1
移动通信原理与系统
1.2.5 1.5 移动通信的工作方式

1.5 移动通信的工作方式

从传输方式的角度来看,无线通信分为单向传输(广播式)和双向传输(应答式)。单向传输只用于无线电寻呼系统。双向传输有单工、双工和半双工三种工作方式。

1.单工通信

所谓单工通信是指通信双方交替进行收信和发信的通信方式,通信的任何一方发送时不接收,接收时不发送,即收发不能同时进行。单工通信常用于点到点的通信,如图1.4所示。根据收发频率的异同,单工通信可分为同频单工和异频单工。

img5

图1.4 单工通信

同频单工是指通信双方在相同的频率f1上由收发信机轮流工作。异频单工是指通信双方的收发信机轮流工作,且工作在两个不同的频率f1和f2上。例如电台甲以f1发射,电台乙以f1接收,而电台甲以f2发射,基站以f2接收。

单工通信时,平时双方的接收机均处于收听状态,当某方需要发话时,即按下发话按钮,关掉自己的接收机而使发射机工作,此时由于对方的接收机仍处于收听状态,故可实现通信。这种操作通常称为“按—讲”方式。

单工的优点是:由于收发信机间断工作,线路设计相对简单,价格也便宜。其缺点是:通信双方要轮流说话,即对方讲完后我方才能讲话,使用不方便,通话不流畅,如果配合不好,双方的通话就会出现断断续续的现象。

2.双工通信

双工通信指通信的任何一方,收发信机均同时工作,即任一方在发话的同时,也能收听到对方的话音,无须“按—讲”开关,操作方便,如图1.5所示。但是采用这种方式,在使用过程中,不管是否发话,发射机总是工作的,故电能消耗大。这一点对以电池为能源的移动台是很不利的。双工通信的特点是使用方便,所以大容量的固定电话网、移动通信网都是双工通信的。

img6

图1.5 双工通信

在双工通信中,需要有一定的技术来区分双向的信道,也就是说,凡是双向通信,总需要一定的双工制式。蜂窝网使用的有两种双工制式,即频分双工(FDD,Frequency Division Duplex)和时分双工(TDD,Time Division Duplex)。

FDD中利用两个不同的频率来区分收发信道。即对于发送和接收两种信号,采用不同的频率。如移动台发信到基站采用一种频率(称为上行信道),基站发信到移动台采用另一种频率(称为下行信道)。上、下行频率间隔叫做双工间隔。

TDD中利用同一频率但两个不同的时间段来区分收发信道。即对于发送和接收两种信号,采用不同的时间。

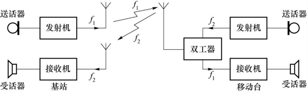
3.半双工通信

半双工通信是介于单工通信和双工通信之间的一种通信方式,一方是收发同时进行,而另一方只能采用单工方式,如图1.6所示。其中,移动台的工作情况与单工通信时相似:采用“按—讲”方式,即按下开关,发射机才工作,而接收机总是在工作。基站的工作情况与全双工通信时相似,可以采用双工器,使收发信机共用一副天线。

img7

图1.6 半双工通信

半双工通信的特点是:设备简单,功耗小,克服了单工通信断断续续的现象,但操作仍不太方便。所以半双工方式主要用于专业移动通信系统中,如汽车调度等。