1
移动通信原理与设备
1.2.3.1 1.3.1 按使用要求和工作场合

1.3.1 按使用要求和工作场合

1.集群移动通信

集群移动通信系统也称大区制移动通信系统。国际无线电咨询委员会(CCIR)最初称之为Trunking System(中继系统),为了避免与无线中继系统混淆,后又改称集群系统。它是20世纪70年代发展起来的一种较经济、较灵活的移动通信系统,是传统的专用无线电调度网的高级发展阶段。传统的专用无线电调度系统,整体规划性差,型号、制式混杂,网小台多,覆盖面窄,加以噪声干扰严重,频率资源浪费。因此,一种新的无线电调度技术——集群移动通信便应运而生。国内外通信界普遍认为,20世纪80~90年代是集群移动通信在专用无线电通信中占据比重较大的10年,它是与蜂窝移动通信齐头并进的一种先进通信系统。美、英、法、德、日、北欧四国、加拿大及澳大利亚等国家都广泛开发和使用这一系统,以后曾一度衰落,近年来集群移动通信系统再次兴起。

所谓集群(Trunking),即使用多个无线信道为众多的用户服务,就是将有线电话中继线的工作方式运用到无线电通信系统中,把有限的信道动态地、自动地、迅速地和最佳地分配给整个系统的所有用户,以便在最大程度上利用整个系统的信道的频率资源。它运用交换技术和计算机技术,为系统的全部用户提供了很强的分组能力。可以说,集群移动通信系统是一种特殊的用户程控交换机。

集群系统是一种高级移动调度系统,是指挥调度最重要和最有效的通信方式之一,代表着专用移动通信网的发展方向。CCIR对它的定义为“系统所具有的全部可用信道可为系统的全体用户共用”。即系统内的任一用户想要和系统内另一用户通话,只要有空闲信道,就可以在中心控制台的控制下,利用空闲信道沟通联络,进行通话。从某种意义上讲,集群通话系统是一个自动共享若干个信道的多信道中继(转发)通信系统。它与普通多信道共用的通信系统并无本质的区别,只是更适用于对指挥调度功能要求较高的专门部门或企事业单位。其特点是:资源共享、费用分担、服务优良、效率高、造价低。

我国最早引进集群移动通信系统的城市是上海。集群移动通信很适合于各个专业部门,如部队、公安、消防、交通、防汛、电力、铁道、金融等部门作分组调度使用。后来,北京、天津、广东、沈阳等地相继开发了集群移动通信业务。随着地方经济的发展,一些省会、直辖市和有条件的城市也都逐步建立起800MHz无线集群移动通信系统,并逐步放开800 MHz集群移动通信业务,一些地方和非邮电部门已纷纷开发此项业务。

下面详细介绍一下实际应用中集群移动通信系统的类型。

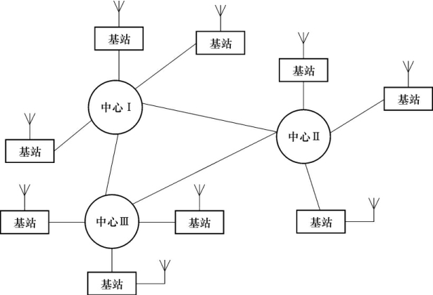
(1)单区、多点、单中心网络

如图1-3所示,它由一个控制中心、多个基站、有线或无线调度台及网中若干移动台组成。

img6

图1-3单中心网络

这种网络适用于一个地区内、多个部门共同使用的集群移动通信系统,可实现各部门用户通信自成系统而网内的频率资源共享。它在整个服务区域内设立了一个控制中心和多个基站,多个基站区组合形成整个服务区,各基站可通过无线或有线传输电路连接到控制中心,控制中心通过中继线或用户线与市话端局或用户小交换机连接,有线调度台通过有线传输电路与控制中心直接相连。在这种网络的设计和设备配置的考虑中应采取多点设址。

因各专业部门的业务需要不同,应按需设置基站,从而满足各专业部门的业务。对于早先已建成并各自独立使用频率、独立工作的专用网络,可方便地改造成频率资源共享的集群移动通信网。这一点充分证实了集群的优点,即充分利用原有设施,减少投资的同时满足各自需要,实现了高效益。

当上述网络中基站只有一个时,网络就简化成单区、单中心网络。它同样是由控制中心、基站、有线或无线调度台以及若干移动台组成。基站和控制中心可设在同一地点,也可分别设在不同地点,两者之间同样可通过无线或有线传输电路连接。通过用户线或中继线,同样也可以实现控制中心与用户小交换机或市话端局的连接。

(2)多区、多中心、多层次网络

如图1-4及图1-5所示,由区域控制中心、多个控制中心、多基站组成而形成整个服务区。可以看出,图1-4中各控制中心通过有线或无线传输电路连接至区域控制中心,即形成了图1-5所示的网络结构,各控制中心将受到上一级的区域控制中心控制及管理。控制中心主要处理所管辖基站区内和越区至本基站区内移动用户的业务,至于越区用户识别码的登记、控制频道分配、有线或无线用户寻找越区用户的业务,换言之,即位置登记、转移呼叫、越区频道转移的漫游业务,将由区域控制中心处理,这样就形成了二级管理的区域网。根据业务需要,还可以设立更高级的管理中心,将其与区域中心相连接,也可以通过有线或无线传输通道,处理各区域间用户登记、呼叫建立、控制管理,从而对区域控制中心进行控制、管理以及监控。

img7

图1-4多中心网络

img8

图1-5多中心、多层次网络

2.蜂窝移动通信

蜂窝移动通信也称小区制移动通信,在移动通信中处于统治地位,是目前应用最广泛、用户数量最多、与人们日常生活最紧密的移动通信系统。

它的特点是把整个大范围的服务区划分成许多小区,每个小区设置一个基站,负责本小区各个移动台的联络与控制,各个基站通过移动交换中心相互联系,并与市话局连接。利用超短波电波传播距离有限的特点,离开一定距离的小区可以重复使用频率,使频率资源可以充分利用。

在蜂窝移动通信系统中,区域定义如图1-6所示。

img9

图1-6蜂窝移动系统区域定义

小区是采用基站识别码(BSIC)或全球小区识别码(CGIC)进行标识的无线覆盖区域。在采用全向天线结构的模拟网中,小区即为基站区;在采用120°角天线结构的数字蜂窝移动网中,小区是每个120°角的天线所覆盖的正六边形区域的1/3。

基站区指的是一个基站所覆盖的区域。一个基站区可包含一个或多个小区,故不是所有的小区都设有一个专有的基站,但必须为一个特定的基站所覆盖。

位置区指的是一个移动台可以自动移动而不必重新“登记”其位置(位置更新)的区域,一个位置区由一个或若干个小区(或基站区)组成。要想向一个位置区中的某个移动台发出呼叫,可以在这个位置区中向所有基站同时发出寻呼信号。

移动业务交换中心简称MSC,一个MSC区指的是由一个MSC覆盖的区域。一个MSC区可由若干个位置区组成。

PLMN(Public Land Mobile Network)是公用陆地移动网的简称,即陆地蜂窝移动通信系统。在该系统内具有共同的编号制度(如相同的国内地区号)和共同的路由计划。一个PLMN可以由若干个MSC组成。MSC构成固定网与PLMN移动网之间的功能接口,用于呼叫接续等。

业务区指的是由一个或多个移动通信网所组成的区域。只要移动台在业务区中,就可以被另一个网络的用户找到,而该用户也无须知道这个移动台在该区内的具体位置。这里的另一个网络可以是另一个PLMN、PSTN(市话网)或ISDN(综合业务数字网)。一个业务区可由若干个PLMN组成,也可由一个或若干个国家组成,也可能是一个国家的一部分。

3.移动卫星通信

移动卫星通信是指以通信卫星为中继站,在较大地域及空间范围内实现移动台与固定台、移动台与移动台以及移动台或固定台与公众网用户之间的通信。移动卫星通信是移动通信和卫星通信相结合的产物,兼具卫星通信覆盖面宽和移动通信服务灵活的优点,是实现未来个人移动通信系统和真正的信息高速公路的重要手段之一。

它一般包括3部分:通信卫星,由一颗或多颗卫星组成;地面站,包括系统控制中心和若干个信关站(即把公共电话交换网和移动用户连接起来的中转站);移动用户通信终端,包括车载、舰载、机载终端和手持机。用户可以在卫星波束的覆盖范围内自由移动,卫星传递信号,保持与地面通信系统和专用系统用户或其他移动用户的通信。与其他通信方式相比,卫星移动通信具有覆盖区域大、通信距离远、通信机动灵活、线路稳定可靠等优点。

移动卫星通信系统的应用范围相当广泛,既可提供话音、电报、数据适用于民用通信,也适用于军事通信;既适用于国内通信,也可用于国际通信。移动卫星通信已经成为通信业务的一个重要发展方向。1990年6月,美国摩托罗拉公司率先推出实现全球个人移动通信的“铱”系统计划,准备用66颗低轨道卫星网,实现地球上的任何两个移动用户之间的通信。此后,国外又先后推出10余种全球或区域性卫星移动通信方案,如美国的“全球星”系统、“奥德赛”系统,国际海事卫星组织的“21世纪计划”等。卫星移动通信是军事通信的重要组成部分,例如,美军的地面机动卫星通信系统,可实现战区集团军到机动旅各级司令部之间的指挥控制和多路传输,是美军一种主要的战术通信系统。

移动通信卫星系统按应用环境可分为海上、空中和地面,因此有海事卫星移动通信系统(MMSS)、航空卫星移动通信系统(AMSS)和陆地卫星移动通信系统(LMSS);按系统采用的卫星轨道可分为同步轨道、非同步轨道卫星通信系统,非同步轨道又可分为高轨道(HEQ)、中轨道(MEO)和低轨道(LEO)系统。

4.无绳电话

无绳电话系统指的是以无线电波(主要是微波波段的电磁波)、激光、红外线等作为主要传输媒介,利用无线终端、基站和各种公共通信网(如PSTN、ISDN等),在限定的业务区域内进行全双工通信的系统。无绳电话系统采用的是微蜂窝或微微蜂窝无线传输技术。

无绳电话系统经历了从模拟到数字,从室内到室外,从专用到公用的发展历程,最终形成了以公用交换电话网为依托的多种网络结构。20世纪70年代出现的无绳电话系统称为第一代模拟无绳电话系统(CT-1),亦称子母机系统,其实质是全双工无线电台与有线市话系统及逻辑控制电路的有机组合,它能在有效的场强空间内通过无线电波媒介,实现副机与主机之间的“无绳”联系。简单地说,就是将电话机的机身与手柄分离成为主机(母机)与副机(子机)两部分,主机与市话网用户电话线连接,副机通过无线电信道与主机保持通信,不受传统电话机手柄话绳的限制,用户可离开主机几十米远,利用副机收听和拨叫电话。这种电话单机的主机与副机之间是通过无线电连接的,其间通话内容都将暴露于空中,如使用不慎,会造成空中泄密。所以使用时要充分注意。20世纪80年代后期开始使用的无绳电话系统称为第二代数字无绳电话系统(CT-2),由于采用数字技术,通话质量和保密性得以大大改善,并逐步向网络化、公用化方向发展;20世纪90年代中期出现的新一代的无绳电话系统,具有容量大、覆盖面宽、支持数据通信业务等特点,其典型的代表有:泛欧数字无绳电话系统(Digital European Cordless Telephone,DECT)、日本的个人手持电话系统(Personal Handy phone System,PHS)和美国的个人接入通信系统(Personal Access Communication System,PACS)。

无绳电话系统具有容量大、发射功率小、技术简单、应用灵活、成本低廉等特点。

无绳电话系统除用作有线市话的补充或延伸之外,还可实现多种数据业务:数字传真、可视图文、可视电话等。通过数字无绳系统,可以很方便地建立无线局域网络,如果借助于一些外加设施,还可以开展互联网业务。

一般认为,无绳电话技术、蜂窝网技术和低轨道卫星移动通信技术构成了个人通信网的基础。