1.7.1 移动通信网的组网技术
下面介绍移动通信组网的技术,包括移动通信的体制、小区制中服务区域的划分,移动通信网的网络结构、多址技术、组网中出现的干扰及消除方法、多信道共用技术、信道分配策略。
1.7.1.1 移动通信网的体制
移动通信网的体制按照区域覆盖方式分为两类:一类是小容量的大区制;另一类是大容量的小区制。
1.小容量的大区制
大区制是指在一个较大的服务区域(比如一个城市)内只设一个基站,由它控制、联络接通区域内的各个移动台。一个基站覆盖很大的服务区,半径为30~50km。这使得基站、手机的发射功率要很大,基站的发射功率高达几十瓦到几百瓦,而且要很高的天线塔。

图1.7 中继点对移动台来的信号进行放大然后再传给基站
大区制的缺点是:在这样大的区域中,频率不能重复使用,所以一个基站所能提供的信道数有限,系统容量不高,不能满足用户数目日益增加的需要,这是此制式本身决定的,无法克服。移动台的天线低,发射功率受限,在大的覆盖区内,上行链路(由移动台到基站)的通信就无法保证了,为此,常采用中继技术,即在服务区内设置若干个中继点Rd对移动台来的信号进行放大然后再传给基站(如图1.7所示),以保证上行链路的通信质量。
大区制只适合于专用移动网等业务量不大的情况下使用。为了适应大城市或更大区域的服务要求,必须采用小区制组网方式,以便在有限的频谱条件下达到扩大容量的目的。
2.大容量的小区制
小区制是指把整个通信服务区域分为若干个无线小区,每个小区的半径根据话务的密集度及通信环境差异可以在几十米到几千米甚至几十千米,每个小区分别设置一个基站,负责本区移动台的联系和控制,在移动业务交换中心的统一控制下,实现小区内、小区间,以及移动网和其他网络用户之间的通信。
其特点是:小区覆盖半径小,所以可用较小的发射功率实现双向通信。若干个小区构成大面积的覆盖,可以采用频率复用(或信道复用)提高频率利用率,增加系统容量。所谓频率复用(或信道复用)技术指的是:相邻小区不使用相同的频率(信道)组,但相隔几个小区的不相邻小区可以重复使用同一组频率(信道),以充分利用频率资源。不使用同一组频率(信道)的若干个相邻小区就组成了一个区群,即整个通信服务区也可看成是由若干个区群构成的。采用这种方法,可以用有限的频率资源实现对无限广大的地域进行覆盖,从而提高了频谱的利用率。
小区制蜂窝系统的最大优点是频率复用,有效地利用了频率资源,大大缓解了频率资源紧缺的问题,提高了频率利用率,增加了用户数目和系统容量,使系统容量大大提高。现代大容量的移动通信多采用小区制。
但伴随而来的是技术实现上的复杂性,主要包括以下几个方面:
(1)小区如何划分。
(2)越区切换。
移动台从一个基站覆盖的小区进入到另一个基站覆盖的小区的情况下,为了保持通信的连续性,如何将移动台与当前基站之间的通信链路转移到移动台与新基站之间的通信链路。
(3)移动性管理。
非通信状态下,移动台位置移动了,如何寻找移动台。
1.7.1.2 小区的划分
按照地形不同,服务区有线状服务区和面状服务区之分。线状服务区用户的分布呈条状或带状,如河流、铁路、公路、狭长城市等;面状服务区的用户的分布呈一个宽广的平面,如广大城市与农村,陆上移动通信的大部分服务区是宽广的面状服务区。
1.线状服务区
用户的分布呈条状或带状。基站天线若用全向辐射,覆盖区形状是圆形;采用有向天线,则使每个小区呈扁圆形。当服务区较狭长时,多采用定向天线。带状网进行频率复用时,若以采用不同信道的两个小区组成一个区群,称为双频制;若以采用不同信道的三个小区组成一个区群,称为三频制。如图1.8所示。从造价和频率资源的利用而言,当然双频制最好;但从抗同频干扰而言,双频制最差,还应考虑多频制。

图1.8 双频组和三频组频率配置
2.面状服务区
面状服务区的用户分布呈一个宽广的平面,其服务区内小区的划分取决于地形、地物的分布(它影响电波传播)和天线的方向性。为研究方便,假定整个服务区的地形地物相同,基站采用全向天线,它的覆盖区大体上是一个圆,即无线小区是圆形的。为了不留空隙地覆盖整个面状服务区,各个圆形覆盖小区之间一定存在很多重叠区。将重叠区一分为二到相邻的两个小区,每个小区的有效覆盖区域是圆的内接正多边形。
可以证明,由正多边形彼此邻接构成平面时,正多边形只能是正三角形、正方形和正六边形。如图1.9所示,分别称为正三角形小区、正方形小区和正六边形小区。

图1.9 小区构成的几何图形
比较三种圆内接正多边形如表1.1所示正六边形小区的中心间隔最大,各基站间的干扰最小;交叠区面积最小,同频干扰最小,乒乓切换的概率最小;交叠距离最小,便于实现跟踪交换;覆盖面积最大,对于同样大小的服务区域,采用正六边形构成小区制所需的小区数最少,即所需基站数少,最经济;所需的频率个数最少,频率利用率高。因此面状服务区最佳的小区形状是正六边形。
表1.1 比较三种圆内接正多边形

正六边形构成的网络形状酷似蜂窝,因此将小区形状为六边形的小区制移动通信网称为蜂窝移动通信网。
蜂窝结构示意图如图1.10所示。

图1.10 蜂窝结构示意图
3.无线区群
小区制的最大优点是可以进行频率复用,以提高频率利用率。但频率复用后要保证每个小区受到的干扰程度相同,为此引入了区群的概念。所谓区群,就是一群相邻小区,当给每个无线小区分配信道组时,全部频谱在区群内分配使用,覆盖由N个小区组成的区群,频道总数被分成N组,每个小区分给一个频道组,区群内的每个小区配置不同的频率,全部频道分给区群。区群获得全部频率,相邻的区群重复使用相同的频率分配模式。
不同区群中的相同频率的小区之间将产生同频干扰。为此,划分区群时考虑频率利用率时也要考虑通信质量,使同频复用距离大于或等于同频复用保护距离,不能产生严重的同频干扰;且每个小区受到的干扰程度相同,保证网络质量的一致性。
划分区群的条件:区群由一群载波频率配置不同的相邻小区组成;区群之间可以邻接,且无空隙无重叠地覆盖更大的区域,以至无限扩展;邻接之后的区群应保证各个相邻同信频小区之间的距离相等。
满足划分区群的条件后,区群内小区数目N不是任意的,N满足关系式:N=a2+ab+b2(N为区群中的小区个数,a、b为相邻区群的同频小区间的间隔小区数,a、b取正整数且不同时为零),如表1.2所示。
表1.2 区群内小区数目N的取值

N的典型值为4,7,9,12,其中N=4就是a=0,b=2得到的。
不同的N值得到各不相同的无线区群形状,如图1.11所示。

图1.11 无线区群形状
确定同频小区的方法:自某一小区A出发,先沿边的垂线方向跨a个小区,再按逆时针方向转60°,再跨b个小区,就可找到同频小区,如图1.12所示。

图1.12 确定同频小区
4.同频复用距离D和同频复用比R
相邻的两个区群中,位置对应的两个同频小区中心之间的距离为同频复用距离D,如图1.13所示,D=(3 N)1/2r。同频无线区间的距离D和小区半径r的比值为同频复用比R=D/r=(3 N)1/2,因为C/I=40lg(D/r-1),所以C/I只与R有关,R是计算同频干扰和频率复用的一个重要参数。D与N及频率利用率的关系:N越大,D越大,R越大,抗同频干扰能力越好,但频率利用率低。

图1.13 同频复用距离D
5.常见的频率复用模式
区群是构成蜂窝网的二次几何图形。全部频谱在区群内分配使用。覆盖并由N个小区组成的区群,频道总数被分成N组,每个小区分给一个频道组,全部频道分给区群。

图1.14 N=7的正六边形小区
频率复用模式的确定主要以同频干扰防护门限为依据。若N太大,则每个小区中分得的频道数太少,若N太小,每个小区频道数增加,但由于同频小区距离近而使得同频干扰防护减少。
因此,N通常取12,9,7,4,3。如GSM系统中,若采用全向天线,则N=7,每个基站是正六边形小区,如图1.14所示。若采用定向天线,则N=12,为4×3复用方式,每基站是3个120°扇形小区或三叶草形小区,或者N=9,为3×3复用方式,每基站是3个120°扇形小区或三叶草形小区,如图1.15所示。

图1.15 N=12、N=9的复用方式
6.激励方式
对于正六边形小区,基站发射机或者安置在小区的中心,或者安置在六边形的顶点上。基站在小区的中间,用全向天线覆盖,称为中心激励;基站设在正六边形相同间隔的三个顶点,用定向天线覆盖称为顶点激励,如图1.16所示。

图1.16 激励方式
常见的顶点激励方式有三种:采用120°定向天线,小区形状为正六边形的三叶草形;采用120°定向天线,小区形状为120°扇形;采用60°定向天线,小区形状为正三角形。如图1.17所示。顶点激励的优点是利用定向天线可以降低同频干扰。利用定向天线将小区分成3个或6个扇形覆盖区,干扰只在主瓣方向有效,从而有效干扰源的数量将减少。

图1.17 三叶草形小区、120°扇形小区、正三角形小区
7.小区分裂
随着城市建设和用户数的增加,在高用户密度地区,将小区面积划小,或将小区中的基站全向天线改为定向天线,如果还不够的话,还可以增加每个小区分配的频道数,满足话务量增大的需要,这种技术称为小区分裂。
采用小区分裂的方法,有限的频谱资源通过缩小同频复用距离,使单位面积的波道数增多,系统容量增大。
小区分裂的方法分两种:在原基站上分裂、增加新基站的分裂。
(1)在原基站上分裂
在原小区的基础上,将中心设置基站的全向覆盖区分为几个定向天线的小区,如图1.18中(a)、(b)、(c)所示。为了支持从无方向性天线到扇形分区和小区分裂的过渡,在建立无方向性天线辐射前必须有一个频率分配计划,使可能在不改变现有系统频道分配、无须关闭或增设系统和重新调谐组合器和收发信机的情况下,通过增设频道使服务区容量增加。
在原基站上分裂的优点如下:增加了小区数目,却不增加基站数量;重叠区小,有利于越区切换;利用天线的定向辐射性能,可以有效地降低同频干扰;减小维护工作量和基站建设投资。
(2)增加新基站的分裂
将小区半径缩小,增加新的蜂窝小区,并在适当的地方增加新的基站,如图1.18(d)所示。此时,原基站的天线高度适当降低,发射功率减小。在总频率不增加的情况下,小区分裂使原小区范围内的使用频道数增加,以增大系统容量和容量密度。

图1.18 分裂方案
实际使用时,可以先进行1∶3分裂,然后将三叶草形小区再进行1∶4分裂,这就是1×3×4式二次分裂,如图1.19所示。

图1.19 二次分裂
8.实际无线小区的划分
上面理论分析中,假设服务区内用户密度均匀,采用的无线小区大小相同,每个小区分配的信道数相同。实际通信网络中,用户密度分布不均,市区用户密集,郊区、农村用户稀疏,因此每个小区分配的信道数是不相同的。高用户密度区域,无线小区应小些或分配的信道数多些;低用户密度区域,无线小区可大些或分配的信道数少些。无线系统覆盖区的地形不同,地物分布不同,导致无线电波传播环境不同,产生的电波的长期衰落和短期衰落不同,传播损耗不同,因而小区的实际无线覆盖的大小是不相同的,而且各种全向定向天线均会采用,所以小区形状也是不规则的。一般,越是人员密集的市区,用户越密集,电波传播损耗越大,小区半径越小,配置的信道数越多,如图1.20所示。
基本的小区按照半径大小可分为如下类型:
超小区:小区半径r>20km,适于人口稀少的农村地区。
宏小区:小区半径r=1~20km,适于高速公路和人口稠密的地区。
微小区:小区半径r=0.1~1km,适于城市繁华区段。
微微小区:小区半径r<0.1km,适于办公室、家庭等移动应用环境。

图1.20 实际无线小区的划分
1.7.1.3 区域结构
典型的移动通信网的区域结构如图1.21所示,从小到大依次是小区、基站区、位置区、MSC区、公用陆地移动网(PLMN)、业务区、系统区。

图1.21 区域结构
小区是一副天线的无线覆盖区域。
基站区是一个基站所覆盖的区域。一个基站区可包含一个或多个小区,不是所有的小区都设有一个专有的基站,但必须为一个特定的基站所覆盖。在采用全向天线结构的移动网中,小区即为基站区;在采用120°角天线结构的蜂窝移动网中,小区是每个120°角的天线所覆盖的正六边形区域的三分之一。
位置区是一个移动台可以自动移动而不必重新“登记”其位置(位置更新)的区域。一个位置区由一个或若干个小区(或基站区)组成。要想向一个位置区中的某个移动台发出呼叫,可以在这个位置区中向所有基站同时发出寻呼信号。位置区的大小在系统中是一个非常关键的因素,位置区的划分既不能太大,也不能太小。由于寻呼是在整个位置区当中,因此太大的位置区会增加寻呼的负荷;太小的会导致频繁的位置更新,照样会导致信令信道的拥塞,浪费网络资源。在做网络规划时,对位置区的划分相当重要,在划分位置区过程中,应在保证不会产生寻呼负荷过高的前提下尽量使位置更新次数降低到最小。因为作为网络运营商,如果系统出现频繁的位置更新只能导致浪费网络资源,而不会增加任何收入。
移动业务交换中心简称MSC,一个MSC区是由一个MSC覆盖的区域。一个MSC区可由若干个位置区组成。MSC是移动网与固定网与其他移动网之间的功能接口,用于呼叫接续等。
PLMN(Public Land Mobile Network)是公用陆地移动网的简称,即陆地蜂窝移动通信系统。在该系统内具有共同的编号制度和共同的路由计划。一个PLMN可以由若干个MSC组成。
业务区是由一个或多个移动通信网所组成的区域。只要移动台在业务区中,就可以被其他用户找到,而该用户也无须知道这个移动台在该区内的具体位置。一个业务区可由若干个PLMN组成,也可由一个或若干个国家组成,也可能是一个国家的一部分。
系统区由使用同一系统的所有业务区构成。
1.7.1.4 多址技术
在蜂窝移动通信系统中,有许多用户要同时通过一个基站和其他用户进行通信。因此存在这样的问题:怎样从众多用户中区分出是哪一个用户发出的信号,以及用户怎样识别出基站发出的信号中哪一个是给自己的。这个问题的解决方法就是多址技术。
不论是用户发出的信号,还是基站发出的信号,若每个信号都具有不同的特征,根据不同的特征就能区分出不同的信号来。
信号的特征表现在这样几个方面:信号的工作频率、信号出现的时间、信号具有的波形、信号出现的空间。根据这些特征,相对应地有4种多址方式,即频分多址(FDMA)、时分多址(TDMA)、码分多址(CDMA)、空分多址(SDMA)。
1.频分多址
频分多址(FDMA,Frequency Division Multiple Access)是用信号的不同频率来区分信号。对一个通信系统,对给定的一个总的频段,划分成若干个等间隔的频道(又叫信道),每个不同频道分配给不同的用户使用。信道的划分要注意几点:相邻频道之间无明显串扰、每个频道宽度能传输一路信息、收发信息之间要留一段保护频带,防止收发频率干扰。
在FDD系统中,一般情况下,将高频段作为移动台的接收频段,因为信号方向是从基站到移动台,接收信道又称前向信道。将低频段作为移动台的发射频段,信号方向是从移动台到基站,所以发射信道又称反向信道。
FDMA是一种最基本的多址方式,任何一个移动通信系统中都有应用。例如一代的TACS系统频道宽25kHz,用不同的频道区分不同的用户,如图1.22所示。GSM中频道宽带200kHz,N-CDMA中频道宽带1.25MHz,WCDMA中频道宽带5MHz,CDMA2000中频道宽带N×1.25MHz,TD-SCDMA中频道宽带1.6MHz,但是2G、3G系统中在FDMA的基础上有其他多址技术的应用。

图1.22 频分多址
2.时分多址
时分多址(TDMA,Time Division Multiple Access)是基于时间分割信道。即把时间分割成周期性的时间段(时帧),对一个时帧再分割成更小的时间段(间隙),然后根据一定的分配原则,使每个用户在每个时帧内只能按指定的时隙收发信号。
以GSM一帧8小时隙的时分多址系统为例,有8个用户都处于相同的工作频率,如单纯用频分多址系统,他们不能同时工作,只能是一个用户工作后,另一个用户才能工作,否则会造成同频干扰。但若再采用时分多址的话,把T0时隙分配给第1个用户,或者说第1个用户在时帧1到T0工作后隔T1~T7时隙,又在时帧2的T0时隙工作。以此类推,把T1时隙分配第2个用户工作……把T7时隙分配给第8个用户,如图1.23所示。用这种“分时复用”的方式,可以使同频率的用户“同时”工作,有效地利用频率资源,提高了系统的容量。

图1.23 时分多址
如GSM系统的总频段划分成124个频道,若只能按FDMA方式,则只有124个信道。若在FDMA基础上,再采用时分多址,每个频道容纳8个时隙,则系统信道总的容量为124×8=992个信道。
时分多址系统中有一个关键的问题是系统的“定时”问题。要保证整个时分多址系统有条不紊地工作,包括信号的传输、处理、交换等,必须要有一个统一的时间基准。
要解决上述问题,大家很容易想到的方法是系统中的各个设备内部设置一个高精度时钟,在通信开始时,进行一次时钟校正,只要时钟不发生明显漂移,系统都能准确定时。但真正的情况不是这样,因为要使系统的时钟很精确,无论从技术还是价格方面考虑都不适合。如GSM系统的定时采用的是主从同步法。即系统所有的时钟均直接或间接从属于某一个主时钟信息。主时钟有很高的精度,其时钟信息以广播的方式传送到系统的许多设备,或以分层方式逐层传送给系统的其他设备。各设备收到上层的时钟信号后,提取出定时信息,与上层时钟保持一致,这个过程又称之为时钟锁定。
3.码分多址
码分多址(CDMA,Code Division Multiple Access)的原理是,任何一个发送方都要把自己发送的01代码串中的每一位,分成m个更短的时隙或称码片(Chip)。通常m取2n片,也就是将原先要发送的信号速率或带宽提高了2n倍。为了简便,现假定码片序列为8位,又假定用码片序列00011011表示1,当发送0时则用其反码11100100。但这种码片序列是双极型表示的,即0用-1表示,1用+1表示。
码分多址系统中每个站点都有自己唯一的码片序列。用符号S来表示站点S的m维
码片序列,S为它的相反。而且所有站点的码片序列都是两两正交的。正交意味着如果S和T是两个不同的码片序列,其内标积(表示为S·T)均为0。内标积就是对双极型码片序列中的m位相乘之和、再除以m的结果,可用式(1.2)表示:

m其正交特性是及其关键的。只要S·T=0,那么S·T=0。任何码片序列与自己的内标积均为1,即

CDMA的特征是代表各信源信息的发射信号在结构上各不相同,并且其地址码相互具有正交性,以区分地址,而在频率、时间和空间上都可能重叠,如图1.24所示。

图1.24 码分多址
4.空分多址
空分多址(SDMA)是一种新发展的多址技术,在由中国提出的第三代移动通信标准TD-SCDMA中就应用了SDMA技术;此外在卫星通信中也有应用。SDMA实现的核心技术是智能天线的应用,理想情况下它要求天线给每个用户分配一个点波束;这样根据用户的空间位置就可以区分每个用户的无线信号,如图1.25所示。换句话说,处于不同位置的用户可以在同一时间使用同一频率和同一码型而不会相互干扰。实际上,SDMA通常都不是独立使用的,而是与其他多址方式如FDMA、TDMA和CDMA等结合使用;也就是说对于处于同一波束内的不同用户再用这些多址方式加以区分。

图1.25 空分多址示意图
应用SDMA的优势是明显的:它可以提高天线增益,使得功率控制更加合理有效,显著地提升系统容量;此外一方面可以削弱来自外界的干扰,另一方面还可以降低对其他电子系统的干扰。如前所述,SDMA实现的关键是智能天线技术,这也正是当前应用SDMA的难点。特别是对于移动用户,由于移动无线信道的复杂性,使得智能天线中关于多用户信号的动态捕获、识别与跟踪以及信道的辨识等算法极为复杂,从而对DSP(数字信号处理)提出了极高的要求。但由于SDMA的诸多诱人之处,SDMA的推广是必然的。
在实际应用中,还包括这三种基本多址方式的混合方式,如GSM系统采用的是FD-MA/TDMA多址方式,窄带CDMA系统是FDMA/CDMA多址方式,TD-SCDMA系统是FDMA/TDMA/CDMA/SDMA多址方式。
1.7.1.5 移动通信系统内干扰
干扰是限制移动通信系统性能的主要因素,在移动通信网中,无线电干扰一般分为系统内干扰和系统外干扰。系统外干扰是来自本移动通信系统外的其他系统强功率信号,可以通过国家无线电管理机构协调解决。系统内干扰是组建系统时出现的干扰,包括同频干扰险、邻道干扰、互调干扰、近端对远端的干扰,若对移动无线通信网进行合理设计就可削弱这些干扰。
1.同频干扰
同频干扰是指所有落在接收机通带内的与有用信号频率相同的无用信号的干扰,亦称同信道干扰(又称为同道干扰或共道干扰)。同频干扰是无法滤除的。在电台密集的地方,若系统设计或频率管理不当,就会造成同频干扰。

图1.26 同频复用距离示意图
在移动通信系统中,为了提高频率利用率,采用频率复用,在相隔一定距离以外,可以使用相同的频率。这样在一个给定的覆盖区域内,存在许多使用同一组频率的小区,如图1.26所示。显然,同频复用距离越近,同频干扰就越大;复用距离越远,同频干扰就越小,但频率利用率就会降低。因此二者兼顾考虑。
射频防护比是接收机输出端有用信号达到规定质量的情况下,在接收输入端测得有用射频信号与同频无用射频信号之比的最小值,也称为同频干扰保护比。
当信号/同频防护比满足通信质量要求或达到规定的载干比(C/I)指标时,两个同频小区之间的距离称之为同频复用距离。同频复用距离和小区半径之比叫同频复用系数。
在进行无线小区的频率分配时,应先满足通信质量要求,即保证接收输入端测得有用射频信号与同频无用射频信号之比大于射频干扰保护比,并以此确定同频复用的最小距离。
2.邻道干扰
邻道干扰是指相邻信道或邻近信道的信号相互干扰。
产生邻道干扰的原因:由于接收滤波器不理想,使得相邻频率的信号泄漏到了传输带宽内而引起的;发信机在相邻频道内的边频分量引起的,例如FM信号的频谱是很宽的,当其中某些边频分量落入邻道接收机的通带内,就会造成邻频干扰。
邻频干扰可以通过精确的滤波和信道分配而减小到最小。解决邻道干扰的具体措施:降低发射机落入相邻频道的干扰功率,即减小发射机带外辐射,为了减少发射机调制边带扩展干扰,应严格限制调制信号的带宽;提高接收机的邻频道选择性;在网络设计中,避免相邻频道在同一小区或相邻小区内使用。
3.互调干扰
互调干扰是由传输设备中的非线性电路产生的,它指两个或多个信号作用在通信设备的非线性器件上,产生同有用信号频率相近的组合频率,从而对通信系统构成干扰。
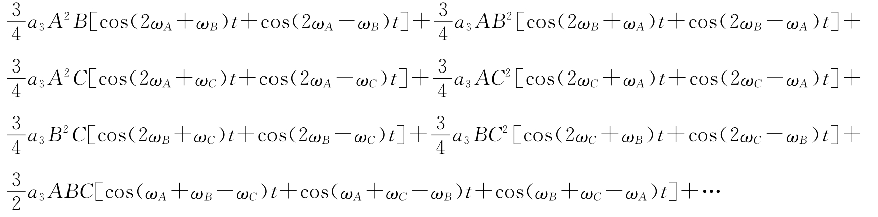
理论分析:选择一个最常用的非线性器件晶体管,设晶体管的转移特性为:y=a0+a1u+a2u2+a3u3+…,作用于晶体管的是三个信号之和(干扰信号的频率分别为ωA、ωB、ωC;幅度分别为A,B,C):

整理得到:

其中三次项:

互调组合产生很多干扰频率,由3次项不难看出:2ωA-ωB,2ωB-ωA,2ωA-ωC,2ωC-ωA,2ωB-ωC,2ωC-ωB,ωA+ωB-ωC,ωA+ωC-ωB,ωB+ωC-ωA的3阶互调产物将在ωA、ωB、ωC附近。故难以用选择性电路滤除,容易构成互调干扰。而像ωA+2ωC,ωA+ωB+ωC和2ωA+ωB等类型的互调分量远离使用的频率,故容易滤除,因而危害性不大。3阶互调干扰有两种类型,即二信号3阶互调和三信号3阶互调。
3阶互调产物的幅度和晶体管特性的3次项系数(a3)成正比,还与干扰信号的幅度(A,B,C)有关。
按照同样的数学分析方法,如将5次幂展开并整理,可得多种类型的5阶互调产物。由于3阶互调产物幅度》5阶互调幅度,故一般只考虑3阶互调干扰的危害性。
由分析表明,各个干扰信号必须满足一定的频率和一定的幅度才能造成互调干扰。也就是说,尽管在同一地区有很多电台同时工作,只要电台的工作频率分配得当,各台的布局合理,就不会产生严重的互调干扰。因此,从频率分配上和干扰信号强度上设法构成破坏互调干扰的条件,是系统设计时应当考虑的问题。
互调干扰分为发射机互调干扰、接收机互调干扰。
(1)发射机互调干扰
发射机发射的信号进入了另一台发射机,并在其末级功放的非线性作用下与输出信号相互调制,产生不需要的组合干扰频率,对接收信号频率与这些组合频率相同的接收机造成的干扰。
减少发射机互调干扰的措施:加大发射机天线之间的距离;采用单向隔离器件和采用高Q谐振腔;提高发射机的互调转换率损耗。
(2)接收机互调干扰
当多个强干扰信号进入接收机前端电路时,在器件的非线性作用下,干扰信号互相混频后产生可落入接收机中频带内的互调产物而造成的干扰。
减少接收机互调干扰的措施:提高接收机前端电路的线性度;在接收机前端插入滤波器,提高其选择性;选用无3阶互调的频道组工作。
4.近端对远端的干扰
当基站同时接收从两个距离不同的移动台发来的信号时,距基站近的移动台B到达基站的功率明显要大于距离基站远的移动台A的到达功率,若二者频率相近或相同,则距基站近的移动台B就会造成对接收距离距基站远的移动台A的有用信号的干扰或抑制,甚至将移动台A的有用信号淹没。这种现象称为近端对远端干扰,又称为远近效应。
克服的方法:频道间隔、移动台的自动功率控制。
5.多址干扰
多址干扰是CDMA系统特有的干扰方式,由于在同一个小区间同时通信的用户不是一个而是多个,在码分多址中多个用户占用同一时隙、同一频率,当同时通信用户数较多时,在多径衰落环境下,由于各个用户之间所用的扩频码通常难以保持正交,因而造成多个用户之间的相互干扰。
在码分多址(CDMA)移动通信系统中,多址干扰是影响通信能力的干扰。克服这种多址干扰的技术是CDMA系统的一项重要技术。CDMA中多址干扰产生的根源是扩频码间的不完全正交性,如果扩频码集能在任何时刻完全正交,那么多址干扰就会不复存在,所以组网时码设计合理是减小多址干扰的根本。进一步减小多址干扰的方法是使用“多用户检测”技术,即把所有用户的信号都当作有用信号,而用相关器只接收所需要的相关信号。
1.7.1.6 多信道共用技术
1.多波道共用的概念
在移动通信网的一个小区内配置一个信道组,假设有n个信道,在这个小区范围内有m个用户(m》n),m个用户对这n个信道是如何使用的呢?使用方式有两种:独立信道方式和多信道共用方式。
独立信道方式:将小区内的m个用户分成n组,对每组用户分别指定一个信道,不同组内的用户不能互换信道。
多信道共用方式:在小区内的n个信道,为该区内的m个用户所共用,则当k(k<n)个信道被占用时,其他需要通话的用户可以选择剩下的任意空闲信道通话。网内大量用户共同享有所有无线信道,如图1.27所示。

图1.27 多信道共用方式
独立信道方式在信道分配原则上简单,但是信道不能充分利用,即信道利用率低;多共用信道方式在相同多的用户、信道的情况下,会使用户通话的阻塞概率明显下降,即可明显提高信道的利用率。换句话说,多信道共用可使信道服务的用户数目明显增加,但也不是无止境的,否则将使阻塞率增加而影响质量。
采用多信道共用方式,在保持一定通话质量的情况下,一个信道究竟平均分配多少用户才合理?或者说一个小区要配置多少个信道呢?这就是我们要讨论的话务量和呼损问题。
2.话务量和呼损问题
(1)呼叫话务量与忙时话务量
话务量是衡量通信系统通话业务量或繁忙程度的指标。其性质如同客流量,具有随机性,只能用统计方法获取。
呼叫话务量,是指单位时间(1小时)内的平均电话交换量,可用下面关系式表示:

式中,C为1小时内平均呼叫次数,t为每次呼叫平均占用信道的时间,如果t以小时为单位,则话务量A的单位是爱尔兰(Erl)。如果在一个小时之内连续地占用一个信道,则其呼叫话务量为1Erl,这是一个信道所能完成的最大话务量。
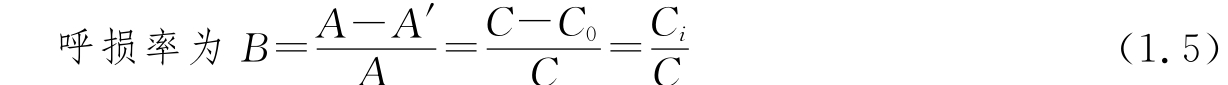
(2)呼损率B
呼损:由于用户数远远大于信道数,当多个用户同时要求服务而信道数不够时,有部分用户因无空闲信道而不能通话,即为呼叫失败。
呼损率B:通信系统中,造成呼叫失败的概率。呼损率的物理意义是损失话务量与呼叫话务量之比的百分数(也可用呼叫次数表示)。设A′为呼叫成功而接通电话的话务量,简称完成话务量。C0为1小时内呼叫成功而通话的次数,t为每次呼叫平均占用信道的时间,则完成话务量为A′=C0·t,

呼损率越小,成功呼叫的概率越大,用户就越满意,因此呼损率也称为系统的服务等级。当无线区共用信道数一定时,呼损率B越大,话务量A越大,信道利用率越高,服务质量越低;但是呼损率越小,同样的信道容纳的用户越少,为了容纳一定数量的用户,运营商的配置的信道就要增加,投资随之增大,这又不是运营商希望的。所以呼损率与话务量是矛盾的,服务等级与信道利用率也是矛盾的。在系统设计时,既要保持一定的服务质量,又要尽量提高信道的利用率,而且要求在经济技术上合理,所以呼损率必须选择一个合适的值。
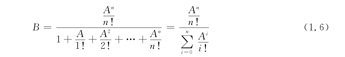
如果呼叫具有下列性质:①每次呼叫相互独立,互不相关,即呼叫具有随机性;②每次呼叫在时间上都有相同的概率;③每个用户选用无线信道是任意的,且是等概率的,则呼损率可按式(1.6)计算:

这就是电话工程中的第一爱尔兰公式,也称爱尔兰B公式。利用爱尔兰公式计算出的呼损率列表为爱尔兰呼损表,如表1.3所示。爱尔兰呼损表反映话务量、呼损率和共用信道数间的关系。如已知呼损率B,A和n中的任意两个,则可根据式1.6计算出第三个。工程上,常用查爱尔兰呼损表的方式计算。
表1.3 爱尔兰呼损表

呼损B和信道数n给定时可以承载的最大忙时话务量
(B的值是在第一行值基础上除以100,例如2表示B=2%,5表示B=5%)
(3)繁忙小时集中率K
在日常生活中,一天24小时总有一些时间打电话的人多,另外一些时间打电话的人少。因此,对一个通信系统来说,总是可以区分“忙时”、“非忙时”。考虑用户数与信道数时,显然应采用“忙时话务量”。因为如果“忙时”信道够用,其他“非忙时”肯定够用。
忙时话务量:最繁忙的一小时的话务量。
繁忙小时集中率:忙时话务量与全日(24小时)话务量的比值,即K=忙时话务量/全日话务量。K反映了这个通信系统“忙时”的集中程度,即忙时话务量在全天话务量中所占的比例。
(4)用户忙时话务量
用户忙时话务量是指一天中最忙的那个小时(即“忙时”),每个用户的平均话务量,是一个统计平均值。每用户忙时话务量若用

式中,C为每用户每天平均呼叫次数;T为每次呼叫平均占用时间(s);K为繁忙小时集中率。
据统计,对专用移动通信系统,用户忙时的话务量可按0.06Erl/用户计算;对于公用移动通信系统,用户忙时的话务量按0.02Erl/用户来计算。
(5)每信道容纳的用户数m

式中,A/n为每信道平均忙时话务量;A可由爱尔兰呼损表查得在一定的呼损率B时n个信道可以负载的忙时话务量。
每个信道所容纳的用户数与在一定呼损条件下与系统所能负载的话务量成正比,与每用户忙时话务量成反比。
例:某移动通信系统,每天每个用户平均呼叫10次,每次平均占用信道时间为80s,呼损率要求为10%,忙时集中率K=0.125,问给定8个信道能容纳多少用户?
解:根据呼损率要求及信道数,查表得总话务量A=5.597Erl
每个用户忙时话务量A用户=CTK/3 600=0.028Erl/用户
每个信道容纳的用户数m=(A/n)/A用户=25.17用户/信道
系统所容纳的用户数m×n=25.7×8≈201用户
在系统设计时,必须选择合理的呼损率,正确确定每用户忙时话务量,采用多信道共用方式工作,根据估算的用户数计算出所有用户忙时话务量,然后查表得出需配置的信道数,或者给定信道数计算能容纳用户数。
3.自动选择信道
对于使用多信道共用方式的系统,每个无线小区内m个用户共用n个信道,通常m》n,那么对移动台来说,也就存在着一个如何自动选择信道的问题,也就是小区内的信道管理问题。其实信道从逻辑上分为两类:控制信道(用于传递各种控制消息)和业务信道(传递用户业务消息)。按照是否配置专用的控制信道将移动台进行信道自动选择共有四种方式:专用控制信道方式、循环定位方式、循环不定位方式、循环分散定位方式。
(1)专用控制信道方式
在给定的多个信道中,选择一个信道专门用作控制信道,其余信道作为话务信道。作用:该信道仅作为呼叫处理,不作通话使用(只进行主叫与被叫呼叫处理及传送信道指令,即处理呼叫和指配话音信道)。
工作过程:
①守候状态:网内所有用户的移动台都停留在控制信道上,并处于守候状态。
②呼叫状态:网内某个移动台(主叫)呼叫另一个移动台(被叫)时,主叫移动台通过上行专用控制信道向基站发出呼叫请求。基站收到呼叫请求后,如果系统有空闲业务信道,基站就在下行专用控制信道向主叫移动台发出转信道指令,使得主叫移动台转移到一个指定的空闲业务信道上。
③应答状态:基站在控制信道上发送被叫移动台号码(即寻呼被叫),被叫移动台收到后在控制信道上发应答信号,基站收到应答信号后,还在控制信道上向被叫移动台发送转信道指令,使被叫移动台转到另一个空闲业务信道上。
④挂机状态:双方通话完毕,各自从业务信道返回控制信道上,进入守候状态。
特点:对于专用信道呼叫方式,为了减小同抢概率,要求专用控制信道处理一次呼叫过程所需的时间很短,一般为几百毫秒甚至更短,这样一个信道就可以处理成百上千个呼叫。
优点:处理呼叫速度快,效率高。
缺点:因为有一个信道专门处理控制消息,业务信道数量少于总信道数,所以信道数少的系统信道利用率低。对于信道数目小于12的小容量移动通信系统不适合。
适用场合:大容量数字移动通信系统。我国目前各大移动通信系统均采用这种方式。
(2)循环定位方式
系统中没有专用的控制信道,而是由BS临时指定一个信道作为控制信道,并在这个信道上发空闲信号,而所有空闲的移动台通过信道扫描,停留在发空闲信号的信道上,一旦有寻呼成功,该信道就成为一个业务信道,基站再另选空闲信道作为临时控制信道发空闲信号,空闲的移动台自动转到新的临时信道上守候(定位)。
工作过程:
①指定控制信道:当有空闲信道时,基站可以选择一个空闲信道,作为临时的控制信道。在此信道上发出空闲信号。
②定位守候:网内用户电台除正在通话的以外,都能自动进行信道扫描,一旦搜索到基站的空闲信号就停止扫描并定位(停留)在该信道上,处于守候状态。
③建立通信:一旦某用户在该临时控制信道呼叫时,被呼用户即在该信道内应答,建立通信。这时,该信道变成话务信道。而基站就另找一个空闲信道作为临时控制信道,重复①的过程。
④通话终了:通话用户挂机后,各自的电台自动地进行信道扫描,寻找基站发出的空闲信号,并停在该空闲信道内,返回定位守候状态。
特点:控制信道是临时的,不断变化的,控制信道一旦转为通话信道,BS要重新确定某空闲信道为临时控制信道,发空闲信号。而移动台收不到空闲信道就不断进行信道扫描。
优点:信道利用率高。
缺点:处理呼叫时间长,出现“争抢”现象。为此出现了改进型——循环不定位方式。
(3)循环不定位方式
为减少同抢概率,移动台采用循环扫描而不定位的方式。该方式是基站在所有空闲信道上都发出空闲标志信号,不通话的移动台始终处于循环扫描状态。
工作过程:
①当移动台主呼时,首先遇到任何一个空闲信道就立即占用。由于预先设置每个移动台对信道的扫描顺序不同,两个移动台同时发出呼叫,又同时占用同一空闲信道的概率很小。这可以有效减少同抢概率。
然而,主叫时不能立即进行,要先搜索空闲信道。
②当移动台被呼时,由于各移动台都在循环扫描,无法接收基站的寻呼信号,因此,基站必须先在某一空闲信道上发一个保持信号,指令所有循环扫描中的移动台都自动地对这个标有保持信号的空闲信道锁定。
保持信号需持续一段时间,在等到所有空闲移动台都对它锁定以后,再改发寻呼信号。
③被呼移动台对寻呼信号应答,即占用此信道通信。其他移动台识别不是呼叫自己,立即对此信道释放,重新进入循环扫描。
特点:这种方式是在循环定位方式的基础上为减小同抢概率而出现的一种改进方式;但移动台被呼的接续时间比较长;另外,系统中的所有信道都处于工作状态,这种多信道常发状态会引起严重的互调干扰。
为此出现了改进型——循环分散定位方式。
(4)循环分散定位方式
基站在所有空闲信道上都发出空闲信号,网内移动台分散在各个空闲信道上。用户在各自的信道上呼叫基站。基站呼叫移动台时,其呼叫信号在所有空闲信道上发出,等待应答信号,建立通信。
特点:为克服循环不定位方式移动台被呼时接续时间长而改进的一种方式。此方式接续快,效率高,同抢概率小。但当移动台被呼时,基站在所有的空闲信道上都发送选呼信号,互调干扰严重。
后三种方式信道有一个共同的优点:信道利用率高,所以其适用场合是小容量系统。但也有一个共同的缺点:控制过程复杂,所以其不太适合大容量系统。
1.7.1.7 频率分组策略
频道分组是根据移动网的需要将全部频道分成若干组,频道分组是小区中频率配置的前提。频道分组有分区分组分配法和等频距分配法两种。
1.分区分组分配法
分配原则如下:所需的波道应占用最小的频段,以提高频段利用率;为避免同频干扰,在单位无线区群中不能使用相同的波道;为避免3阶互调干扰,在每个无线区应采用无3阶互调波道组。
如移动通信是等间隔的多信道系统,为方便判别,可用信道序号来表示信道频率,信道频率和信道序号之间的关系为:fx=f0+CxΔf(f0为起始频率,Δf为信道间隔,Cx为信道顺序号,x由1到n排列。)
当n个信道序号按照上升顺序排成信道序列时,任意两个信道间的差值为:dix=Cx-Ci。
对于信道的信号,因三次非线性失真引起的3阶互调产物在信道的充分条件是:Cx=Ci+Cj-Ck,即dix=dkj。
因此,判别某个预选的信道组之间是否存在互调干扰关系,只要确定信道序号差值序列中有无相等的差值即可。
所以对于n个频道的系统,信道差值阵列表内的数字没有重复出现的现象,就表示所选信道没有3阶互调频率组。
选择无3阶互调频率组,要满足Dij的序列中不重复。现举列说明如下。
①如果选D21,即信道序号C1,C2。
②如果选D21=1,D42=2,即信道序号C1,C2,C4,就不能再出现差值3,因D41=3,只能选值4。
③如选D84=4,即信道序号C1,C2,C4,C8。接着只能选值5,即信道序号C1,C2,C4,C8,C13。以上系列不能再选差值3,6,7,9,11,12。
④如选D21,13=8,即信道序号C1,C2,C4,C6,C13,21,再选C31,21=10,即信道序号C1,C2,C4,C8,C13,C21,C31,以上系列因C21,C8差值D21,8=13,因此不能再选差值13。
⑤如选出D45,31=14,即信道序号C1,C2,C4,C8,C13,C21,C31,C45。
下面验算一下。
①以上信道组中相邻信道差值:1,2,3,4,5,8,10,14
②相邻二个差值的和:3,6,9,13,18,24
③相邻三个差值的和:7,11,17,23,32
④相邻四个差值的和:12,19,27,37
⑤相邻五个差值的和:20,29,41
⑥相邻六个差值的和:30,43
⑦相邻七个差值的和:44
没有相同的差值,可见是一个无三阶互调干扰信道组。
举例:区群由7个小区组成,每个小区要求分配6个频道,根据分区分组分配法的要求,可用试探法选取可用的频道组如下:
第1组:1,5,14,20,34,36
第2组:2,9,13,18,21,31
第3组:3,8,19,25,33,40
第4组:4,12,16,22,37,39
第5组:6,10,27,30,32,41
第6组:7,11,24,26,29,35
第7组:15,17,23,28,38,42
特点:分区分组分配法没有考虑到邻道干扰;当无线区需要很多频道数时,要满足前述要求非常困难;因此,这种分配方法只适合于小容量移动通信系统的频率支配。
2.等频距分配法
原理:按频率等间隔分配信道。若系统共有M个信道,将其分为N个信道组,则每个信道组中有M/N个信道,而N个信道组的信道序列可以由以下确定:
K+jN,K=1,2,…,N;j=0,1,…,M/N-1
式中,K为信道组的序列号,最大为K=N,j为信道序号的取值。
如GSM中通常以12个无线小区作为一个区群,这时需要将信道分为12组。
按K+jN的规律,可确定各信道组的信道序列如下:
第一信道组,K=1,j=0~12,故(1,13,25,…)
第二信道组,K=2,j=0~12,故(2,14,26,…)
第三信道组,K=3,j=0~12,故(3,15,27,…)
第四信道组,K=4,j=0~12,故(4,16,28,…)
第五信道组,K=5,j=0~12,故(5,17,29,…)
第六信道组,K=6,j=0~12,故(6,18,30,…)
第七信道组,K=7,j=0~12,故(7,19,31,…)
第八信道组,K=8,j=0~12,故(8,20,32,…)
第九信道组,K=9,j=0~12,故(9,21,33,…)
第十信道组,K=10,j=0~12,故(10,22,34,…)
第十一信道组,K=11,j=0~12,故(11,23,35,…)
第十二信道组,K=12,j=0~12,故(12,24,36,…)
等频距分配法的特点:按频率间隔来分配波道,既可以100%地利用频率资源,又能有效地避免波道组中的邻道干扰;同频干扰的防护由蜂窝系统区群的构成和网络结构作为计算依据和质量保证;对于互调干扰的影响,由于波道组中有足够大的波道间隔,接收机中频滤波器有较强的带外抑制能力,可以减小到很小的程度;在频道指配中,切实做到在相邻无线区不使用有邻频道的频道组,能有效地降低邻频干扰,故适用于大容量的移动通信系统。
1.7.1.8 越区切换
越区切换是为了保证通信的连续性,正在通话的移动台从一个小区进入相邻的另一小区时,移动台从原小区工作信道转换到新小区工作信道的过程,当然此过程中通话不中断。
越区切换可以分为硬切换与软切换。硬切换:在切换时,移动台要先中断与原通信基站的联系,再建立与目标基站间的通信。软切换:移动台在切换时,先不中断与原通信基站的联系,而与目标基站先建立通信,两个基站可同时为一个用户提供服务,当与目标基站取得可靠通信后,再切断与原基站间的通信。GSM中只支持硬切换;采用CDMA技术的移动网中支持软切换,也支持硬切换。
越区切换要解决好下面三方面的问题:
(1)越区切换的准则,就是何时需要进行越区切换;
(2)越区切换如何控制;
(3)越区切换时的信道控制。
1.越区切换的准则
在移动通信系统中,一般可以根据射频信号强度、载干比、移动台到基站的相对位置以及数字系统中的误码率来判断切换与否。实际应用中,可以选取其中一种或几种作为参数。
假定移动台从基站1向基站2运动,其信号强度的变化,如图1.28所示。判定何时需要越区切换的准则有如下几种:

图1.28 越区切换示意图
①相对信号强度准则(准则1)
切换判决基于从基站接收的信号强度平均值。移动台连续监测各个小区的信号强度,当某个相邻小区基站的信号强度超过当前基站时,就发起切换。
如图1.28所示的A处将发生越区切换。
此方式的缺点:当服务基站还能提供所要求的业务质量时就进行了许多不必要的切换。
②具有门限规定的相对信号强度准则(准则2)
移动台连续监测各个小区的信号强度,当某个相邻小区基站的信号强度超过当前小区基站,并且当前小区基站的信号强度低于某一门限时,发起切换。如图1.28所示,在门限为Th2时,在B点发生越区切换。
在此方法中需要恰当地选择门限值。例如,在图1.28中,如果门限值太高取为Th1,则该准则与准则1相同;如果门限值太低取为Th3,则会引起较大的越区时延,此时,可能会因链路质量较差而导致通信中断。另外,它会引起对同道用户的额外干扰。
③具有滞后余量的相对信号强度准则(准则3)
仅允许移动用户在新基站的信号强度比原基站信号强度强很多(即大于滞后余量(Hysteresis Margin))的情况下进行越区切换。
例如,图1.28所示的C点。该技术可以防止由于信号波动引起的移动台在两个基站之间来回重复切换,即“乒乓效应”。
④具有滞后余量和门限规定的相对信号强度准则(准则4)
仅允许移动用户在当前基站的信号电平低于规定门限并且新基站的信号强度高于当前基站的一个给定滞后余量时进行越区切换。
2.越区切换的控制策略
越区切换控制包括:越区切换的参数控制、越区切换的过程控制。
在移动通信系统中,过程控制的方式主要有三种。
①移动台控制的越区切换
移动台连续监测当前基站和几个越区时的候选基站的信号强度和质量。在满足某种越区切换准则后,移动台选择具有可用业务信道的最佳候选基站,并发送越区切换请求。
②网络控制的越区切换
基站监测来自移动台的信号强度和质量,在信号低于某个门限后,网络开始安排向另一个基站越区切换。网络要求移动台周围的所有基站都监测该移动台的信号,并把测量结果报告给网络。网络从这些基站中选择一个基站作为越区切换的新基站,把结果通过旧基站通知移动台并通知新基站。
③移动台辅助的越区切换(GSM、IS-95)
网络要求移动台测量其周围基站的信号质量并把结果报告给旧基站,网络根据测试结果决定何时进行越区切换以及切换到哪个基站。
很显然第三种方式更合理,目前大容量的移动网均采用此方式。
3.越区切换时的信道分配
它解决当呼叫要转换到新小区时,新小区如何分配信道,使得越区失败的概率尽量小的问题。常用的做法是在每个小区预留部分信道专门用于越区切换。
特点:因新呼叫可使用的信道数减少,要增加呼损率,但减少了通话被中断的概率,从而符合人们的使用习惯。
1.7.1.9 移动通信网中的移动性管理
移动性管理,即位置管理功能,它使网络保持跟踪移动台当前实际所处的位置并存储位置信息,通过位置登记实现。
位置登记(或称位置注册)是通信网为了跟踪移动台的位置变化,由移动台向网络报告自己的位置信息,网络对其位置信息进行登记的过程。
移动台向网络登记的方式有:强迫登记、周期性登记。
1.强迫登记
在移动通信系统中,是将系统覆盖范围分为若干个位置区。当用户进入一个新的位置区时,必须进行的位置登记。位置登记后网络知道移动用户在某个位置区,但不知其所处的具体小区,因此当某个用户作为被叫时,位置区内所有基站一齐发出被呼移动用户识别码,即一齐呼叫,被叫移动用户应答后,即由应答小区提供接续服务。
当有呼叫要到达该用户时,将在该位置区内进行寻呼,以确定出移动用户在哪一个小区范围内。位置更新和寻呼信息都是在无线接口中的控制信道上传输的,因此必须尽量减少这方面的开销。
在实际系统中,位置登记区越大,位置更新的频率越低,但每次呼叫寻呼的基站数目就越多。在极限情况下,如果移动台每进入一个小区就发送一次位置更新信息,则这时用户位置更新的开销非常大,但寻呼的开销很小;反之,如果移动台从不进行位置更新,这时如果有呼叫到达,就需要在全网络范围内进行寻呼,用于寻呼的开销非常大。
2.周期性登记
不管用户位置如何变化,过一定时间间隔用户就向网络报告其位置,如果在指定的周期超时后,移动台没有发起周期性位置登记,则网络记录将该用户和网络分离。这样当此用户作为被叫时,直接通知主叫用户不在服务区,不做无效寻呼,可以尽量减少电路资源和无线资源的浪费。