1
移动通信原理与系统
1.4.4.3 3.4.3 Walsh码

3.4.3 Walsh码

img166

Walsh码和正交可变扩频因子(OVSF)序列是两种典型的狭义正交序列,已在第二代和第三代移动通信系统中得到广泛应用。

所谓狭义正交序列,是指序列集中任意两个序列ai和aj的周期CCF在0偏移处满足其周期CCF示意图如图3.18所示。

img167

图3.18 狭义正交序列的互相关函数示意图

img168

img169

Walsh码可由哈达玛(Hadamard)矩阵循环产生。初始矩阵为K阶的哈达玛矩阵可以通过以下矩阵求得式中,K为2的整数次幂。例如H2和H4分别为

img170

img171

哈达玛矩阵的每一行或每一列为一个Walsh序列,共有K个序列,序列长度等于K。Walsh码是一种同步正交码,即在同步传输情况下,利用Walsh码作为地址码具有良好的自相关特性和处处为零的互相关特性。此外,Walsh码生成容易、应用方便。但是,Walsh码的各码组由于所占频谱带宽不同等原因,因而不能作为扩频码。

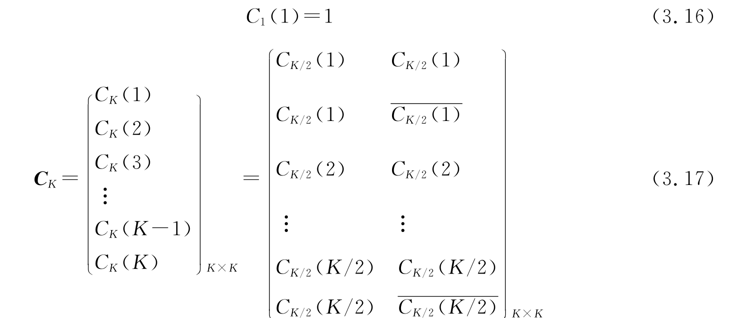
OVSF序列是另一类具有狭义正交特性的序列。第三代移动通信系统中,使用OVSF序列来支持多用户接入和多速率传输。OVSF序列可按照以下规则生成式中,Ck(k)是K×K矩阵的第k行,k=1,2,…,K,且K=2n,n为正整数。Ck(k)表示矩阵Ck(k)中的每个元素取相反值。

OVSF集合具有二叉树结构,可由图3.19更直观地描述。n为码树的层号,n=0,1,2,…第n层上共有2n个分支,即有2n个序列,每一个序列长度为K=2n,它们构成一个K阶的Walsh序列集合。

img172

图3.19 OVSF码树

将从序列Ck(k)到码树根C1(1)的路径上所有的序列定义为序列Ck(k)的父码。从图3.19中可看到,位于码树同一层的所有码是相互正交的;任何两个不同层的码,只要没有“父子”关系,也是相互正交的。

这类序列在应用时,可用序列个数不是固定的,而是由物理信道的速率和扩频因子决定。例如,假设C8(1)已经分配给用户,则其所有父码{C4(1),C2(1),C1(1)}和由C8(1)产生的所有子码{C16(1),C16(2),C32(1),…,C32(4),C64(1),…,C64(8),C128(1),…}将不能用于分配。

OVSF码主要用于正交扩频。业务信道的速率不同,使用的OVSP码的长度也不同。前向链路的扩频因子有1、2、4、6、8和16共6种,反向链路的扩频因子有1、16共2种。OVSF码的管理算法与系统的容量和呼叫成功率等密切相关。如果系统只提供单一的业务,则OVSF码的管理相对比较简单,因为总共可用的码字数是固定的,只需根据用户的请求从尚未分配的码字中随机选取一个分配给用户即可。可实际网络中,一个小区往往同时承载语音和数据业务,使用的扩频码字长度也各异,为了使小区的峰值数据速率最大化,在分配OVSP码时,应尽量选择已有码字被分配的分支中尚未使用的码字,留下较短的码字用于高速数据业务。反向链路的扩频因子只有两种,其OVSF码管理算法也相对简单,前向链路的OVSF码分配算法相对复杂些。

例如,WCDMA系统下行采用扰码(Gold序列)区分小区,扩频码(OVSF或Walsh码)区分用户,上行采用扰码(Gold序列)区分用户,而扩频码(OVSF或Walsh码)区分信道。由于扩频码完全正交,因此,下行不存在用户间的远近(Near Far)效应;而扰码自相关性好,而互相关性差,不完全正交,因此,上行存在用户间的远近效应。上行的扰码区分用户这个特点也可以利用更多的码道。