“贝克莱悖论”与第二次数学危机
第二次数学危机发生在微积分建立的开始阶段。
我们知道,微积分的产生主要是由于实际的需要。归纳这些问题大致可以分为四类:
第一类是当物体移动的距离表示为时间的函数后,如何求出物体运动的瞬时速度和加速度;第二类是求曲线的切线;第三类是求函数的最大、最小值,这主要是出自计算炮弹的射程在什么样的发射角之下有最大值;第四类问题是求曲线的长(例如行星的移动距离)、曲线围成的面积、曲面所围成的体积等等。
对于上面这些实际问题的解决,促使微积分的产生。牛顿(1642—1727年)和莱布尼兹(1646—1716年)被公认为微积分的奠基者。微积分理论主要是建立在无穷小分析之上的,而无穷小分析的主要特点是“无穷小量”的自由应用。例如,早在15世纪就有人用无穷小分析的方法求出了圆的面积公式:

图6-4
首先,利用无穷分割得出了无穷小三角形OAB(其中AB是无穷小量)如图6-4。其次,由于AB是无穷小量,因此无穷小三角形OAB即被看成是一个直边三角形,同时也被看成是曲边三角形。当把它看成是直边三角形时,它的面积等于
LR,其中L是AB的长,R是圆的半径;又由于它是曲边三角形的,因此无穷多个曲边三角形合起来就是圆。从而圆的面积为S=
LR=
L=πR2。这样,我们就通过无穷小分析求得了圆的面积。
再如,在求非匀速运动物体速度时,利用无穷小分析的方法如下:
①截取一个时间间隔△t,设在△t时间间隔内物体通过的距离为△S;
②求出
,显然,这就是物体在这一时间间隔内的平均速度;
③令△t=0,即可求出瞬时速度。
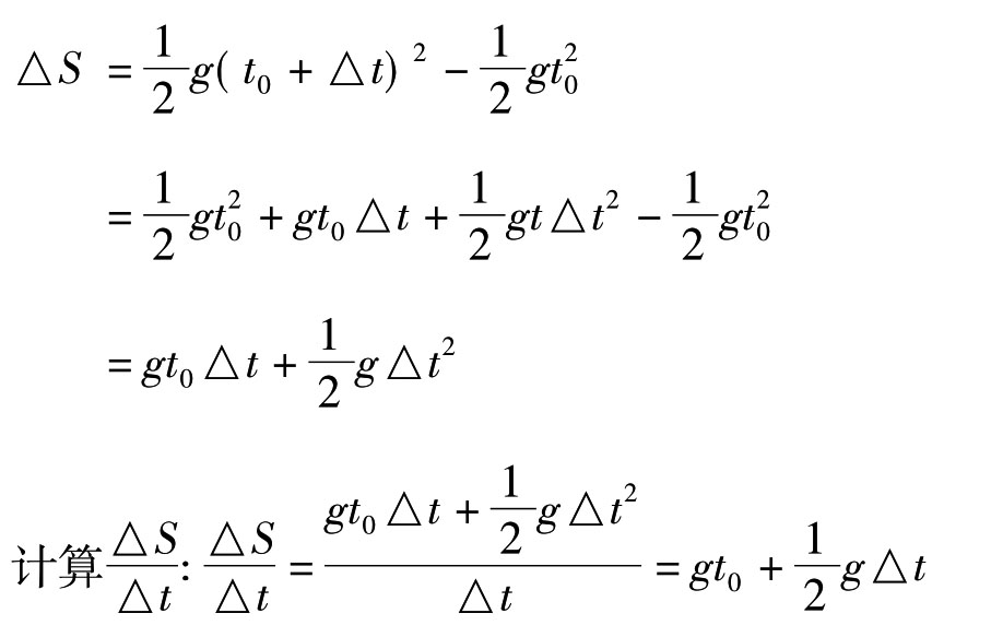
具体来说,对于自由落体运动,其下落距离S与时间t的关系为:S=
gt2,欲求t0时刻的速度υ0。
先给出一个时间增量△t,则

令△t=0则υ0=gt0
所以,利用上述方法求得t0时刻的速度υ0为gt0。
从上面的例子可以看出,无穷小量在这些问题中的应用是十分自然的。由于微积分理论的研究是非均匀的变化(例如非匀速运动;几何中的曲线形的问题),而研究问题的思想主要是将非均匀变化转化成已解决的均匀变化来研究。即“化非匀速运动为匀速运动”、“化曲为直”;而无穷小量由于其本身的特性恰好为这种转化的实现提供了条件。因此,无穷小分析在微积分理论形成的时期就得到广泛的应用,因此既使是在严格的极限理论建立以后,这一方面仍然得到了广泛的应用和进一步的发展。
微积分理论在实践中广泛而成功地应用,使数学家们对它的可靠性是毫不怀疑的。但当时作为微积分理论基础的无穷小分析却含有一定的逻辑矛盾。这就是所谓的“贝克莱悖论”。
贝克莱悖论的主要内容是对无穷小进行发难:无穷小量究竟是否为0?就无穷小量的实际应用而言,它必须既是0,又不是0,这一点在上面的两个例子有充分的体现,但从逻辑的角度来看,这的确是一个矛盾。
例如:在求圆的面积时,如果认定无穷小量AB为0,那么无穷小三角形OAB的面积就为零,或者说根本不存在三角形;而如果认定AB不为0,那么无穷小三角形就仍然是曲边三角形,从而就不能用计算直边三角形的面积的方法求出圆的面积。同样,在求自由落体的速度时,如果认为无穷小量△t为0,那么
就是
,这在数学上是没有意义的,或者说物体根本没有运动发生;而如是认定△t不为0,那么所求出的
就应是△t时间内的平均速度,而不是瞬时速度。
正是由于存在着这样的逻辑矛盾,英国大主教贝克莱(1685—1753年)对无穷小分析理论提出了猛烈的抨击,当然他最主要的目的是为维护宗教和神学的威信。由于人们确信建立在无穷小分析之上的微积分理论的正确性,因此,上述的矛盾就被认为是悖论。贝克莱悖论的提出在当时数学界引起了一定的混乱,因此人们把它称为“第二次数学危机”。
悖论产生后,数学家们纷纷提出方案以解除矛盾,其中达朗贝尔(1717—1783年)和柯西(1789—1857年)是将极限概念作为微积分的基础的代表人物。刻划极限的ε方法由他们提出。而现在我们通常使用的“ε-δ”的极限定义是由后来的数学家在达朗贝尔和柯西的工作基础上改进完成的,由于将微分、积分严格地建立在极限的基础上,从而克服了的危机和矛盾。