电子计算机应用于数学
通过上面的讨论,我们看出,计算机科学的早期发展与数学密切相关。而且,在各种传统的基础科学中,数学的精神与计算机科学最为贴近。在教育领域,数学和计算机科学仍在携手前进。在大学里,计算和数学难以分离,而在中学水平上的计算则几乎完全由数学教师讲授。因此,直到现在,计算机和数学还存在着特定的关系,二者密切相关,互相促进,从而使双方都取得了很大进展。
计算机对于数学的作用表现在,在计算机产生之前,许多科学技术问题在表述成数字形式之后,往往由于无法求出数值解,或者无法及时求出数值解,而只能束之高阁,或只有理论上的价值。计算机的出现改变了这种局面,应用数学有了很大发展。计算机快速、准确的计算能力为自然科学、社会科学的定量研究和用科学理论定量地指导实践打开了新的局面,使得近似计算方法作为一种科学方法开始发展起来,从而为科学的发展开辟了新的研究方向。
天气预报
天气预报在今天对于我们每一个人都成为一个既重要又自然的事。但是天气预报成为一门精确的科学却是在计算机成为可能后才实现的。事实上,早在18、19世纪,流体力学、气象学的知识在理论上已经相当完备,预测天气的微分方程组在那时就已经几乎完全建立了。例如,数值天气预报是一种用方程式(数值模式)分析地球上大气移动的方法。它把某一时刻的气温、湿度、气压、风速、风向等数据(初始值)代入方程式,就可以得出3分钟后的变化数字。按此方法反复计算,就可以推知一天、两天后的气象数据。由此可见,进行天气预报的微分方程组中涉及的参数多,测得的各种数据十分复杂,因此利用手算或简单的计算器械,预测24小时内天气的运算量往往需要几天甚至几十天才能完成,等到方程求解出来了,预报早就没有意义了。而电子计算机的出现,则使得这一过程在几分钟之内就可以完成,天气预报才真正有了实际的意义。
人造卫星
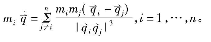
人造卫星与天体力学中的n体问题有关,是n体问题中n为3时的一个特例。那么什么是n体问题呢?它源于牛顿的“原理”:一个由任意多个质点组成的质点系,任二质点按牛顿定律相互吸引,再设任何两个粒子都不会发生碰撞,试将每一粒子的坐标表为一变量的级数,这个变量是时间的某一已知函数,对该变量的一切值,该级数一致收敛。这是一个常微分方程组的初值问题,即在给定的初值
(0)
,i=1,2,…,n(对互不相同的i与j有
(0)≠
(0))下,求下述二阶方程组的解:

m1,m2,…,mn为n个质点的质量
为描述质点位置的三维矢量,它们都是时间t的函数。
是一阶和二阶导数的牛顿表示法。n=2时,这个问题已由贝努利在1710年完成解决。如太阳、地球的运动问题,获得了精确的解析解。于是,人们开始研究n体问题,当然主要是三体问题。科学家发现,研究n体问题其原理都是一样的,即只用到简单的牛顿万有引力定律和第二运动定律,就可列出3n个二阶微分方程。但是不同的是,n体问题,甚是较简单的三体问题,不能用解析方式求出其解。寻找三体问题的近似解在18、19世纪曾取得了一些进展,但那时解决这个问题并不具有太大的现实意义,因而科学家在对求其近似解过程中的巨大的、超越常规的工作量似乎不大关注。
但是20世纪以后,航天科学的发展使得这个问题变得异乎寻常的重要。原来,人造地球卫星、宇宙飞船轨道的选取与求解三体问题的原理是一样的,因为这是由地球,月亮和人造地球卫星(或宇宙飞船)构成的三体问题。正是由于计算机的出现,运用了电子计算机,进行快速、准确的数值近似计算,才使得前苏联、美国相继在20世纪50年代末成功地对人造卫星所涉及的三体问题进行了计算(当然还有科学和技术的进步),终于发射了人造地球卫星。