附录A 常用仪器操作技术
A.1 贝克曼温度计
1.贝克曼温度计的特点及构造
贝克曼温度计如图A-1所示。它是可调节的测量温差值的水银玻璃温度计。该温度计水银球中的水银量可以调节。水银球中的水银量愈少,所测温度愈高;水银量愈多,所测温度愈低。温度计测量范围一般在-6~120℃之间。它由一根较长的均匀毛细管连接水银球及水银球贮槽,毛细管与刻度尺封在玻璃管内。水银球体积较大,温度计刻度一般间隔为5℃,每度刻100等分,用放大镜读数可估计至0.002℃。为了便于读数,贝克曼温度计刻度有两种标法:一种是最小刻度刻在刻度尺上端,最大刻度在下端,称作下降式贝克曼温度计;另一种刻度标法相反,称作上升式贝克曼温度计。在精密测量中,两者不能混用。

图A-1 贝克曼温度计
2.贝克曼温度计的调节
首先,根据测量要求,确定需调节的温度范围,最高测量温度估计为当水银柱升至毛细管末端b点处(即以后由手轻击贝克曼温度计,使水银柱断开之处)的温度。刻度尺最高处a点应为实验最高温度t。有的贝克曼温度计由a点至b点需要再升高3℃左右,则b点处温度应为(t+3)℃。有的贝克曼温度计由a点至b点需要再升高0.5℃左右,则b点处温度为(t+0.5)℃。然后,将水银球中水银与水银贮槽中的水银相连接。为此,将温度计倒置,用左手握住温度计中部,用右手轻叩左手腕,此时水银球中的水银借助重力自动流向水银贮槽。用手轻叩水银贮槽处,使贮槽内水银与水银柱连接(注意不要使水银过多地流入水银贮槽)。温度计正置,插入事先已调好的温度为(t+3)℃或(t+0.5)℃水浴中后,数分钟后,取出温度计,立即用右手叩击左手腕,水银柱即在b点处断开,与毛细管断开的水银存在于贮槽中。温度计从水浴中取出后,由于水银球温度与室温的差异,水银体积会迅速改变,因此这一调节步骤要求迅速、轻快,但不能慌乱;慌乱反易造成失误。将调节好的温度计置于欲测温度的水浴中,观察读数值,检查量程是否符合要求。若量程不合适,则应按上述步骤重新调节贝克曼温度计。
3.读数及刻度校正
贝克曼温度计读数前,先用手指轻叩水银面处,消除黏滞现象。读数前,贝克曼温度计要垂直放置,眼睛与水银面水平,而且要使与水银面最靠近的刻度线的中部看着平直而不弯曲。
贝克曼温度计利用调节水银球内水银体积可以在不同温度范围内使用,同样量的水银给出的温差值将不同,以及插入体系中的水银与露在室温中水银柱所处温度不同,所以直接由贝克曼温度计读出的温差值必须进行校正。其校正值可以从每支贝克曼温度计出厂时附给的检定表中查得。
4.贝克曼温度计使用注意事项
贝克曼温度计由薄玻璃制成,尺寸较大,易受损坏。一般只应放置在仪器、温度计架上或握在手中,不应随意搁置。调节时,勿让温度计受剧热骤冷,避免重击。调节好的温度计勿使毛细管中水银与水银贮槽的水银相连接。
由于玻璃贝克曼温度计在使用中存在一定的危险,目前在基础实验中它逐渐被数字贝克曼温度计所取代。
A.2 分光光度计
吸光光度法是根据被测物质分子对紫外-可见波长范围(200~800nm)内单色辐射的吸收进行物质的定性、定量或结构分析的一种方法。
1.基本原理
物质对辐射的吸收遵循朗伯-比耳定律:当单色辐射通过一定厚度吸收层的物质时,吸光度与物质的浓度成正比。用公式表示为

式中:A表示吸光度;T表示透光率;I0表示进入吸收层的入射辐射强度;I表示透过吸收层的辐射强度;b表示吸收层的厚度;c表示吸光物质的浓度;ε表示摩尔吸光系数,它的物理意义是物质浓度为1mol·L-1和吸收层厚度为1cm时溶液的吸光度,其数值大小与波长和吸光物质的性质有关,ε表示物质分子对特定波长辐射吸收的能力,ε值越大,吸光光度法测定的灵敏度越高。
由上式可见,当某溶液的比色皿厚度b一定时,则吸光度与溶液的浓度c成正比,这是吸光光度法进行定量分析的依据。
当定量分析某一组分的溶液时,首先要配制一组标准溶液,分别测得在某特定波长下的吸光度,用数据处理方法,找出吸光度与浓度的标准曲线方程或图形;再测得任意未知样品的吸光度,从标准曲线上可求出其浓度。
吸光光度法也可用于多组分的同时测定。当各组分吸收光谱互相重叠,但能遵守比耳定律时,如有n个组分,则可选择在n个不同的波长处测定吸光度,再求解n个线性方程组来计算各组分的浓度。
吸光光度法进行定性和结构分析时,将未知化合物的吸收光谱的形状、吸收峰的峰数和位置,以及相应的摩尔吸光系数,与纯化合物的吸收光谱图进行比较,如两者一致,可认为两者具有相同的发色团。
2.分光光度计的基本部件
分光光度计就是测量物质分子对不同波长或特定波长处的辐射吸收强度的一种仪器,常见的仪器类型有紫外分光光度计、可见分光光度计和紫外-可见分光光度计。仪器按光源分为单波长单光束分光光度计、单波长双光束分光光度计、双波长双光束分光光度计。其主要由以下五部分组成。
辐射源(光源):具有稳定的、足够输出功率的连续光谱。钨灯是可见光区用的光源,适用波长范围为350~2500nm;紫外区(180~460nm)则用氢灯或氘灯。
单色器:可产生高纯度单色光束。单色器由入射狭缝、出射狭缝、透镜等元件组成,色散元件为棱镜或衍射光栅。
比色皿:用作液体吸光度测定的容器,有石英比色皿和玻璃比色皿两种,前者适用于紫外-可见区,后者只适用于可见光区。
检测器:又称光电转换器,通常用光电管作波长检测器,也有用二极管阵列等检测器以进行全波长同时检测。
显示装置:显示光电转换器后的信号大小。

图A-2 722型分光光度计
1—数字显示器;2—吸光度调零旋钮;3—选择开关;4—吸光度调斜率电位器;5—浓度旋钮;6—光源室;7—电源开关;8—波长选择旋钮;9—波长刻度窗;10—样品架拉手;11—100%T旋钮;12—0%T旋钮;13—灵敏度调节旋钮;14—干燥器
图A-2为722型光栅分光光度计的外形图,用碘钨灯作光源,工作波长范围为360~800nm,波长精度为±2nm,波长重现性为0.5nm,单色光带宽为6nm,吸光度显示范围为0~1.999,样品架可放置4个比色皿。
3.仪器的基本操作
(1)预热。接通电源开关7,指示灯亮,打开比色皿暗箱盖。预热20min后才能进行测定工作。
(2)设定波长。将灵敏度调节旋钮13置于“1”挡(放大倍率最小),转动波长选择旋钮8,选择所需的单色光波长。
(3)调零和T=100%。将选择开关3置于“T”挡(即透光率),打开比色皿暗箱盖,放入比色皿,调节“0%T”旋钮12,使数字显示器为“0.000”。将盛参比溶液的比色皿放入样品架的第一格内,盛样品溶液的比色皿放入样品架的其他格内,盖上比色皿暗箱。推比色皿拉杆,将盛参比溶液的比色皿处于光路之中,调节“100%T”旋钮11,使数字显示器准确显示100%;若数字显示器调不到100%处,则可适当增加灵敏度调节旋钮13的挡数。一般应尽可能使用低挡数,这样仪器将有更高的稳定性。改变灵敏度后再调节T=100%,使数字显示器显示100%。然后再反复几次调整零位和T=100%,待显示稳定后,将选择开关3置于“A”挡(即吸光度),此时吸光度显示应为“0.000”,若不是,则调节吸光度调零旋钮2,使显示“0.000”后即可进行测定。
(4)测定。将比色皿拉杆拉出一格,使待测溶液进入光路,从数字显示器上读取该溶液的吸光度,读完数后立即打开比色皿暗箱盖。
(5)重复操作,再依次测量其他溶液的吸光度。
(6)测量完毕,取出比色皿,洗净擦干,将各旋钮恢复到起始位置,开关置于“关”处,拔下电源插头。
4.测量条件的选择
为了保证吸光度测定的准确度和灵敏度,在测量吸光度时还需注意选择适当的测量条件,如入射光波长、参比溶液和读数范围。
(1)入射光波长的选择。由于溶液对不同波长的光吸收程度不同,一般应选择最大吸收时的波长为入射光波长,这时摩尔吸光系数数值最大,测量的灵敏度较高。有干扰时可考虑使用其他波长为入射光波长。
(2)参比溶液的选择。入射光照射装有待测溶液的比色皿时,将发生反射、吸收和透射等情况,而反射以及试剂、共存组分等对光的吸收也会造成透射光强度的减弱,为使光强度减弱仅与溶液中待测物质的浓度有关,必须通过参比溶液对上述影响进行校正。选择参比溶液的原则是:若共存组分、试剂在所选入射光波长处均不吸收入射光,则选用蒸馏水或纯溶剂作参比溶液;若试剂在所选入射光波长处吸收入射光,则以试剂空白作参比溶液;若共存组分吸收入射光,而试剂不吸收入射光,则以原试液作参比溶液;若共存组分和试剂都吸收入射光,则取原试液掩蔽被测组分,再加入试剂后作为参比溶液。
(3)吸光度读数范围的选择。在光度测量时,当透光率读数范围在10%~70%或吸光度读数范围在0.15~1.0之间时,读数误差较小。可通过调整称样量、比色皿厚度和稀释倍数等方法使样品溶液的吸光度读数在此范围内。
A.3 酸度计
酸度计又称pH计,是测定溶液pH值最常用的仪器,同时也可以测量电极电势。实验室常用的酸度计有雷兹25型、pHS-2C型、pHS-3C型、pHS-3D型等。它们的型号和结构虽然不同,但基本原理相同。
1.基本原理
酸度计是由测量电极(玻璃电极)、参比电极(甘汞电极)和精密电位计三部分组成的。
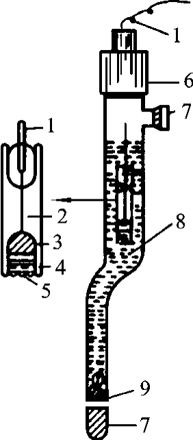
(1)甘汞电极。甘汞电极是由金属汞、氯化亚汞(甘汞)和一定浓度的氯化钾溶液组成的。其构造如图A-3所示,它的电极反应是:

在25℃时
在一定温度下为一定值,所以φ甘汞取决于Cl-的活度值
,与溶液的pH值无关。通常用饱和氯化钾溶液为电解质溶液。25℃时饱和氯化钾溶液的φ甘汞为0.2415V。
(2)玻璃电极。玻璃电极的结构如图A-4所示,其下端是一极薄的玻璃球泡,由特殊的敏感玻璃膜构成,对H+有敏感作用。在玻璃泡中装有0.1mol·L-1 HCl和Ag-AgCl电极作为内参比电极,将它浸入待测溶液中组成如下电极:


图A-3 饱和甘汞电极
1—导线;2—铂丝;3—汞;4—甘汞;5—多孔物质;6—绝缘体;7—橡皮帽;8—饱和KCl溶液;9—多孔物质

图A-4 玻璃电极
1—导线;2—绝缘套;3—Ag-AgCl电极;4—内部缓冲液;5—玻璃膜
待测溶液的H+与电极玻璃球泡表面水化层进行离子交换,产生一定的电势差,玻璃泡内层同样产生电极电势。由于内层H+浓度不变,而外层H+浓度变化,所以该电极的电势只随待测溶液的pH值不同而改变。

图A-5 复合pH电极
1—饱和KCl溶液加入口;2—0.1mol·L-1 HCl;3—Ag-AgCl电极;4—饱和KCl溶液;5—细孔陶芯;6—玻璃薄膜小球
(3)复合电极。复合电极实际是将玻璃电极和参比电极合并制成的。它以单一接头与精密电位计连接,图A-5为一种以Ag-AgCl电极作为参比电极的复合pH电极示意图。
将玻璃电极和甘汞电极一起插入待测溶液组成原电池:Ag-AgCl(s)|HCl(0.1mol·L-1)|玻璃膜|待测溶液|甘汞电极
连接精密电位计,即可测得电池的电动势。在25℃时,其电动势为

所以

若将复合电极插入待测溶液,连接精密电位计,在25℃时,其电动势为

25℃时饱和氯化钾溶液的φAg-AgCl为0.1981V。
对于一个给定的玻璃电极
为定值,可以用已知pH值的缓冲液或酸式盐求得此值。但在实际工作中,并不具体计算出该数值,而是通过标准缓冲液对酸度计进行标定,作出校正,然后就可以直接进行测量。

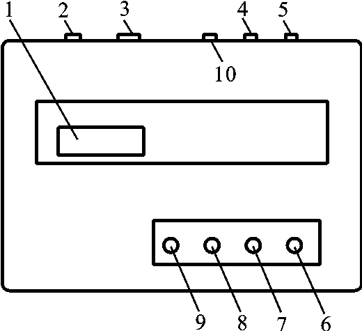
图A-6 pHS-3C型酸度计的外形结构图
1—数字显示屏;2—电源插座;3—电源开关;4—参比电极接口;5—复合电极接口;6—温度补偿调节旋钮;7—斜率调节旋钮;8—定位调节旋钮;9—“pH/mV”选择开关;10—信号输出接口
2.pHS-3C型酸度计
pHS-3C型酸度计是一台精密数字显示pH计,该计适用于测定水溶液的pH值和电极电位。
测量范围:pH=0~14;0~±1999mV;测量精度0.01pH,1mV;温度补偿范围为0~60℃,外形结构如图A-6所示。pH值测量操作步骤如下。
(1)电源线插入电源插座2,接通电源并开机,仪器开始工作,开机预热10min。
(2)拔去复合电极接口的保护端子,将复合电极插入复合电极接口5,顺时针方向转动90°,使电极接触紧密,电极夹在电极夹上。
如果不用复合电极,则在复合电极接口处插上电极转换器的插头,将玻璃电极插头插入转换器插座处,甘汞电极插入参比电极接口处。使用时应把上面的小橡皮帽和下端橡皮帽拔出,以保持液位压差,不用时要把它们套上。
(3)把“pH/mV”选择开关9调到pH挡,显示屏显示pH值。
(4)调节温度补偿旋钮6,使其对准缓冲液的温度值。
(5)把清洗过的电极插入pH=6.86的缓冲液中,调节定位调节旋钮8,使仪器显示读数与该温度下缓冲液的pH值相一致。
(6)用蒸馏水清洗电极,再用pH=4.00(或pH=9.18)的缓冲液调节pH=4.00(或pH=9.18)。重复(3)、(4),直至显示值与缓冲液的pH值一致[粗糙调节可用pH=6.86和pH=4.00(或pH=9.18)两种溶液调节]。
(7)将电极洗净,插入待测溶液中,搅拌、静置,等显示值稳定后,即为该待测溶液的pH值。
若待测溶液温度和缓冲液温度不相同时,应先将温度补偿调节旋钮6调到待测溶液温度,然后再测量。
该酸度计还可以用于测量电极电位(“mV”值),操作步骤如下。
(1)将选择开关9调到“mV”挡,显示屏显示“mV”值。
(2)将参比电极插入参比电极接口,离子选择性电极与复合电极接口连接。
(3)将洗净、甩干或吸干的电极浸入待测溶液中,搅拌、静置,等显示值稳定后记下读数,即为该溶液的“mV”值。
测试完毕,洗净电极,套上保护套或浸泡在3.3mol·L-1氯化钾溶液中,关机。
3.注意事项
(1)检查电极的插头、插座,其内芯需保持清洁、干燥,不得污染。
(2)在使用玻璃电极或复合电极时,应避免电极的敏感玻璃膜与硬物接触,以防损坏电极或使电极失效。
(3)复合电极在使用前应置于3.3mol·L-1氯化钾溶液中,浸泡6h进行活化。电极避免长期浸在蒸馏水、蛋白质溶液或含有氟化物的溶液中。
(4)要保证缓冲液的可靠性,不能配错缓冲液;若出现缓冲液配制时间较长或霉变、混浊等情况,应重新配制。
(5)仪器经校正好后,测试待测溶液时,定位调节旋钮和斜率调节旋钮不可再动,否则将影响测试精度。
A.4 阿贝折光仪
1.基本原理
光从一种介质斜射入另一种介质时,在两种介质的界面上,一部分光发生反射,另一部分光进入后一种介质中去(见图A-7)。进入后一种介质中的光改变了原来的传播方向,这种现象称为光的折射。根据折射定律,在温度和压力不变的条件下,波长一定的单色光在两介质中的入射角θ1和折射角θ2与光速、折射率的关系为


图A-7 光在界面上的折射和反射
当光从折射率n1大的介质1中进入折射率n2小的介质2时,从上式可知,折射角θ2>入射角θ1[见图A-7(a)];当入射角逐渐变大时,折射角也变大[见图A-7 (b)]。当入射角增大到临界角θc时,透射光线正好沿着两界面传播[见图A-7(c)],此时,透射光强度趋近于零。当入射角大于θc,发生全反射[见图A-7(d)]。阿贝折光仪就是根据临界折射现象设计的,试样(介质2)置于测量棱镜(介质1)的镜面上,而棱镜的折射率np大于试样的折射率n。如果入射光从棱镜射入试样,在大于临界角时构成暗区,小于临界角时构成亮区。把折射角θ2=90°、入射角为θ2和棱镜的折射率np代入式(1),得试样的折射率n的计算式为

由式(2)可知,如果已知棱镜的折射率np,并在温度、单色光波长都保持恒定的实验条件下,测得临界角θc,就能算出被测试样的折射率。
2.仪器操作
图A-8为阿贝折光仪示意图。它主要由两块棱镜组成,上面一块是光滑的,下面一块是磨砂的。测定时,将被测液体滴入磨砂棱镜,然后将两块棱镜叠合关紧。光线由反光镜入射到磨砂棱镜,产生漫射,以0°~90°不同入射角进入液体层,再到达光滑棱镜。光滑棱镜的折射率很高(约1.85),大于液体的折射率,其折射角小于入射角,这时在临界角以内的区域有光线通过,是明亮的,而临界角以外的区域没有光线通过,是暗的,从而形成了半明半暗的图像(见图A-9)。不同化合物的临界角不同,明暗两区的位置也不同。在目镜中刻上十字交叉线,改变棱镜与目镜的相对位置,使明、暗分界线正好与十字交叉点重合,通过测定其相对位置并换算,可测得化合物的折射率。阿贝折光仪标尺上的刻度就是经过换算后的折射率。由于阿贝折光仪有消色散装置,可以直接使用日光,测得的数据与使用钠光相同,量程为1.3000~1.7000,精密度为0.0001。
使用时将阿贝折光仪放在光亮处,但避免阳光直接暴晒。用超级恒温槽将恒温水通入棱镜夹套内,其温度以折光仪上温度读数为准。其测量步骤如下。

图A-8 阿贝折光仪
1—测量望远镜;2—消失散手柄;3—恒温水入口;4—温度计;5—测量棱镜;6—铰链;7—辅助棱镜;8—加液槽;9—反射镜;10—读数望远镜;11—转轴;12—刻度盘罩;13—闭合旋钮;14—底座
(1)扭开测量棱镜和辅助棱镜的闭合旋钮,并转动镜筒,使辅助棱镜的斜面向上,若测量棱镜和辅助棱镜表面不清洁,可滴几滴丙酮,用擦镜纸顺单一方向轻擦镜面(不能来回擦)。
(2)用滴管滴入2~3滴待测液体于辅助棱镜的毛玻璃面上(滴管切勿触及镜面),合上棱镜,扭紧闭合旋钮。若液体样品易挥发,动作要迅速,或将两棱镜闭合,从两棱镜合缝处的一个加液小孔注入样品(特别注意不能使滴管折断孔内,以致损伤棱镜镜面)。

图A-9 数据读取示意
(3)转动镜筒使之垂直,调节反射镜使入射光进入棱镜,同时调节目镜的焦距,使目镜中十字线清晰明亮,再调节读数螺旋,使目镜中呈半明半暗状态[见图A-9(a)]。
(4)读取数据[见图A-9(b)]。不同物质的临界角不同,可以通过测定其临界角,得到各物质的折射率。
使用阿贝折光仪应注意以下几点。
(1)折光仪不能用来测定强酸、强碱以及有腐蚀性的液体,也不能测定对棱镜、保温套之间的黏合剂有溶解性的液体。
(2)使用前应先对仪器进行校正。通常用纯水校正,测得纯水的折射率与标准值比较,求得校正值(一般重复两次,求得平均值)。校正值一般都很小,若此值太大,整个仪器必须重新校正。
(3)仪器不能暴晒于日光中,也不能在较高温度下使用。
(4)必须注意保护棱镜,不能在镜面上造成刻痕,使用完毕,用乙醇或丙酮洗净镜面,晾干后再闭上棱镜,妥善保管。
A.5 电导率仪
1.工作原理
电导率仪是测量电解质溶液的电导率的仪器。电解质的电导除与电解质种类、溶液浓度及温度有关外,还与所用电极的面积A、两极间距离l有关。在电导率仪中,常用的电极有铂黑电极或铂光亮电极(统称为电导电极),对于某一给定的电极来说,l/A为常数,称为电导池常数。每一电导电极的常数由制造厂家给出。
电导是电阻的倒数。所以,测量电导与测量电阻的方法相同,可用电桥平衡法测量,但为了减少或消除当电流通过电极时发生氧化或还原反应而引起的误差,必须采用交流电源。
2.仪器的使用
图A-10为DDS-11A型电导率仪面板示意图,该电导率仪具有测量范围广、快速和操作简便等特点,其仪器的使用方法如下。

图A-10 DDS-11A型电导率仪
1—电源开关;2—电源指示灯;3—高、低周开关;4—校正、测量开关;5—校正调节旋钮;6—量程选择开关;7—电容补偿;8—电极插口;9—10mV输出;10—电极常数调节旋钮;11—读数表头
(1)在未开电源开关前,先检查电表指针是否指在零点,若指针不指在零点,则需借电表上的螺丝调节,使指针指零点。将校正、测量开关4拨到“校正”位置。接上电源,打开电源开关1,并预热5~10min。
(2)将高周和低周开关3扳向所需位置,如被测量液体电导率很低(小于3× 10-2 S·m-1),选用低周,其他情况选用高周。
(3)将量程选择开关6扳到所需的测量范围挡。如预先不知待测溶液的电导率的大小,可先将该开关扳至最大量程挡,然后逐挡下降,以防表针打弯。
(4)电极的选用。若被测液体的电导率很低(小于10-3 S·m-1),如去离子水或极稀的溶液,选用DJS-1型光亮电极。将电极常数调节旋钮10调到所用电导电极的电极常数相应的位置上,如电极常数为0.95,把电极常数调节旋钮调到0.95的常数值上。
若被测液体的电导率在10-3~1S·m-1之间,应选用DJS-1型铂黑电极,将电极常数调节旋钮10调到所用电导电极的电极常数相应的位置上。
若被测液体的电导率很高(大于1S·m-1),用DJS-1型铂黑电极测不出时,则选用DJS-10型铂黑电极,将电极常数调节旋钮10调到所用电导电极的电极常数的1/10位置上。测量时,测得的读数乘以10,即为被测溶液的电导率。
(5)将电极夹夹紧电导电极的胶木帽,并通过电极夹把电极固定在电极杆上。插头插入电极插口,上紧插口上的固定螺丝。用少量待测溶液冲洗电极2~3次。将电极浸入待测溶液(应将电极上的铂片全部浸入待测溶液)。
(6)将校正、测量开关4拨到“校正”位置,调整校正调节旋钮,使指示电表上的指针停在满刻度。注意:校正必须在电导池接妥的情况下进行。
(7)将校正、测量开关4拨到“测量”位置,当量程选择开关6处在1~8量程时,把高、低周开关拨至“低周”,用9~10量程测量时,高、低周开关拨在“高周”。轻轻摇动烧杯使被测溶液浓度均匀,被测溶液的电导率即为电表上的指针稳定时的读数乘以量程选择开关7所指的倍率。
测量完毕后,速将校正、测量开关4扳回“校正”位置,关闭电源开关,用去离子水冲洗电极数次后,将电极放入专备的盒内。
(8)使用注意事项。为了保证电导读数精确,测量时应尽可能使指示电表的指针接近于满刻度;在使用过程中要经常检查“校正”是否调整准确,即应经常把校正、测量开关拨向“校正”,检查指示电表指针是否仍为满刻度。尤其是对高电导率溶液进行测量时,每次应在校正后读数,以提高测量精度;测量溶液的容器应洁净,外表勿受潮。当测量电阻很高(即电导很低)的溶液时,需选用由溶解度极小的中性玻璃、石英或塑料制成的容器。
A.6 电位差计
电位差计在基础化学实验中应用非常广泛,它的精度高,可用于测量电动势和校正电表,作为输出可变精密稳压电源等。电位差计类型很多,下面主要介绍UJ-25型电位差计的构造原理及使用。
1.直流电位差计的工作原理
直流电位差计是根据补偿原理而设计的,它由工作电流回路、标准回路和测量回路组成。原理见图6-21。
工作电流回路:工作电流由工作电池VW的正极流出,经可变电阻R、滑线电阻RAB返回VW的负极,构成一个通路,调节R使均匀滑线电阻AB上产生一定的电位降。
标准回路:将变换开关K合向标准电池S,对工作电流进行标定。从标准电池的正极开始,经检流计G、滑线电阻上的C1A段,回到标准电池的负极。其作用是校准工作电流以标定AB上的电位降。令
=IRCA=Es(借助于调节R使G中的电流IG为零来实现),使C1A段上的电位降
(成为补偿电压)与标准电势Es相对消。
测量回路:将K扳回X,从待测电池的正极开始,经检流计G、滑线电阻上C2A段,回到待测电池负极。其作用是使用校正好的滑线电阻AB上的某范围的电位降来测量未知电池的电动势。在保持标定后的工作电流I不变的条件下,在AB上寻找出C2点,使得G中的电流为零,从而
,使C2A段上的电位降
与待测电池的电动势Ex对消。
如果知道
比例和Es,就能求出Ex。
2.仪器操作
UJ-25型高电势直流电位差计面板如图A-11所示。UJ-25型电位差计上标有0.01字样,表明其测量最大误差为满刻度值的0.01%,即万分之一。它的可变电阻R由粗、中、细、微四挡组成,滑线电阻由六个转盘组成,所以测量读数最小值为10-6 V。

图A-11 UJ-25型高电势直流电位差计面板图
1—电计按钮(3个);2—转换开关;3—电势测量旋钮(6个);4—工作电流调节旋钮(4个);5—标准电池温度补偿旋钮
图A-11中的转换开关2旋钮相当于图6-21中的开关K,当旋钮尖端指在“N”处时,等于K接通Es,当旋钮尖端指在“x2”处时,即等于K接通未知电池Ex。面板图的左下角标有“粗”“细”“短路”的揿钮,相当于原理图中的K电钥,揿“粗”表示K通过保护电阻接通检流计G,揿“细”表示K不通过保护电阻接通检流计G;“短路”用来将检流计短路,当反电势与待测电势不能对消时,防止检流计的指针被打坏,必须用此钥。图A-11右边的工作电流调节旋钮4有“粗、中、细、微”四挡,相当于原理图中的可变电阻R。通过调节这四个旋钮,实现工作电流标准化。右上角的两个旋钮是两个标准电池电动势温度补偿旋钮,中间六个电势测量旋钮3具有不同的电势测量精度(×10-1,×10-2,…,×10-6),其下都有一个小窗孔,被测电池的电动势由此示出。使用UJ-25型高电势直流电位差计测定电动势时需将韦斯登标准电池、工作电池(1.5V电池两节)分别接在UJ-25型高电势直流电位差计的标准和工作电池端子上,将检流计接在电计端子上。先读取环境温度,校正标准电池的电势;调节标准电池的温度补偿旋钮5至计算值;将转换开关2拨至“N”处,转动工作电流调节旋钮“粗”、“中”、“细”,依次按下电计按钮“粗”、“细”,直至检流计示零。在测量时,将待测电池接在UJ-25型高电势直流电位差计的未知端子上,将转换开关拨向x1或x2位置,从大到小旋转测量旋钮3,按下电计按钮,直至检流计示零,6个小窗口内读数即为待测电池的电动势。
3.韦斯登标准电池(镉汞标准电池)
使用UJ-25型高电势直流电位差计测量电位差时需用标准电池标定工作电流。韦斯登标准电池是常用的标准电池。由于标准电池的电动势具有很好的重现性和稳定性,经过欧姆基准、安培基准标定后,从而成为伏特基准器,将伏特基准长期保存下来。在实际工作中,标准电池被作为电压测量的标准量具或工作量具,在直流电位差计电路中提供一个标准的参考电压。
标准电池可分为饱和式、不饱和式两类。前者可逆性好,因而电动势的重现性、稳定性均好,但温度系数较大,需进行温度校正,一般用于精密测量中。后者温度系数很小,但可逆性差,用在精度要求不很高的测量中,可以免除烦琐的温度校正。饱和与不饱和式的标准电池表达式可分别表示如下:

韦斯登电池的装置如图A-12所示。电池的负极为镉汞齐(含12.5%Cd);正极是Hg与Hg2SO4的糊体,在糊体和镉汞齐上面放有CdSO4·8/3H2O的晶体和其饱和溶液。为了使引入的导线与正极糊体接触得更紧密,在糊体的下面放少许汞。其电池反应如下。

电池的电动势En与摄氏温度t的关系式为


图A-12 韦斯登标准电池
注意事项如下。
(1)标准电池使用时绝对不能倒置、不能摇动。经过摇动的标准电池电动势会发生改变,应静置5h以上才能使用。
(2)电极正、负极不可接错。
(3)应在温度波动较小的环境中使用,最好在4~40℃范围内。若波动过大会因CdSO4·8/3H2O(s)晶粒再结晶成大块而增加了电池内阻。
(4)标准电池仅作为电动势的基准器,不能当电池使用。长时间使用,电动势会不断下降,只能间歇、瞬时地使用,使电动势得以恢复,不可利用万用表等直接测量标准电池的电动势。
A.7 磁天平
磁天平常用于分子结构的顺磁和逆磁磁化率的测定实验,主要由样品管、电磁铁、数字式特斯拉计、励磁电源、数字式电压电流表、霍尔探头、分析天平等部分组成。磁天平的电磁铁由单桅水冷却型电磁铁构成,磁极直径为40mm,磁极矩为10~40mm,电磁铁的最大磁场强度可达0.6T。励磁电源是220V的交流电源,用整流器将交流电变为直流电,经滤波串联反馈输入电磁铁,如图A-13所示,励磁电流可从0A调到10A。

图A-13 磁天平电路示意图
表A-1为MB-1A型磁天平的主要性能指标。磁场强度测量用DTM-3A型特斯拉计。仪器传感器是霍尔探头,其结构如图A-14所示。
表A-1 MB-1A型磁天平的主要性能指标


图A-14 霍尔探头

图A-15 霍尔效应原理示意图
1.测量原理
霍尔效应在一块半导体单晶薄片的纵向两端通电流IH,此时半导体中的电子沿着IH反方向移动,如图A-15所示,当放入垂直于半导体平面的磁场H中,则电子会受到磁场力Hg的作用而发生偏转(洛仑兹力),使得薄片的一个横端上产生电子积累,造成两横端面之间有电场,即产生电场力Fe,阻止电子偏转作用,当Fg=Fe时,电子的积累达到动态平衡,产生一个稳定的霍尔电势VH,这种现象称为霍尔效应。其关系式为

式中:VH为霍尔电势;KH为元件灵敏度;IH为工作电流;B为磁感应强度;θ为磁场方向和半导体面的垂线的夹角。
当半导体材料的几何尺寸固定,IH由稳流电源固定时,则VH与被测磁场H成正比。当霍尔探头固定且θ=0°时(即磁场方向与霍尔探头平面垂直时输入最大),VH的信号通过放大器放大,并配以双积分型单片数字电压表,经过放大倍数的校正,使数字显示直接指示出与VH相对应的磁感应强度。
2.操作步骤
(1)实验前观察特斯拉计探头是否在两个磁极中间附近,并且探头平面要求平行于磁极端面,如果不正确,则进行调整。方法是先松开探头支架上的紧固螺丝,调节探头位置再固定,如探头固定好以后,不要经常变动。
(2)未通电源时,逆时针将电流调节电位器调到最小,打开电源开关,调节特斯拉计的调零电位器,使磁场输出显示为零。
(3)调节电流,使电流增加至特斯拉计显示“0.300T”,观察电流磁场显示是否稳定。关闭电源前,应调节励磁电源电流,使输出电流为零。
(4)用标准样品标定磁场强度的方法。先取一支清洁、干燥的空样品管,悬挂在唯天平的挂钩上,使样品管正好与磁极中心线平齐,样品管不可与磁极接触,并与探头有合适的距离。准确称取空样品管的质量(H=0时),得m1(H0),调节电流调节电位器,使特斯拉计显示“0.300T”(H1),迅速称得m1(H1)。逐渐增大电流,使特斯拉计数字显示为“0.350T”(H2),称得m1(H2)。将电流略微增大后再降至特斯拉计显示“0.350T”(H2),又称得m2(H2)。将电流降至特斯拉计显示“0.300T”(H1)时,称得m2(H1),最后将电流调节至特斯拉计显示“0.000T”(H0),称得m2(H0)。这样调节电流由小到大再由大到小的测定方法是为了抵消实验时磁场剩磁的影响。
(5)按步骤(2)所述高度,在样品管内装好样品并使样品均匀填实,挂在磁极之间。再按步骤(3)所述的先后顺序由小到大调节电流,使特斯拉计显示在不同点,同时称出该点的样品管和样品一起的质量。后按前述的方法由高调低电流。当特斯拉计显示不同点的磁场强度时,同时称出该点电流下降时的样品管加样品的质量。
3.注意事项
(1)调节电流时,应以平稳的速率缓慢升降。
(2)关闭电源时,应调节励磁电源电流,使输出电流为零。
(3)霍尔探头是易损元件,测量时必须防止变送器受压、扭挤、变曲和碰撞等。使用前应检查霍尔探头铜管是否松动,如有松动应紧固后使用。
(4)霍尔探头不宜在局部强光照射下,或高于60℃的温度时使用,也不宜在腐蚀性气体场合下使用。
(5)霍尔探头不用时应将保护套套上。
(6)磁场极性判别。在测试过程中,特斯拉计数字显示若为负值,则探头的N极与S极位置放反,需纠正。
(7)霍尔探头平面与磁场方向要垂直放置。
A.8 旋光仪
1.旋光仪工作原理
一般光源发出的光,其光波在垂直于传播方向的一切方向上振动,这种光称为自然光,而只在一个方向上有振动的光称为平面偏振光。当一束平面偏振光通过某些物质时,其振动方向会发生改变,此时光的振动面旋转一定的角度,这种现象称为物质的旋光现象,这种物质称为旋光物质。旋光物质使偏振光振动面旋转的角度称为旋光度。
旋光仪的主要元件是两块尼柯尔棱镜。尼柯尔棱镜是由两块方解石直角棱镜沿斜面用加拿大树脂黏合而成的(见图A-16)。
当一束单色光照射到尼柯尔棱镜时,分解为两束相互垂直的平面偏振光,一束折射率为1.658的寻常光,一束折射率为1.486的非寻常光,这两束光线到达加拿大树脂黏合面时,折射率大的寻常光(加拿大树脂的折射率为1.550)被全反射到底面上的墨色涂层被吸收,而折射率小的非寻常光通过棱镜,这样就获得了一束单一的平面偏振光。用于产生平面偏振光的棱镜称为起偏镜,如让起偏镜产生的偏振光照射到另一个透射面与起偏镜透射面平行的尼柯尔棱镜,则这束平面偏振光也能通过第二个棱镜,如果第二个棱镜的透射面与起偏镜的透射面垂直,则由起偏镜出来的偏振光完全不能通过第二个棱镜。如果第二个棱镜的透射面与起偏镜的透射面之间的夹角在0°~90°之间,则光线部分通过第二个棱镜,此时第二个棱镜称为检偏镜。通过调节检偏镜,能使透过的光线强度在零和最强之间变化。如果在起偏镜与检偏镜之间放有旋光性物质,由于物质的旋光作用,使光的偏振面改变了某一角度,此时只有检偏镜也旋转同样的角度,才能补偿旋光改变的角度,使透过的光的强度与原来相同。旋光仪就是根据这种原理设计的。

图A-16 尼柯尔棱镜
目前国内生产的旋光仪,其检偏镜角度的调整采用光电检测器。通过电子放大及机械反馈系统自动进行,最后数字显示。该旋光仪具有体积小、灵敏度高、读数方便、减少人为的观察三分视野明暗度相同时产生的误差,对弱旋光性物质同样适应。
WZZ型自动数字显示旋光仪,其结构原理如图A-17所示。

图A-17 WZZ型自动数字显示旋光仪结构原理
WZZ-2A型自动数字显示旋光仪(实物)如图A-18所示。

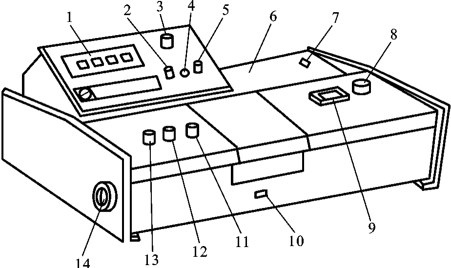
图A-18 WZZ-2A型自动数字显示旋光仪
该仪器以20W钠光灯为光源,光线通过聚光镜、小孔光柱和物镜后形成一束平行光,然后经过起偏镜后产生平行偏振光,这束偏振光经过有法拉第效应的磁旋线圈时,其振动面产生50Hz的一定角度的往复振动,该偏振光线通过检偏镜透射到光电倍增管上,产生交变的光电信号。当检偏镜的透光面与偏振光的振动面正交时,即为仪器的光学零点,此时出现平衡指示。当偏振光通过一定旋光度的测试样品时,偏振光的振动面转过一个角度α,此时光电信号驱动工作频率为50Hz的伺服电机,并通过涡轮杆带动检偏镜转动α角而使仪器回到光学零点,此时读数盘上的示值即为所测物质的旋光度。
2.影响旋光度的因素及旋光度测定
(1)溶剂的影响。旋光物质的旋光度主要取决于物质本身的结构,另外,还与光线透过物质的厚度、测量时所用光的波长和温度有关。如果被测物质是溶液,影响因素还包括物质的浓度,溶剂也有一定的影响。因此在不同的条件下,旋光物质的旋光度测定结果通常不一样,一般用比旋光度作为量度物质旋光能力的标准。
(2)温度的影响。温度升高会使旋光管膨胀而长度增大,从而导致待测液体的密度降低。另外,温度变化还会使待测物质分子间发生缔合或电离,使旋光度发生改变。
(3)浓度和旋光管长度对比旋光度的影响。在一定的实验条件下将比旋光度作为常数,旋光物质的旋光度与浓度成正比,与旋光管的长度也成正比。旋光管通常有10cm、20cm、22cm三种规格,经常使用的有10cm长度的旋光管。对旋光能力较弱或较稀的溶液,为提高准确度、降低读数的相对误差,需用20cm或22cm长度的旋光管。
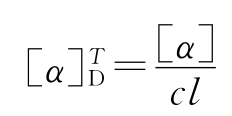
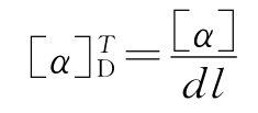
(4)旋光度测定。物质的旋光度与测定时所用溶液的浓度、样品管长度、温度、所用光源的波长及溶剂的性质等因素有关,因此,常用比旋光度来表示物质的旋光性。当光源、温度和溶剂一定时,比旋光度
等于样品管单位长度、物质单位浓度的旋光度[α]。通常表示比旋光度时还需标明测定时所用的溶剂。比旋光度与旋光度的关系为

式中:
表示旋光性物质在温度为T、光源波长为λ时的比旋光度;[α]表示旋光仪在温度为T、光源波长为λ时实测的旋光度读数;l为旋光管的长度,dm;c为旋光性溶液的浓度,g·mL-1。
如果测定的旋光性物质为纯液体,比旋光度可由下式求出:

式中:d为纯液体的密度,g·mL-1;l为旋光管的长度,dm。
许多物质的比旋光度可从化学手册中查到。因此在实验中,可通过测定某一旋光物质的[α],得到该旋光物质的浓度。若已知某一纯的旋光物质液体的密度,可通过测定某一旋光物质的[α],得到该旋光物质的比旋光度。
3.旋光仪的使用方法
首先打开钠光灯,稍等几分钟,待光源稳定后调整零点。选用合适的样品管并洗净,充满蒸馏水(应无气泡),即为蒸馏水管,放入旋光仪的样品管槽中,调节旋光仪的零点。零点确定后,将蒸馏水管换成装有待测旋光溶液的样品管,按同样的方法测定,此时读数为该样品的旋光度。
旋光仪在使用时,需通电预热几分钟,但钠光灯使用时间不宜过长。旋光仪是比较精密的光学仪器,使用时,仪器金属部分切忌沾污酸碱,以防腐蚀。光学镜片部分不能与硬物接触,以免损坏镜片。不能随便拆卸仪器,以免影响精度。