1
移动通信原理与设备
1.2.1.3 1.1.3 移动通信的特点

1.1.3 移动通信的特点

1.设备性能要求高

不同的移动通信系统有不同的特点,这也是对通信设备性能要求的依据。在陆地移动通信系统中,要求移动台体积小、重量轻、功耗低、操作方便。同时,在有振动和高、低温等恶劣的环境条件下,要求移动台依然能够稳定、可靠地工作。

2.电波传播有严重的衰落现象

移动台因受到城市高大建筑物的阻挡、反射、电离层散射的影响,移动台收到的信号往往不仅是直射波,还有从各种途径来的散射波,称为多径现象。这种多径信号在接收端所合成信号的幅度与相位都是随机的,其幅度是瑞利(Rayleigh)分布而相位在0~2π域内均匀分布,因此出现严重的衰落现象。

当移动台处于高速运动状态时,加快了衰落现象。据分析,移动通信的衰落可达30 dB左右,这就要求移动台具有良好的抗衰落能力。

3.存在远近效应

移动通信是在运动过程中进行通信,因此大量移动台之间会出现近处移动台干扰远距离邻道移动台的通信,一般要求移动台能自动调整发射功率。同时,随通信距离的变化迅速改变,所以,移动台的收信机应有良好的自动增益控制能力。

4.强干扰条件下工作

移动台通信环境变化很大,很可能进入强干扰区进行通信,在移动台附近的发射机也可能对正在通信的移动台进行强干扰。当汽车在公路上行驶时,该车和其他车辆的噪声干扰也相当严重,这就要求移动通信具有很强的抗干扰能力。

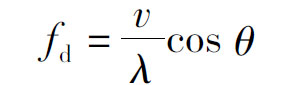
5.存在多普勒效应

多普勒效应指的是当移动台具有一定速度v的时候,基站接收到移动台的载波频率将随v的不同,产生不同的频移,反之也如此。移动产生的多普勒频偏为

img2

img3

图1-2 多普勒效应示意图

式中,v为移动速度,λ为工作波长,θ为电波入射角,如图1-2所示。此式表明,移动速度越快,入射角越小,则多普勒效应就越严重。

6.技术复杂

移动通信,特别是陆地移动通信的用户数量很大,为了缓和用户数量大与可利用的频率资源有限的矛盾,除了开发新频段之外,还要采取各种措施来更加有效地利用频率资源,如压缩频带、缩小波道间隔、多波道共用等。

由于移动台的移动是在广大区域内的不规则运动,而且大部分的移动台都会有关闭不用的时候,它与通信系统中的交换中心没有固定的联系,因此,要实现通信并保证质量,移动通信必须是无线通信或无线通信与有线通信的结合,而且必须要发展自己的跟踪、交换技术,如位置登记技术、波道切换技术、漫游技术等。