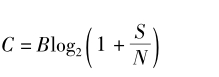
式中,C为信道容量(bps);B为信道带宽(Hz);S为信号功率,N为噪声功率。从该公式可以得出以下重要结论:对于给定的信道容量C可以用不同的带宽B和信噪比S/N的组合来传输;若减小带宽则必须发送较大的信号功率;若有较大的传输带宽,则同样的信道容量能够用较小的信号功率来传送。这表明宽带系统有较好的抗干扰性。因此,当S/N太小无法保证通信质量时,常采用增加带宽(展宽频谱)来提高信道容量或改善通信质量,即所谓带宽换功率的措施。Shannon给出的是基带模型,但也适合于RF(射频)信道。扩频通信就是将信息信号的频谱扩展再进行传输,因而提高系统抗干扰能力,使之在强干扰情况下,甚至信号被噪声淹没的情况下,仍然能保持可靠的通信。
