第7章 研究创新型实验
在学生基本掌握化学理论知识和实验技能的基础上,为了进一步提高学生独立解决实际问题的能力,选编了一些与生产实际联系紧密的实验内容作为研究创新型实验,学生通过选做,除了继续巩固基本操作、基本技能外,更重要的是通过这一环节培养学生的创新意识和创新能力,提高学生的综合素质。
研究创新型实验有一定的难度,因此必须投入时间和精力,需要周密思考,灵活应用已掌握的化学知识、实验技术和方法。用主动、积极的学习获得能力培养的最佳效果。
研究创新型实验的要求如下。
(1)查阅资料,根据指定的研究课题,查阅有关资料,如合成方法可查教科书及相关参考文献,所需的数据可查物理化学类手册,成熟的分析方法可查教科书和分析化学手册以及国家标准等。
(2)设计实验方案,在收集资料的基础上,经分析、比较后拟定出合适的实验方案,并按实验目的、原理、试剂(注明规格、浓度、配制方法)、仪器、步骤、有关计算、分析方法的误差来源及采取措施、参考文献等项书写成文。
(3)独立完成实验,实验用试剂均由自己配制;以规范、熟练的基本操作,良好的实验素养进行实验;实验中需要仔细观察、及时记录(包括实验现象、试剂用量、反应条件、测试数据等)、认真思考。如在实验中发现原设计不完善,或出现新问题,应设法改进或解决,以获得满意的结果。
(4)写出小论文,实验完成后,以小论文的形式写出实验报告,论文格式建议为:一、前言;二、实验与结果;三、讨论;四、参考文献。
实验121 蔬菜、食品中铁和钙的测定
实验目的
学习样品的预处理方法;学会用仪器分析法(如分光光度法)和滴定分析法测定物质含量;练习灵活运用各种基本操作的能力和查阅资料的能力。
实验原理
食品中的金属元素,由于常与蛋白质、维生素等有机物结合成难溶或难于电离的物质,因此在测定前需破坏有机结合体,释放出被测组分。通常采取有机物破坏法,该法是在高温条件下加入氧化剂,使有机物质分解,其中,碳、氢、氧等元素生成二氧化碳和水,呈气态逸出,而被测的金属元素则以氧化物或无机盐的形式残留下来。有机物破坏法又分干法和湿法两种,可查阅相关资料。
常量组分的测定可采用滴定分析法,微量和痕量组分的测定不宜采用滴定分析法,而应采用仪器分析法,如食品中微量铁的测定可采用分光光度法,食品中较高含量的钙可采用滴定分析法。
实验内容提示
(1)样品的处理(可用干法或湿法)。
(2)条件实验。
(3)样品中铁和钙的测定。
(4)回收率实验。
实验要求
(1)查阅有关文献,拟订实验方案,并写出详细步骤。
(2)本实验要求测定蔬菜、茶叶、鸡蛋黄、虾皮等食品中铁和钙的含量。要求每组单独拟订实验方案,包括实验题目、实验目的、实验原理、仪器与试剂、实验步骤等。
(3)自行安装和调试仪器,自配试剂,独立完成,至少测定两种不同试样(遇到困难可在教师指导下讨论解决)。
(4)根据拟订方案进行实验。实验中若发现问题,应及时对实验方案进行修正。
(5)实验完成后,以小论文的形式写出实验报告。
实验指导
(1)采用单因素条件试验的方法确定实验条件。注意:平行测定三次。
(2)对于所选用的实验方法是否可信,应检验其准确度和精密度。可用标准样与未知样作平行测定,将测定标准样的结果与标准值比较,检验是否存在显著性差异。如无显著性差异,可认为方法是可靠的。也可采用回收率实验,即在试样中加入一定量的待测组分,在最佳条件下测定,平行测定n次,计算各次的回收率,如平均回收率达95%~105%,则认为测定可靠。同时可在相同条件下,测定该组分检测下限的精密度,其相对标准偏差为5%~10%,即可认为此法的准确度和精密度均符合要求。
参考文献
[1]成都科技大学分析化学教研组.分析化学实验[M].北京:高等教育出版社,1999.
[2]武汉大学.分析化学实验[M].北京:高等教育出版社,1996.
[3]叶世柏.食品理化方法检验指南[M].北京:北京大学出版社,1991.
[4]赵传孝.食品检验技术手册[M].北京:中国食品出版社,1990.
[5]王叔淳.食品卫生检验技术[M].3版.北京:化学工业出版社,2002.
[6]黄伟坤.食品检验与分析[M].北京:中国轻工业出版社,2000.
[7]江小梅.食品分析原理与检验[M].北京:中国人民大学出版社,1990.
实验122 肉制品中亚硝酸盐的含量测定
实验目的
了解肉制品中亚硝酸盐的提取方法;掌握肉制品中亚硝酸盐的测定方法;巩固比色分析的基本操作;练习灵活运用各种基本操作的能力和查阅资料的能力。
实验原理
亚硝酸盐在肉制品加工中起发色作用,常被用作发色剂,但过多地使用会对人体产生毒害作用,亚硝酸盐与仲胺反应生成具有致癌作用的亚硝胺。过多地摄入亚硝酸盐会引起正常血红蛋白(二价铁)转变成高铁血红蛋白(三价铁)而失去携氧功能,导致组织缺氧。
亚硝酸盐的测定方法很多,国家标准公认的测定方法为盐酸萘乙二胺比色法。
样品经沉淀蛋白质、除去脂肪后,提取亚硝酸盐,在酸性条件下,亚硝酸盐与对氨基苯磺酸发生重氮化反应后,再与盐酸萘乙二胺偶合形成紫红色染料,其最大吸收峰为540nm,可测定吸光度,与标准系列比较定量。反应式如下:

实验内容提示
(1)样品处理,提取肉制品中的亚硝酸钠。配制亚硝酸钠标准溶液。
(2)条件实验。
(3)测定样品中亚硝酸钠的含量。
(4)回收率实验。
实验要求
(1)查阅有关文献,拟订实验方案,并写出详细步骤。
(2)本实验要求测定火腿肠、肉质罐头、虾皮以及食堂咸菜等食品中亚硝酸盐的含量。要求每组单独拟订实验方案,包括实验题目、实验目的、实验原理、仪器与试剂、实验步骤等。
(3)自行安装和调试仪器,自配试剂,独立完成,每组至少测定两种不同试样(遇到困难可在教师指导下讨论解决)。
(4)根据拟订方案进行实验。实验中若发现问题,应及时对实验方案进行修正。
(5)实验完成后,以小论文的形式写出实验报告。
实验指导
(1)不同肉制品在亚硝酸盐提取后的处理方法不同。例如,红烧类肉制品在亚硝酸盐提取后处理方法就与普通肉制品不同,由于红烧类肉制品颜色较深,提取液颜色也较深,会影响比色测定,一般加氢氧化铝乳液进行脱色处理。可进行2~3次脱色处理,直至萃取液为无色透明的溶液,再进行比色测定。
(2)样品要充分搅拌均匀,避免样品中的亚硝酸盐提取不完全而使结果偏低。
(3)样品经提取亚硝酸盐后,一定要冷却以后再过滤,否则脂肪除不尽,冷却后溶液混浊,影响比色测定。
(4)绘制标准曲线时,要注意两种显色剂的加入顺序不能颠倒,标准溶液也不能在加入显色剂后加入。
(5)样品管与标准系列管要同时显色,否则显色时间不一致也会产生误差。若样品颜色较深,则应对样品进行稀释或减少取样量;若样品颜色太浅,则应增加取样量。
(6)实验用水应用重蒸水,以减小误差。
(7)采用单因素条件试验的方法确定实验条件。注意:平行测定三次。
(8)对于所选用的实验方法是否可信,应检验其准确度和精密度。可用标准样与未知样作平行测定,将测定标准样的结果与标准值比较,检验是否存在显著性差异。如无显著差异,可认为方法是可靠的。也可采用回收率实验,即在试样中加入一定量的待测组分,在最佳条件下测定,平行测定n次,计算各次的回收率,如平均回收率达95%~105%,则认为测定可靠。同时可在相同条件下,测定该组分检测下限的精密度,其相对标准偏差为5%~10%,即可认为此法的准确度和精密度均符合要求。
参考文献
[1]黄晓钰,刘邻渭.食品化学综合实验[M].北京:中国农业大学出版社,2002.
[2]李超.食品分析原理与技术[M].北京:科学技术文献出版社,1987.
[3]天津轻工业学院,无锡轻工业学院.食品分析[M].北京:轻工业出版社,1983.
实验123 芦荟多糖的含量测定
实验目的
掌握芦荟多糖的提取方法;了解多糖的测定方法;巩固标准溶液的配制等基本操作。
实验原理
利用热水浸提法从芦荟中分离提取水溶性多糖,经苯酚-硫酸显色后,用分光光度法对多糖含量进行测定,于489nm处测定,多糖含量为5.0%~8.0%。
实验内容提示
(1)芦荟多糖的提取。
(2)葡萄糖标准曲线的绘制。
(3)换算因数的测定。
(4)样品溶液的配制。
(5)产品检验。用测得的回归方程,计算样品中多糖的含量。
实验要求
(1)查阅有关文献,拟订实验方案,并写出详细步骤。
(2)选择所需的仪器与有关试剂。
(3)根据拟订方案进行实验。实验中若发现问题,应对实验方案进行修正,直到实验成功。
(4)最后以小论文的形式写出实验报告。
实验指导
1.芦荟多糖的提取
称取新鲜芦荟叶0.4kg,用80%的乙醇50mL浸泡3h,于80℃下加热1h,过滤,将残渣用1500mL蒸馏水浸泡过夜。然后于90℃提取1h,再用500mL蒸馏水于90℃重复提取30min,过滤,合并滤液。减压浓缩至150mL,用氯仿萃取3次,以除去蛋白质,过滤后,滤液加入95%乙醇,使乙醇含量达80%,静置过夜,多糖沉淀,过滤,滤饼依次用无水乙醇、丙酮、乙醚各洗涤一次,干燥,即得样品芦荟多糖粉末。
2.标准曲线的绘制
可分为标准溶液的配制、苯酚溶液的配制、标准曲线的绘制,具体详见有关资料。
3.换算因数的测定方法
准确称取芦荟多糖25mg,置于100mL容量瓶中,加少量水溶解并稀释至刻度,摇匀,作为储备液。准确吸取储备液100μL,参照标准曲线的制作步骤,测定吸光度值,从回归方程求出相当于葡萄糖的浓度,按下式计算换算因素:
f=m/(cD)
式中:m为多糖的质量,μg;c为多糖溶液中葡萄糖的浓度,μg·mL-1;D为多糖溶液的稀释因素;f一般为1.0~2.0。
4.样品溶液的制备
准确称取样品粉末0.3g,加80%乙醇100mL,90℃回流提取1h,趁热过滤,滤饼用80%热乙醇洗涤3次,每次10mL。滤饼连同滤纸置于烧瓶中,加蒸馏水100mL,加热至90℃提取2h,趁热过滤,滤饼用热水洗涤3次,每次10mL,洗涤液并入滤液,放冷后移入500mL容量瓶中,用蒸馏水定容后备用。
参考文献
[1]Liu Chunhui,Wang Changhai,Xu Zhiliang,et al.Isolation chemical characterization and antioxidant activities of two polysaccharides from the gel and the skin of Aloe barbadensis Miller irrigated with sea water[J].Process Biochemistry,2007,42(6):961-970.
[2]Liu C,Leung M Y K,Koon J C M,et al.Macrophage activation by polysaccharide biological response modifier isolated from Aloe vera L.var.chinensis(Haw.)Berg.[J].International Immunopharma-cology,2006,6(11):1634-1641.
[3]张志强,王旭彤.芦荟多糖的提取与含量测定[J].中国现代药物应用,2009,3(4):39-40.
[4]齐祥明,王静,侯冰.芦荟多糖提取工艺的优化[J].食品研究与开发,2009,30(4):16-18.
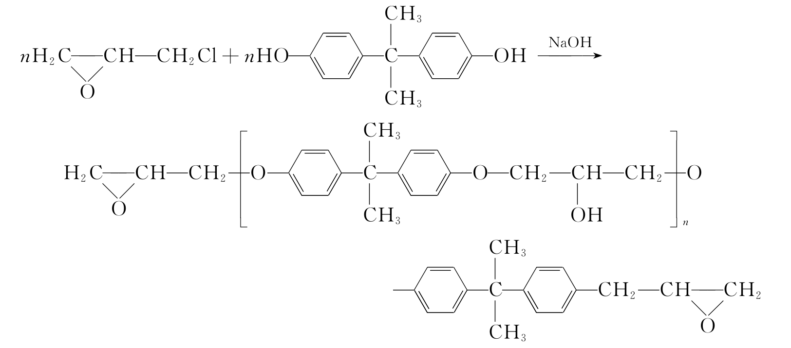
实验124 环氧树脂的制备及其水性改性的研究
实验目的
掌握环氧树脂的制备和环氧值的测定方法;了解环氧树脂的性能和使用方法;了解环氧树脂水性改性的原理;了解水性环氧树脂的制备和表征方法。
实验原理
环氧树脂是环氧氯丙烷和二羟基二苯基丙烷(双酚A)在氢氧化钠的催化作用下不断地进行开环、闭环得到的线型树脂。反应式如下:

上式中n一般在0~12之间,相对分子质量相当于340~3800,n=0时为淡黄色黏滞液体,n≥2时则为固体。n值的大小由原料配比(环氧氯丙烷和双酚A的物质的量之比)、温度条件、氢氧化钠的浓度和加料次序来控制。
环氧值是指每100g树脂中含环氧基的物质的量,它是环氧树脂质量的重要指标之一,也是计算固化剂用量的依据。相对分子质量增大,环氧值就相应降低,一般低相对分子质量环氧树脂的环氧值在0.48~0.57之间。
相对分子质量小于1500的环氧树脂,其环氧值测定采用盐酸-丙酮法,反应式为

环氧树脂黏结力强,耐腐蚀、耐溶剂、抗冲性能和电性能良好,广泛用于黏结剂、涂料、复合材料等。环氧树脂分子中的环氧端基和羟基都可以成为进一步交联的基团,胺类和酸酐是使其交联的固化剂。乙二胺、二亚乙基三胺等伯胺类含有活泼氢原子,可使环氧基直接开环,属于室温固化剂。酐类(如邻苯二甲酸酐和马来酸酐)作固化剂时,因其活性较低,须在较高的温度(150~160℃)下固化。
传统的环氧树脂涂料通常为溶剂型或无溶剂型。随着人们对环境保护的要求日益迫切和严格,开发水性环氧树脂,即不含VOC(挥发性有机化合物,volatile organic compound)或不含HAP(有害空气污染物,hazardous air pollutant)的系统成为新的研究方向,水性环氧涂料具有无空气污染、安全无毒、施工工具易于清洗等优点,可替代目前广泛使用的溶剂型涂料,具有很大的经济效益和社会效益。
水性环氧树脂,是指环氧树脂以微粒、液滴或胶体的形式,分散在以水为连续相的介质中,配制成的稳定的分散体系。由于环氧树脂本身不溶于水,不能直接加水进行乳化,因而要制得水性环氧树脂乳液,必须设法在其分子链中引入有亲水作用的分子链段或者加入亲水组分。根据制备方法的不同,环氧树脂水性化有以下三种方法:机械法、化学改性法和相反转法。
本实验中,环氧氯丙烷与双酚A的物质的量之比等于8,产物的相对分子质量为350~400,外观为黏稠液体。然后采用环氧树脂与适量二乙醇胺反应,再用与二乙醇胺等物质的量的冰醋酸中和成盐,得到的阳离子型改性环氧分子在水中具有良好的分散性。
实验内容提示
(1)环氧树脂的制备。
(2)用盐酸-丙酮法测定环氧值。
(3)黏结实验。
(4)环氧树脂的乳化。
(5)用离心机测定水性环氧树脂乳液的稳定性。
实验要求
(1)查阅文献,拟定实验方案,列岀详细步骤。
(2)通过本实验掌握环氧树脂的制备及环氧值的测定方法,了解环氧树脂改性原理及方法。
(3)根据实验方案选择仪器与试剂,完成实验,以小论文的形式写出实验报告。
实验指导
(1)以环氧氯丙烷和双酚A为原料,按文献条件合成环氧树脂。
(2)测定所得产品的环氧值,并计算其平均相对分子质量(要求产物相对分子质量在350~400范围)。
(3)黏结实验采用钢片,要注意固化剂(二乙烯三乙胺)的用量,以及固化温度、时间等。
(4)环氧树脂的乳化:通过环氧树脂、二乙醇胺、丙二醇在一定条件下反应,与氨基成盐得到阳离子型改性环氧树脂。
参考文献
[1]陈平,刘胜平.环氧树脂[M].北京:化学工业出版社,1999.
[2]孙曼灵.环氧树脂应用原理与技术[M].北京:机械工业出版社,2002.
[3]曹诺,罗方敏,肖卫东.水性环氧树脂的应用进展[J].黏接,2005,26(6):46-47.
[4]孟祥玲,高延敏.水性环氧树脂的研究进展[J].材料导报,2006,20:384-386.
[5]施雪珍,陈铤,顾国芳.水性环氧树脂乳液的研制[J].功能高分子学报,2002,15(3):306-309.
[6]王伯康.综合化学实验[M].南京:南京大学出版社,1999.
[7]舒武炳,刘朝阳,负伦刚,等.改性F-51/E-51环氧树脂水乳液研究[J].高分子材料科学与工程,2006,22(4):235-237.
[8]朱方,裘兆蓉,高国生.自乳化水性环氧树脂乳液的研制[J].高分子通报,2008,5:45-49.
实验125 天然药物大黄游离蒽醌的提取与鉴定
实验目的
了解天然药物的提取方法和大黄蒽醌的检测方法;掌握微波法在天然药物提取中的作用、原理、影响因素和具体操作;进一步巩固分光光度计在分析中的应用。
实验原理
微波是指频率在300~3000000MHz的高频电磁波。微波的频率与许多分子的振动频率相对应,物质和微波的相互作用与物质分子在微波电磁场作用下产生的瞬时极化有关。微波可以穿透玻璃、塑料、陶瓷等绝缘体制成的容器,当容器中所盛物质含有水、酸等极性分子时,微波将被这些极性分子所吸收,物质很快被加热,它是通过偶极子旋转和离子传导两种方式里、外同时加热的。微波加热导致细胞内的极性物质尤其是水分子吸收微波能,产生大量的热量,使细胞内温度迅速上升,液态水汽化产生的压力将细胞膜和细胞壁冲破,形成微小的孔洞;进一步加热,导致细胞内部和细胞壁水分减少,细胞收缩,表面出现裂纹。孔洞或裂纹的存在使胞外溶剂容易进入细胞内,溶解并释放初胞内产物。中药提取过程可以看作是有效成分在固、液两相的相间传质过程,涉及溶解和扩散两个阶段。近十几年来,国外不少学者将微波应用于天然产物的浸取,有效地提高了收率,取得了令人可喜的进展。大黄为常用中药,具有泻热通肠、凉血解毒、逐瘀通经的功效。实验及临床研究表明,对慢性肾功能衰竭有确切的疗效。大黄中主要有效成分为蒽醌类物质,目前已证实,对延缓慢性肾功能衰竭发展起作用的主要活性成分为游离蒽醌,如大黄素。对于大黄蒽醌类成分的提取工艺研究已有很多论述,如罗得顺等分别比较了水提取法、夹层蒸汽煎煮法及乙醇提取法对大黄蒽醌含量的影响;郭澄等运用正交试验法对大黄回流工艺做了优化等。近年来,微波技术开始应用于中药有效成分的提取,如Ganzler从棉籽中提取棉籽糖,从豆类中提取豆碱,郝守祝、沈岚等研究了微波技术对大黄游离蒽醌浸出量的影响。
本实验是将微波技术应用于中药大黄的游离蒽醌浸取,并与传统的常规煎煮法、乙醇回流法等进行比较,采用正交试验法考察微波输出率、药材微径、浸出时间三个因素对提取效率的影响。
实验内容提示
(1)大黄的预处理。
(2)采用正交试验提取蒽醌。
(3)大黄蒽醌含量测定。
实验要求
(1)查阅相关文献,确定提取条件,通过不同提取方法的试验比较其优缺点。
(2)通过查阅文献,了解纯化方法,产品含量测定除本实验提供的分光光度法外,能否找出另外的分析方法。
(3)本实验要求3~4人共同完成,每人设计一个提取方案,相互讨论并完成实验,最后讨论实验结果,写岀论文形式的实验报告。
实验指导
(1)采用微波浸取法,设计大黄粉粒径(目)、微波功率(W)、提取时间(min)三因素,按3因素3水平正交试验表进行实验,得到最佳提取条件,并与常规煎煮法和乙醇回流法进行比较。
(2)大黄蒽醌含量的测定,以1,8-二羟基蒽醌为标样,以乙醇镁-乙醇溶液为显色剂,用分光光度法在508nm处测定吸光度值,并作图求出大黄中蒽醌的含量。
参考文献
[1]陈玉昆.中药提取生产工艺学[M].沈阳:沈阳出版社,1992.
[2]郭澄,张纯.正交实验法优选大黄醇回流提取工艺[J].药学实践杂志,1996,14(1):31-32.
[3]郝守祝,张虹,刘丽,等.微波技术在大黄游离蒽醌浸提中的应用[J].中草药,2002,33(1):23-26.
[4]罗顺得,蔡鸿生,苏玮.几种提取方法对大黄蒽醌含量的影响[J].中药通报,1987,12(5):286-2388.
[5]沈岚,冯年平,韩朝阳,等.大黄微波萃取法与常用提取方法的比较研究[J].中成药,2003,25(8):614-616.
[6]曾昭钧,李香文.微波有机化学进展[J].沈阳药科大学学报,1999,10:304-309.
[7]Ganzler K,Salgo A.Microwave-extraction a new method superseding traditional Soxhler extraction[J].Zeitschrife fur Lebensmittel-Untersuchung Undforschung,1987,184(4):274-276.
实验126 钛酸盐纳米管的水热合成
实验目的
了解纳米的水热合成方法、表征和对过渡金属的离子交换作用;了解高压反应釜的使用。
实验原理
碳纳米管一经发现,就引起了化学、材料和物理学界的广泛关注。这主要是因为它独特的管状结构及独特的电学和力学性能。与此同时,人们开始新型的非碳纳米管的合成探索,从而合成出WS2、NbS2和BN等纳米管,以致形成富勒烯型纳米管的研究领域。近年来,人们又合成出过渡金属氧化物纳米管,如V2O5和TiO2。由于它们在催化、吸附、单电子晶体管、分子吸管等方面有着潜在的应用而受到科学界的普遍关注。
碱金属钛酸盐由带有负电荷的TiO6层(TiO6八面体通过共享边和棱形成的层型结构)和金属阳离子(夹在层与层之间平衡负电荷)构成。由于其碱金属含量不同而形成层型或笼型结构。例如:A2TinO2n+1,(A=Na、Li、K等),当n=3时,为层型结构,具有强的阳离子交换能力(又称钛三结构);当n=6时,具有隧道结构(又称钛六结构)。图7-1是Na2Ti3O7和Na2Ti6O13的结构。钛酸钠是n型半导体,曾被用作电极材料加工O3和CO2的电池型气敏传感器,它也作为一种阳离子交换材料用于废水处理和稀有金属的提纯。最近还有人报道Na2Ti6O13作为光催化剂能够分解4-氯代苯酚。由于纳米管独特的结构和物理化学性质,一直受到广大化学、物理和材料科学工作者的关注。纳米管合成方法多种多样,而水热法是常用的合成方法之一,为此,我们介绍水热法制备NanH2-nTi3O7(n≈0.75)纳米管的方法,同时考察它对过渡金属离子的交换性质。

图7-1 Na2Ti3O7和Na2Ti6O13的结构
实验内容提示
(1)钛酸盐纳米管的制备。
(2)钛酸盐纳米管的表征,包括电镜照片、比表面数据、孔径分布曲线和吸、脱附曲线。
(3)由XPS获得经离子交换后纳米管中的Co、Ni含量。
实验要求
(1)通过查阅相关文献,了解纳米管制备的最常见的几种实验方法,设计并完成本实验。
(2)了解钛酸盐纳米管的应用领域。
(3)通过查阅相关文献,讨论三钛酸钠、六钛酸钠及二氧化钛的结构。
(4)通过实验要得到不少于10g的产品,写岀小论文形式的实验报告。
实验指导
1.TiO2非晶纳米粉末的制备
在冰水浴中,将5mL TiCl4溶于100mL去离子水中形成溶液,然后滴加氨水至钛离子完全沉淀。用去离子水洗涤至pH值等于7,离心分离,并在70℃下烘干。
2.钛酸盐纳米管的制备
称取0.5g TiO2粉体置于40mL 10mol·L-1 NaOH溶液的高压釜中,在130 ~180℃的烘箱中保温,反应30~40h后取出,冷却并用蒸馏水将沉淀物洗至pH值为8,离心分离,并在70℃下烘干。
3.离子交换
将NiCl2·6H2O和CoCl2·6H2O配成溶液并把适量的纳米管放入其中,然后超声100min。
4.表征
用TEM观测样品的形貌;用比表面与孔径分布仪测量纳米管的孔径与吸、脱附曲线;用XRD进行物相鉴定;用IR确定表面基团与化学键,UV确定UV吸收;用TGA-DTA/DSC测定相变温度(25~900℃);用XPS确定经离子交换后纳米管中的钴、镍含量。
参考文献
[1]Rao C N R,Nath M.Inorganic nanotubes[J].Dalton Transaction,2003,1:1-24.
[2]Papp S,Kor9si L,Meynen V,et al.The influence of temperature on the structural behaviour of sodiumtri-and hexa-titanates and their protonated forms [J].J Solid State Chem,2005,178:1614-1619.
[3]Sun X M,Li Y D.Synthesis and characterization of ion-exchangeable titanate nanotubes[J].Chem Eur J,2003,9:2229-2238.
[4]Bavykin D V,Friedrich J M,Walsh F C,et al.Protonated titanates and TiO2nanostructured materials:synthesis,properties,and applications[J].Adv Mater,2006,18:2807-2824.
[5]Wu D,Liu J,Zhao X,et al.Sequence of events for the formation of titanate nanotubes,nanofibers,nanowires,and nanobelts[J].Chem Mater,2006,18:547-553.
实验127 天然高分子改性絮凝剂研究
实验目的
了解接枝共聚物的制备及接枝率的测定方法;进一步巩固分光光度计在分析中的应用。
实验原理
现代工业的发展,伴随着水污染的日益严重和纯净水消耗量的急剧增加,迫切需要发展新技术来处理废水和净化用水。高分子絮凝剂能促进胶体微粒及其他悬浮颗粒凝聚成无定形絮状物沉降下来,在水处理过程中起着不可替代的作用,已显示出巨大的经济效益。其中天然高分子是自然界中动、植物以及微生物资源中的大分子,它们在被废弃后很容易分解成水、二氧化碳等,且来源广、无毒性,是环境友好材料。此外,更值得一提的是,天然高分子材料是完全脱离石油资源的一类可再生资源,可以说是取之不尽、用之不竭。正是由于天然高分子材料具有上述的优异性能,其目前在生物、医药及食品加工等诸多领域中已有着广泛的应用。在水处理领域中,由于天然高分子分子链上分布着大量的游离羟基等活性基团,具有絮凝作用,已被视为无机絮凝剂的最佳替代材料之一。自20世纪70年代以来,日本、美国、英国、法国等国家在废水处理中都开始使用天然高分子絮凝剂。我国天然高分子资源极为丰富,但相对而言,这方面的研究还较少。
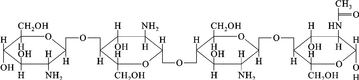
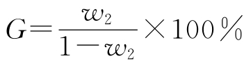
壳聚糖是一种天然高分子,是甲壳素的脱乙酰基产物,如图7-2所示,而甲壳素广泛存在于昆虫和甲壳类动物的甲壳中,在天然高分子中,甲壳素数量仅次于纤维素。另外,从壳聚糖的化学结构上看,糖环上含有氨基,溶于稀酸后,氨基易于被质子化,表现出阳离子聚电解质的特性,其性质既区别于一般的合成聚电解质高分子,又与其他普通多糖化合物不一样,从而具有许多独特的性质。此外,壳聚糖同时还兼具有无毒性及生物可降解等特点,目前壳聚糖在生物、医药、水处理及食品加工等领域有着广泛的应用。然而壳聚糖存在化学性质不活泼、溶解性差、相对分子质量小等缺点,直接应用受到限制,因此,通过化学改性的方法提高壳聚糖的使用性能已引起人们的广泛兴趣。目前人们对壳聚糖的改性,主要是利用壳聚糖中的氨基/羟基生成多功能基团,进行化学改性,其中接枝共聚无疑是一种较好的改性方法。本实验拟通过自由基引发接枝共聚反应对壳聚糖进行化学改性,制备壳聚糖-聚丙烯酰胺接枝共聚物,并采用动态光散射方法测定其在溶液中的流体力学半径及其分布,还提出了一种新方法———折光指数增量法测定接枝共聚物的接枝率,尝试从结构角度解释其絮凝效果,建立构效关系。

图7-2 壳聚糖分子式
接枝改性是一种经典的高分子材料化学改性方法,可精确测定接枝率,对产物结构组成的控制非常重要,而传统方法是根据称量法称量产物的增重来估算接枝率的,结果十分粗略。本实验拟通过测量共聚物溶液折光指数增量的方法准确测量其接枝率。
一般认为接枝链作为接枝共聚物高分子链的一个有机组成部分,它的种类和多寡将影响到溶液的某些性质。根据分子折光率和溶液折光指数增量的组成质量分数加和律,实验测量得到的共聚物溶液的折光指数增量可写为:

式中:w1为接枝共聚物主链组分所占的质量分数;w2为接枝共聚物接枝链组分所占的质量分数;
和
分别是接枝共聚物主链和接枝链均聚物的折光指数增量。对于二元组分而言,w1+w2=1,上式可改写为

根据上式,可估算接枝率G为

实验内容提示
(1)壳聚糖-聚丙烯酰胺接枝共聚物的制备。
(2)接枝率的测定。
(3)絮凝性能研究。
实验要求
(1)通过查阅相关文献,列岀详细实验方案。
(2)要求以小龙虾壳为基本原料制备本实验的原料壳聚糖,通过改性后的絮凝效果用图表示,并要求进行讨论。
(3)通过本实验了解高分子改性的原理和方法。
(4)完成实验内容并写岀小论文形式的实验报告。
实验指导
1.壳聚糖-聚丙烯酰胺接枝共聚物的制备
在装有电动搅拌器、球形冷凝管、Y形加料管、恒压滴液漏斗、氮气导气管、温度计的干燥洁净250mL四口烧瓶中加入称量的1g壳聚糖及100mL 1%醋酸溶液,开动搅拌,加热溶解,通入氮气排空氧气20min,加入0.3g引发剂硝酸铈铵,继续保持通入氮气5min。温度稳定在45℃,此时开始滴加丙烯酰胺水溶液,反应体系逐渐变稠,再反应3h左右,然后停止反应,降至室温。以丙酮为沉淀剂,沉淀得到接枝产物,产物用布氏漏斗抽滤,并用少量新鲜丙酮冲洗三次,尽量抽干,转入培养皿中,置于50℃真空烘箱中烘干至恒重为止,称量,计算产率。
2.接枝率的测定
(1)壳聚糖折光指数增量的测定。
将壳聚糖溶解在1%醋酸溶液中,配制成一系列不同浓度的均匀溶液,以1%醋酸溶液为参比,在折光指数增量仪上测定其不同浓度的折光指数,以折光指数对浓度作图,通过线性拟合,其拟合直线必须通过原点,其斜率即为壳聚糖的折光指数增量。
(2)聚丙烯酰胺及壳聚糖-聚丙烯酰胺接枝共聚物折光指数增量的测定。
方法与(1)相同。
(3)聚丙烯酰胺接枝共聚物接枝率的计算。
根据上述测得的壳聚糖、聚丙烯酰胺及壳聚糖-聚丙烯酰胺接枝共聚物的折光指数增量,计算接枝率。
3.絮凝性能的研究
以0.7g·L-1高岭土悬浊液为模拟水样,配制不同浓度的壳聚糖-聚丙烯酰胺接枝共聚物水溶液,分别加入上述模拟水样中,通过分光光度计检测不同浓度接枝共聚物的絮凝效果。具体絮凝步骤为:将一定量一定浓度的壳聚糖-聚丙烯酰胺接枝共聚物溶液加入高岭土悬浊液中,快速搅拌5min,再慢速搅拌5min;然后计时,分别在0min、5min、10min、20min、30min、60min时,取高岭土悬浊液上层液,以纯水为参比,在550nm波长条件下,通过分光光度计检测其透光率来评价其絮凝效果。
参考文献
[1]Laue C,Hunkeler D.Chitosan-graft-Acrylamide Polyelectrolytes:Synthesis,Flocculation,and Modeling[J].J Appl Polym Sci,2006,102:885-896.
[2]Teraoka I.Polymer Solution[M].New York:John Wiley &Sons.Inc.,2001.
[3]吴奇,高均.海外高分子科学的新进展[M].北京:化学工业出版社,1997.
[4]Yang H,Cheng R S,Xie H F,et al.The role of solvation on the conformational change during repeated freezing-thawing treatment to an extremely dilute aqueous solution of poly(vinyl alcohol)[J].Polymer,2005,46(18):7557-7562.
[5]卢耀柏,袁博,吕东,等.壳聚糖-聚丙烯酰胺接枝共聚物接枝率的测定[J].化学学报,2009,67(8):879-882.
实验128 聚丙烯酰胺衍生物的合成与表征
实验目的
掌握聚丙烯酰胺衍生物的制备方法,主要掌握自由基共聚合反应的原理及方法;掌握聚合物分析表征的常用方法;了解聚合反应实施的方法。
实验原理
聚丙烯酰胺(PAM)是一种线型水溶性高分子,其衍生物是利用丙烯酰胺与其他功能性乙烯基单体的共聚或利用聚丙烯酰胺中酰胺基的后继反应制得的。常见的共聚单体有丙烯酸、甲基丙烯酸、顺丁烯二酸酐、苯乙烯磺酸、乙烯磺酸、丙烯磺酸、2-聚丙烯酰氨基-2-甲基丙磺酸、甲基丙烯酸二甲氨基乙基酯、丙烯酸二甲氨基乙基酯以及它们的季铵盐和二烯丙基二甲基氯化铵等,它们和丙烯酰胺共聚可制备二元或多元共聚物。聚丙烯酰胺衍生物广泛用于水处理、造纸、石油、煤炭、矿冶、地质、轻纺、建筑等工业。
1.共聚物的制备
自由基聚合反应一般由链引发、链增长、链终止三类基元反应组成,此外,还伴有不同程度的链转移反应。自由基聚合反应常用的引发剂(I)有无机过氧类引发剂[K2S2O8、(NH4)2S2O8等]、有机过氧类引发剂[过氧化二苯甲酰(BPO)]、偶氮类引发剂[偶氮二异丁腈(AIBN)、偶氮二异庚腈(ABVN)]、氧化还原引发体系[H2O2-Fe2+、(NH4)2S2O8-NaHSO3]等。聚丙烯酰胺衍生物聚合采用的主要方法有均相水溶液聚合和分散相聚合(反相乳液聚合法及悬浮聚合法等)。

2.改性聚合物的制备
(1)水解阴离子产品的制备。聚丙烯酰胺在碱(Na2CO3、NaOH)的作用下,酰氨基水解形成羧基,得到含有阴离子(—COO-)的部分水解聚丙烯酰胺(HPAM)。该反应可在丙烯酰胺聚合的同时进行,也可在聚合以后进行。制备低水解度的阴离子聚丙烯酰胺常用此种方法。

(2)磺甲基聚丙烯酰胺的制备。PAM与NaHSO3、甲醛在碱性条件下反应可生成阴离子衍生物———磺甲基聚丙烯酰胺(SPAM)。

(3)氨甲基聚丙烯酰胺的制备。PAM和甲醛、二甲胺反应(Mannich反应)生成N-二甲氨基甲基丙烯酰胺聚合物(APAM),再与硫酸二甲酯反应生成阳离子聚丙烯酰胺。

(4)聚乙烯亚胺的制备。PAM和次氯酸钠在碱性条件下反应(Hofmann降解反应)制得阳离子聚乙烯亚胺。此反应开始时NaOH和NaClO需过量,最后需用HCl中和至pH=8。

实验内容提示
(1)乙烯基单体精制,除去阻聚剂。
(2)丙烯酰胺单体和引发剂的提纯。
(3)丙烯酰胺与不同类型乙烯基单体进行自由基共聚合,制备目标化合物。或丙烯酰胺均聚制备PAM,再对PAM进行改性制备目标化合物。
(4)产品分析表征。
①测定单体转化率。
②黏度法测定聚丙烯酰胺衍生物的黏均相对分子质量。
③红外光谱(FT-IR)鉴定聚丙烯酰胺衍生物的结构特征。
④热重分析/差热分析(TGA/DTA)表征聚丙烯酰胺衍生物的热稳定性。
⑤光学显微镜或扫描电镜(SEM)观测聚丙烯酰胺衍生物的结晶形态。
实验要求
(1)查阅相关文献,选择一种聚丙烯酰胺衍生物(二元或多元),拟订实验方案,并写出详细实验步骤。
(2)选择所需要的实验仪器与试剂。
(3)根据拟订方案进行实验,实验过程中若发现问题,应及时和指导教师讨论,并对实验方案进行修正,直到实验成功。
(4)最后以小论文的形式写出实验报告。
实验指导
(1)聚合体系除氧。氧气是自由基聚合反应的阻聚剂,因此对聚合体系来说除氧处理是必需的。一般是将氮气导管插入液体反应物底部边搅拌边鼓泡,引发剂加入前,体系要先通氮气15~30min,反应过程需用氮气保护。
(2)单体的纯化与储存。在聚合反应中单体的纯度对聚合反应影响巨大,单体的提纯方法要根据单体的类型、可能存在的杂质及将要进行的聚合反应类型来综合考虑。常用单体的提纯方法主要有分馏、萃取蒸馏、减压蒸馏、重结晶、升华及柱色谱分离等,如丙烯酰胺可用丙酮、苯、甲醇等溶剂重结晶提纯。乙烯基单体在光或热的作用下易发生聚合反应,提纯后的单体可在避光及低温条件下短时间储存,实验室中通常将提纯后的单体在氮气保护下封管避光低温储存。
(3)引发剂的提纯。为使聚合反应顺利进行以获得真实可靠的聚合反应实验数据,引发剂的提纯处理是非常必要的。如过硫酸钾(KPS)、过硫酸铵(APS)可用蒸馏水重结晶纯化,50℃真空干燥;偶氮二异丁腈(AIBN)可用丙酮、三氯甲烷或甲醇重结晶,室温真空干燥;过氧化二苯甲酰(BPO)可在室温下用三氯甲烷和甲醇(或石油醚)重结晶,也可用丙酮和蒸馏水重结晶。
(4)聚丙烯酰胺衍生物制备过程中应注意单体配比、引发剂体系、介质pH值、聚合温度等对聚合反应的影响。
(5)聚丙烯酰胺衍生物经分离、提纯、干燥后,用乌氏黏度计测定衍生物稀溶液的特性黏度[η],根据Mark-Houwink方程[η]=KMα,计算聚丙烯酰胺衍生物的黏均相对分子质量,K和α值可由相应文献查阅。
(6)聚丙烯酰胺衍生物的结构可由红外光谱进行表征,分析对比单体、均聚物及共聚衍生物红外光谱中主要基团的特征吸收峰的位置及峰的位移,定性、定量分析共聚物的组成和序列分布。
(7)聚丙烯酰胺衍生物的结晶形态可用光学显微镜或扫描电镜(SEM)观测,其热稳定性和热分解则由热重分析/差热分析(TGA/DTA)测得。
参考文献
[1]Andersson T,Holappa S,Aseyev V,et al.Complexation of linear and poly (ethylene oxide)-grafted poly(methacryl oxyethyl trimethylammonium chloride)with poly(ethylene oxide-block-sodium methacry-late)[J].Journal of Polymer Science Part A:Polymer Chemistry,2003,41(13):1904-1914.
[2]Tripathy T,Pandey S R,Karmakar N C,et al.Novel flocculating agent based on sodium alginate and acrylamide[J].European Polymer Journal,1999,35:2057-2072.
[3]陈锐,张洁辉,郑邦乾,等.多孔聚丙烯酰胺共聚物的制备[J].四川大学学报(工程科学版),2000,32(2):63-66.
[4]郑宝庆,钱锦文.星形阳离子型聚丙烯酰胺共聚物的制备、表征及絮凝应用[J].浙江大学学报(理学版),2007,34(4):443-447.
实验129 氧化电解水的制备和杀菌效果试验
实验目的
掌握热分解法制备钛阳极(dimensionally stable anode,DSA)电极的过程,熟悉电极性能分析方法和表征,掌握氧化电解水(EOW)的制备过程,了解其杀菌作用与效果。
实验原理
DSA电极是在钛基体上涂敷一定量电化学活性氧化物制备得到的。涂层热解法的制备原理是将涂敷在钛基体上金属盐的醇溶液高温下在空气氛或者氧气氛中煅烧、氧化,反复多次后便在基体表面生成所需的氧化物膜。
氧化电解水的制备是在三槽离子膜式电解槽中进行的,由阳离子交换膜、阴离子交换膜将整个容器隔成中间区、阳极区和阴极区。中间区加稀NaCl溶液,阳极区和阴极区加入纯净水。在直流电场作用下,其阴、阳极电极反应如下:

从以上的反应可以看出,阳极反应区的溶液呈酸性,且含大量活性成分,氧化还原电位也较高,即为氧化电解水。

图7-3 三槽离子膜式电解槽
关于酸性氧化电解水杀菌机理的研究还很不够,存在一些争议。其中主要存在两种学说,一种是物理学说,一种是化学学说。
一般说来,细菌生长比较适合的pH值是4~9,好氧菌生长适合的ORP(氧化还原电位)值为+200~800mV,厌氧菌适合的ORP值为-700~+200mV。而酸性氧化电解水的高ORP值、低pH值超出了微生物的生存范围,从而使细菌不宜生长,起到杀菌作用,这种作用称为物理杀菌。Park等研究结果证明,在有效氯含量足够大的情况下(>2mg·L-1),EOW在pH值介于2.6~7.0之间对E.coli O157∶H7,L.monocytogenes杀菌效果相同。另外,pH值为2.6的盐酸比EOW杀菌能力要弱得多,而酸性使物质变性灭活需要较长的时间。用与EOW相同pH值的盐酸溶液对HBsAg作用60s仍不能将其抗原性破坏,说明EOW起主要作用的也不是它的酸性特性。Liao,Osafune认为在微生物细胞中,EOW的高ORP值会破坏细胞内、外壁,氧化作用会使细胞迅速失去电子,干扰膜平衡,使微生物的细胞膜电位发生改变,导致细胞通透性增强、细菌肿胀及细胞代谢酶的破坏,胞内物质溢出、溶解,从而达到杀灭微生物的作用。Kim通过实验证明,分别将含10mg·L-1、56mg·L-1有效氯的EOW与用化学方法模拟EOW的溶液做了杀灭E.coli O157∶H7的比较试验,结果证实ORP是使微生物失活的主要因素。另外有研究表明,常用含氯消毒剂溶液的氧化电位只有600mV左右,其杀菌速度慢,达到相同杀菌效果所需有效氯浓度比氧化电解水高出数倍。但Koseki认为ORP不是杀菌的主要因素,因为高ORP值的臭氧水与低ORP值的EOW相比,没有表现出高的杀菌效果。所以,他们认为杀菌作用主要源于高HOCl产生的羟基自由基(·OH)。
化学学说认为氧化电解水杀菌最主要的因素是其复杂的化学因子,包括:有效氯和活性氧。有效氯主要包括电解直接生成的HClO、Cl2、ClO2、ClO-等。近年有学者研究发现,36Cl能进入微生物体内与RNA和DNA结合,使其失去正常的生化活性,致使微生物死亡。Kiura H等研究发现,在EOW的作用下细菌细胞膜会出现气泡、增大并最终导致细胞膜破裂;在相同的pH值和ORP值下,气泡数量会随有效氯含量的提高而增加,说明其杀菌效果与有效氯含量提高有关。有实验表明,氧化电解水中有效氯浓度与细菌杀灭率呈高度正相关(r=0.95)。在有效氯的多种成分中,Len认为分子态HOCl是杀菌作用的主要影响因素。而HClO对细胞的氯化作用有下面几种假设:①干扰蛋白质的合成;②使氨基酸氧化脱羰,变成亚硝酸盐和乙醛;③与核酸、嘌呤和吡啶反应;④对重要酶的损坏而使细胞新陈代谢紊乱;⑤破坏DNA;⑥阻止氧气运输和磷酸氧化,同时伴随着大分子的泄漏;⑦形成有毒的吡啶的衍生物;⑧损坏染色体。活性氧主要是指电解中产生的初生态原子氧[O]、羟基自由基· OH、过氧化氢H2O2和臭氧O3等活性氧成分,这些活性物质具有较强的氧化性。它们能跟氨基发生特异反应,破坏细胞膜并渗透到细胞内破坏有机物的链状结构,从而使蛋白质及DNA合成受阻,使微生物致死。但氧化电解水在电解时产生的活性氧是不稳定的物质,随着时间延长,活性氧含量将迅速下降甚至完全消失。有实验检测保存了三个月的氧化电解水仍有杀菌作用,且常用的含活性氧的消毒剂如过氧化氢等的杀菌力也不及氧化电解水。
实验内容提示
(1)利用热分解法制备钛基二氧化铱电极、钛基二氧化钌电极。
(2)对所制得的DSA电极进行表征分析和电化学性能分析。
(3)如图7-3所示,自制三槽离子膜式电解槽。
(4)制备氧化电解水,并对其理化性能进行检测。
(5)利用所制得的氧化电解水对大肠杆菌进行杀菌实验,检测杀菌效果。
实验要求
(1)查阅相关文献,拟岀详细实验方案,准备实验所需仪器试剂。
(2)了解电极制备方法,通过文献了解除本实验所制备电极外,提岀至少两个电极的制备方法。
(3)了解氧化电位水的应用。
(4)完成实验,写岀小论文。
实验指导
1.热分解法制备钛基二氧化铱电极、钛基二氧化钌电极
纯钛板基体表面经粗、细砂子打磨和水洗处理后,首先在超声波作用下用10%碳酸钠溶液碱洗10min,除油,然后用去离子水水洗;再用丙酮溶液清洗10min,然后用去离子水水洗;再用10%草酸在96℃下活化3h,最后用去离子水冲洗、晾干,保存在无水乙醇中,待用。此基体处理的目的是为了使涂层较好地附着在基体上,并提高其电催化性能和使用寿命。
分别将贵金属盐(RuCl3和HIrCl6)溶于1∶1的乙醇和异丙醇的溶液中,使金属离子的总浓度为0.2mol·L-1。用羊毛刷在金属钛基体上分别涂覆贵金属盐涂液,先放入烘箱中,于100℃下烘干10min;再放入马弗炉在一定温度下烧结10min;然后取出,空冷10min。反复涂覆、烘干、焙烧共十次,其中前三次焙烧温度为300℃,后七次焙烧温度为500℃,最后一次退火1h后,在马弗炉中自然冷却取出。
2.DSA电极的表征分析和电化学性能分析
利用扫描电子显微镜、扫描隧道显微镜、透射电子显微镜可观察活性涂层氧化物表面形貌,如组分晶粒大小、涂层裂缝情况、涂层厚度等。
利用X射线衍射仪可以分析涂层物质的物相成分,如二氧化钌、二氧化铱、锐钛矿型二氧化钛、金红石型二氧化钛等。
利用光电子能谱分析可以反映固体材料表面以内1~10个原子层和在它上面的其他原子、分子、离子所形成的吸附层的信息。另外,可以检测电极过程产物,对材料表面状态进行分析,分析涂层组成和元素价态。
利用Roman散射光谱可以对涂层结晶状况进行分析。利用X射线荧光分析可测定涂层中各氧化物的附着量。利用热重和差热分析可以分析氧化物的热分解形成过程。
利用电化学工作站测量氧化物电极的析氧、析氯极化曲线,循环伏安曲线,电化学阻抗测试和双电层电容,从而分析氧化物涂层电极的析氯和析氧性能、电催化活性和涂层真实表面积。
3.自制三槽离子膜式电解槽
利用有机玻璃,如图7-3所示,制作简单的离子膜式电解槽。
4.氧化电解水的制备
在自制的三槽离子膜式电解槽中,阳极是自制铱氧化物电极(有效面积1cm2),阴极为纯钛板。中间用均相阴、阳离子交换膜将电解槽分成了中间区、阳极区和阴极区,体积分别为10mL、50mL、50mL。电解过程中,添加浓度为0.1%~0.5%的NaCl溶液作为电解质,电流密度为1~5A·dm-2,电极间距为2cm,电解一定时间后,在阳极区得到氧化电解水。
分别测量氧化电解水的pH值、ORP值和总氧化物含量值。总氧化物含量值可以采用碘量法和分光光度法测定。pH值和ORP值利用酸度计和氧化还原电位计测定。HClO、ClO—、ClO、臭氧的含量用分光光度法测定。有效氯、ClO—、ClO—
223的含量用碘量法滴定。溶解氧值利用溶解氧测定仪测定。
5.氧化电解水的杀菌实验
按照卫生部2002年版《消毒技术规范》配制大肠杆菌(8099)悬液。中和剂采用0.5%Na2S2O3的0.03mol·L-1磷酸缓冲液。取上述菌悬液0.1mL,加入电解水0.9mL,进行杀菌,设定作用时间后,取0.5mL该菌药混合液加入4.5mL中和剂中,作用10min,然后取0.5mL接种培养,采用平板计数法分别测定对照组和杀菌组样品的活菌浓度,所有活菌浓度数据以3次平行测定(P<0.05)的平均值为准。
参考文献
[1]Huang Y R,Hung Y C,Hsu S Y,et al.Application of electrolyzed water in the food industry[J].Food Control,2008,19:329-345.
[2]任占冬,朱玉婵,张智勇,等.氧化电位水的稳定性和杀菌机理[J].化工学报,2008,6:1515-1521.
[3]Liu C,Duan J,Su Y C.Effects of electrolyzed oxidizing water on reducing Listeria monocytogenes contamination on seafood processing surfaces[J].International Journal of Food Microbiology,2006,106:248-253.
[4]Liu C,Su Y C.Efficiency of electrolyzed oxidizing water on reducing Listeria monocytogenes contamination on seafood processing gloves[J].International Journal of Food Microbiology,2006,110:149-154.
[5]Liao L B,Chen W M,Xiao X M.The generation and inactivation mechanism of oxidation–reduction potential of electrolyzed oxidizing water[J].Journal of Food Engineering,2007,78:1326-1332.
[6]Tetsuaki O,Tomoko E,Takashi I.Electron Microscopic Studies on Bactericidal Effects of Electrolyzed Acidic Water on Bacteria Derived from Kendo Protective Equipment[J].Environmental Health and Preventive Medicine,2006,11:206-214.
实验130 电催化氧化处理废水
实验目的
掌握电沉积法制备含氟二氧化铅电极、铂电极的过程,熟悉电极性能分析方法和表征,掌握电催化氧化过程。
实验原理
电化学处理废水可分为直接电解和间接电解两大类。直接电解是指污染物在电极上直接被氧化或还原而从废水中去除,其可以分为阴极过程和阳极过程。间接电解是指利用电化学产生的氧化还原物质作为反应剂或催化剂,使污染物氧化降解。产生的氧化物种,既可以是氧化媒质催化剂,也可以是短寿命的中间物。活性物质的产生与电极材料、电极表面电荷、电解质溶液的组成和浓度有密切的关系。间接电氧化常用的强氧化性物质有活性氯、·OH、O2、H2O2等短寿命中间物种。
实验内容提示
(1)利用电沉积法制备钛基二氧化铅电极。
(2)利用电沉积法制备钛基镀铂电极。
(3)对电极进行表征分析和电化学性能分析。
(4)考察不同电极对苯酚的降解效果。
(5)考察不同降解工艺条件,考察苯酚降解动力学。
实验要求
(1)通过查阅相关文献,掌握电催化氧化原理、方法及应用。列岀详细实验方案。
(2)通过完成本实验,掌握电极制备原理、方法及表征,设计新的电极进行本实验。
(3)通过本实验制备的电极,设计对其他有机物的降解实验。
(4)完成实验内容,写出小论文。要求对降解机理进行讨论。
实验指导
1.电沉积法制备钛基铂电极
纯钛板基体表面经粗、细砂子打磨和水洗处理后,首先在超声波作用下用10%碳酸钠溶液碱洗10min,除油,然后用去离子水水洗;再用丙酮溶液清洗10min,然后用去离子水水洗;再用10%草酸在96℃下活化3h,最后用去离子水冲洗、晾干,保存在无水乙醇中,待用。此基体处理的作用是为了使涂层较好地附着在基体上,并提高其电催化性能和使用寿命。
称取二亚硝基二氨铂0.08g,氨基磺酸0.5g,氨水0.2mL和电镀添加剂A,用去离子水定容到5mL,阳极采用Pt电极,阴极采用已处理的基体,电极面积为1 cm2。设定电流为10mA,电极间距为1cm,电镀一定时间后关闭电源,称重,得到Pt电极。
2.电沉积法制备钛基二氧化铅电极
将金属钛板分别用细砂纸、金相砂纸打磨光滑至镜面,首先于丙酮中超声清洗20min,然后于40%的氢氧化钠溶液中超声清洗20min,取出用去离子水洗净,之后在60℃的硫酸溶液中反应20min,取出,用去离子水洗净,最后于煮沸的15%的草酸溶液中反应3h,使钛板呈均匀的麻面,取出,用去离子水洗净,保存于无水乙醇中备用(以上均为质量分数,溶液均为水溶液)。分别称取3.5g SnCl4·5H2O、0.146g Sb2O3溶于20mL无水乙醇中并向其中滴加0.4mL 37%的浓盐酸。在20mA· cm-2电流密度下,用上述方法预处理的钛板作阴极,Ti/RuO2电极作阳极电解30 min,使钛板表面沉积一层金属锡后取出,在400℃的马弗炉中烧2h,自然冷却后取出洗净、晾干。分别称取15g SnCl4·5H2O、0.4g Sb2O3溶于25mL正丁醇中,并向其中滴加1.25mL37%浓盐酸,将上述基体在该溶液中浸渍后,在130℃的烘箱中烘10min左右,使溶剂完全挥发,将上述浸渍、烘干步骤反复5次后于450℃的马弗炉中煅烧20min。将上述步骤重复三遍,最后一次煅烧延迟至1h,自然冷却后取出洗净,即制得了SnO2-Sb2O3基体。
采用阳极电沉积法制备β-PbO2电极,如图7-4所示。在25mA·cm-2的电流密度、70℃的镀液温度下,分别以上述基体为阳极、同样大小面积的钛板为阴极,保持电极间距2cm电沉积β-PbO2活性层,电沉积时间为2h,镀液取50mL。

图7-4 电沉积法制备β-PbO2电极装置示意
1—恒流直流电源;2—金属钛板;3—镀槽;4—恒温水浴锅;5—预处理基体
3.电极的表征分析和电化学性能分析
利用扫描电子显微镜、扫描隧道显微镜、透射电子显微镜可观察活性涂层表面形貌,如组分晶粒大小,涂层裂缝情况,涂层厚度等。
利用X射线衍射仪可以分析涂层物质的物相成分,如二氧化铅、锐钛矿型二氧化钛,金红石型二氧化钛等。
利用光电子能谱分析可以反映固体材料表面以内1~10个原子层和在它上面的其他原子、分子、离子所形成的吸附层的信息。另外,可以检测电极过程产物,对材料表面状态进行分析,分析涂层组成和元素价态。
利用电化学工作站测量电极的析氧极化曲线,分析涂层电极的析氧性能。
4.不同电极对苯酚的降解效果
以钛板为阴极,所制备的二氧化铅和铂电极为阳极,常温下对10mg·L-1苯酚模拟废水(取100mL)进行降解,降解时间为150min,每隔一段时间测溶液中苯酚含量。另外,以5g·L-1硫酸钠为支持电解质,电极间距为2cm,控制溶液浸没电极的面积为1cm2,电流密度为30mA·cm-2,磁力搅拌。用4-氨基安替比林法测定苯酚的吸光度,具体步骤如下:电解过程中每隔30min取样1mL,用蒸馏水稀释至5 mL,加入0.1mL氯化铵-氢氧化铵缓冲液(pH≈10.7),彻底混匀后再加入0.1mL 2%4-氨基安替比林溶液,彻底混匀,加入0.1mL 8%铁氰化钾溶液,再次彻底混匀,静置10min显色,立即用720型可见分光光度计在510nm波长处,用光程10mm的玻璃比色皿,以试剂空白(蒸馏水)为参比测定其吸光度。通过吸光度计算其降解率,比较其降解效果。计算公式如下:

式中:η是降解时间为t时苯酚的降解率;A0是初始苯酚溶液在510nm吸光波长处的吸光度;At表示降解t时间后溶液的吸光度。
5.降解工艺条件和苯酚降解动力学
考察降解时间、支持电解质浓度与种类、电流密度和苯酚初始浓度对降解效果的影响,从而进一步考察苯酚降解动力学。
另外,可以利用紫外光谱分析不同降解时间下和不同电极材料下,降解产物的种类和含量的变化,从而分析苯酚的降解过程。
还可以考察电极的制备条件对苯酚降解的效果,如二氧化铅电极中氟含量,采用钛纳米管列阵作为基体等。
参考文献
[1]Velichenko A B,Amadelli R,Gruzdeva E V,et al.Electrodeposition of lead dioxide from methanesulfonate solutions[J].J Power Sources,2009,191(1):103-110.
[2]Pletcher D,Zhou H,Kear G,et al.A lead acid battery based on an electrolyte with soluble lead(Ⅱ)Ⅳ[J].Power Sources,2005,149:163.
[3]温青,张宝宏,殷金玲,等.掺杂PbO2/Ti电极的制备及电催化性能分析[J].大庆石油学院学报,2006,30(3):69-71.
[4]王鸿辉,杨卫华,黄龙,等.Ti/α-PbO2/β-PbO2电极电催化氧化处理苯酚废水[J].华侨大学学报,2008,29(2):263-265.
[5]王雅琼,顾彬,许文林,等.钛基PbO2电极上苯酚的电化学氧化[J].稀有金属材料与工程,2007,36(5):874-876.
[6]陈步明,郭忠诚,杨显万,等.电沉积掺杂二氧化铅表面的研究进展[J].中国有色金属学报,2008,18(9):1711-1715.