1
大学化学实验(下)
1.3.2.1 实验114 磺基水杨酸合铁(Ⅲ)配合物的组成及稳定常数的测定

实验114 磺基水杨酸合铁(Ⅲ)配合物的组成及稳定常数的测定

实验目的

了解分光光度法测定溶液中配合物稳定常数的原理;练习分光光度计和酸度计的使用。

实验原理

在溶液中,如果重金属离子M和配体L形成配合物,则其反应如下:

img540

反应达平衡时,配合物的稳定常数K和配合平衡时的离子浓度关系为

img541

式中:n为配位数。形成配合物时,溶液的颜色往往有明显的变化,这种变化使得用分光光度法测定配合物的组成和稳定常数非常方便。根据朗伯-比耳定律(A=εcl),溶液中有色物质对光的吸收程度(吸光度A)与液层的厚度(l)和有色物质的浓度(c)成正比。当液层厚度不变时,吸光度便只与有色物质的浓度成正比。

用此法测定配合物的组成和稳定常数,要求在一定条件下它们只生成一种配合物。同时M和L在溶液中最好本身无色,这样可直接选择被测配离子MLn在溶液中具有的最大吸收波长λmax下进行测定;如果M、L有色,必须选定在它们无吸收的波长下进行测定。

如Fe3+与磺基水杨酸(简式为H3L)可以形成稳定的配合物,因溶液的pH值不同,形成配合物的组成也不同。在pH<2.5时形成红褐色配合物。

分光光度法测定可以在等物质的量系列的条件下进行,即由M溶液和L溶液配成一系列溶液,其中M和L总的物质的量不变,但两者的摩尔分数连续变化。在λmax下测定它们的吸光度,并作出吸光度-组成图(见图6-39),当M浓度较低,L浓度较高,或M浓度较高,L浓度较低时,吸光度A与配合物浓度几乎成直线关系,当M和L浓度之比接近配合物组成时,吸光度A与配合物浓度之间的关系出现了近于平坦的状态。由最高点对应的cL和cM的比例可以确定配位数n。

img542

图6-39 吸光度-组成图

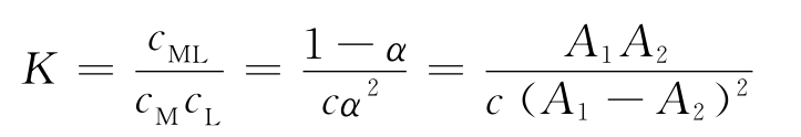
图6-39中E点为曲线两侧直线部分的延长线交点,它相当于假定配合物在溶液中完全不电离时的吸光度的极大值(A1),B点为实验测得的吸光度的极大值(A2)。显然配合物的电离度越大,A1与A2的差值就越大,所以对于配位平衡:

img543

其电离度α为

img544

其表观稳定常数K为

img545

式中:c为与E点相对应的溶液中M离子的总浓度,由上式可求K。

实验用品

仪器 分光光度计;吸量管;容量瓶等。

试剂 H2SO4(pH=2.1);磺基水杨酸(分析纯);NH4Fe(SO42(分析纯)等。

实验步骤

(1)以pH=2.1的H2SO4溶液作溶剂,分别配制0.0050mol·L-1的NH4Fe(SO42 和0.0050mol·L-1的磺基水杨酸溶液各100mL。

(2)用两支10mL吸量管按表6-20列出的体积,分别吸取0.0050mol·L-1 NH4Fe(SO42和0.0050mol·L-1的磺基水杨酸溶液,一一注入11支50mL容量瓶中,然后加入pH=2.1的H2SO4溶液,稀释至50mL,摇匀备用。

表6-20 不同溶液的试剂用量及对应的吸光度值

img546

(3)选6号溶液,测不同波长下的吸光度,作A-λ曲线,在曲线上找出最大吸收波长λmax

(4)在λmax下用分光光度计分别测样品的吸光度。

实验结果与数据处理

(1)作A-λ曲线,确定λmax

(2)以吸光度A为纵坐标,磺基水杨酸(配体)摩尔分数为横坐标,作A-cL/(cM +cL)图,求出该配合物的组成n及表观稳定常数。

思考题

(1)如果溶液中同时有几种不同组成的有色配合物存在,能否用本实验方法测定它们的稳定常数?为什么?

(2)为什么要控制溶液的pH值?本实验测定的每份溶液的pH值是否需要一致?如不一致,对结果有何影响?

(3)如果在λmax下,金属离子和配位体系的吸光度不为零,如何作数据校正处理?