解方程产生新学科
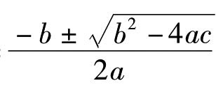
与解方程有关的方程理论一直是19世纪上半叶以前代数学的中心内容。中国古代数学中最为丰富的内容也是与解方程有关,但是中西方数学家对于解方程问题的思路却截然不同。中国古代的思路上面已经介绍过了,西方数学家力求达到的目的是将高次方程的根用方程的系数通过有限次的加、减、乘、除、根式运算精确表示出来。例如二次方程ax2+bx+c=0的求根公式x=
是其中最简单的。在印度数学中已经得到了类似的其中一个根的求根公式,而一般的二次方程的求根公式,韦达也在他的著作中推出了。三次、四次方程的求根公式都是在16世纪得到的。
口吃数学家塔尔塔利亚
1494年,意大利数学家L.帕乔利(1445—1509年)提出了几类三次、四次方程,并说这些问题很难求解,可能不存在一般解。文艺复兴时期的意大利,最突出的数学成就就是三次和四次方程的解法。
帕乔利的研究和对三次方程的讨论引导了意大利数学家们对于此问题的进一步探讨。在这方面首先取得成果的是意大利数学家塔尔塔利亚(1499—1557年)。
塔尔塔利亚生于一个贫困邮差家庭,7岁丧父,后又遇战争,被法军将头部砍伤多处。在其母亲的细心照料下终于痊愈,但留下口吃的毛病。“塔尔塔利亚”的原意为口吃者,人们将此绰号冠于他的名前,后来他自己也以此姓发表文章,沿用下来。
大约14岁时,塔尔塔利亚才开始上学,却因无力交纳学费只读了两个星期就缀学了。从此以后,他的母亲就指导他进行自学。他刻苦勤勉,进步很快。在学习过程中对数学产生了浓厚的兴趣,后来还在家乡做过小学数学老师。塔尔塔利亚发现了三次方程的代数解法,但是他的著作中没有给出这种解法。为什么塔尔塔利亚与三次方程的解联系在一起呢?在数学史上有一段关于此事的描述。[4]
在16世纪初,意大利波伦亚大学的数学教授费罗解出了形如x3+px=q的三次方程,不过当时流行保密风气,他没有发表这一解法,只秘密传授给了他的学生菲奥尔。菲奥尔也没有公开这种方法。后来,菲奥尔听说塔尔塔利亚会解三次方程,表示怀疑。当时时尚公开竞赛,就向塔尔塔利亚提出挑战。1535年2月22日,双方在威尼斯公开竞赛,各自向对方提出30个问题。菲奥尔的问题都导致x3+px=q型的方程,塔尔塔利亚在2小时内全部解出,而塔尔塔利亚的问题多数导致x3+ mx2=n(m、n为正数)型方程,菲尔奥一个也没有解出来。塔尔塔利亚大获全胜,扬名整个意大利。
卡当公式——三次方程的根式解法
塔尔塔利亚等人研究三次方程解的时候,另一位米兰的医生,业余数学家卡尔达诺(1501—1576年)也在研究三次方程的一般解法,只是还没有成功。当他得知塔尔塔利亚与菲奥尔公开竞赛获胜的消息后,便托人打听塔尔塔利亚的方法。1539年亲自写信讨教,并邀请塔尔塔利亚到米兰。“塔尔塔利亚到米兰后,卡尔达诺经过当面再三恳求并发誓对此保密,塔尔塔利亚才把他关于方程x3+px=q和x3+q=px的解法用一首25行诗告诉卡尔达诺。”[5]后来,卡尔达诺仔细研究了塔尔塔利亚的解法,在此基础上又得到了各种类型三次方程的解法。他将各种公式放入《大术》一书中发表,补充了推导过程。由于三次方程的一般解法就是在卡尔达诺的《大术》中第一次公开发表的,因此就叫卡当公式,卡当是卡尔达诺英文拼法的汉译。
尽管在《大术》的第11章“关于一个立方和未知量等于一个数”(相当于方程x3+px=q)中,卡尔达诺一开始就提到了前人的研究:“费罗约30年前发现了这一法则并传授给了菲奥尔,菲奥尔曾与也宣称发现了该法则的塔尔塔利亚公开竞赛。塔尔塔利亚在我的恳求下将方法告诉了我,但没有证明。借助它,我克服了很大困难找到了证明,现陈述如下……”由此可以看出,卡尔达诺一直关注着三次方程的研究,虽然他也提到了塔尔塔利亚,但是塔尔塔利亚还是很生气,就在他自己所写的书中强烈谴责了卡尔达诺。于是在数学史上流传着卡尔达诺骗取塔尔塔利亚研究成果一说。由于《大术》的影响,三次方程被称为“卡尔达诺公式”或“卡当公式”流传下来。
卡尔达诺公布的解法可简述如下:
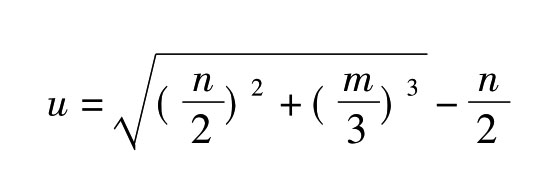
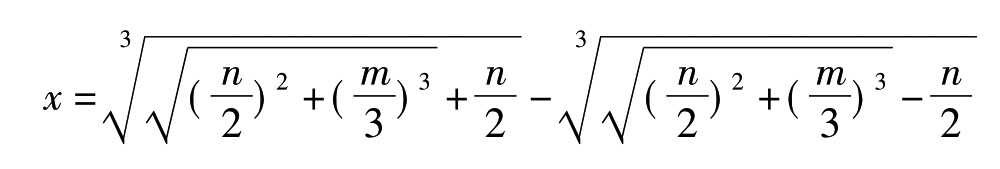
例1.x3+mx=n的代数解法(用现代符号表述)。解:由于(a-b)2+3ab=a2+ab+b2
(a-b)3+3ab(b-a)=a3-b3
令a-b=x,3ab=m,a3-b3=n
就有x3+mx=n


因此

对于一般三次方程似ax3+bx2+cx+d=0,只需要用x=y-
代入上式,就可以化为x3+mx=n型方程。因此,被认为他的方法具有一般性,找到了用系数表示根的精确值的方法。
四次方程的根式解
三次方程解出后不久,四次方程也被成功地解出。是由卡尔达诺的学生费拉里(1522—1562年)给出的。被卡尔达诺收录在《大术》中的第39章。下面用现代符号表出其解法。
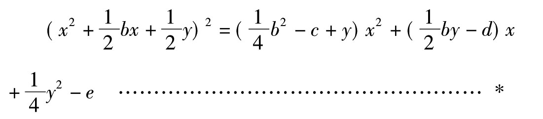
例2.方程x4+bx3+cx2+dx+e=0的代数解法。
解: x4+bx3+cx2+dx+e=0
移项,得x4+bx3=-cx2-dx-e


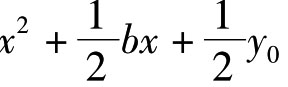
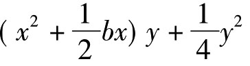
再配方,两边再加上
得

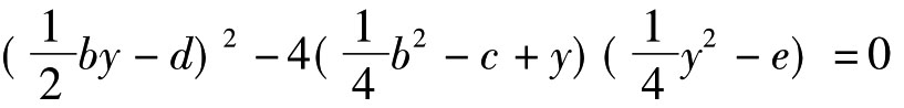
要使右边为一完全平方数,必使右边关于x的二次三项式的判别式为0,即
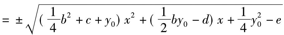
是关于y的一个三次方程,用卡尔达诺《大术》中的方法可以解出这个三次方程,设y0为其一根,代入*,两边开平方。取平方根得:
解这两个关于x的二次方程,便可得到原方程的两个根。
五次以上方程的根式解
二、三、四次方程的根式解问题解决之后,从16世纪以后的数学家们很自然地就要继续按照这个思路去解决更深一步的问题——五次以上的方程的根式解。
有许多大数学家都对此问题有过研究,像欧拉、拉格朗日、高斯等。其中高斯(1777—1855年)对于方程xn-1=0所作的结果对这个问题的解决具有重要意义。因为高斯证明了这个方程可用根式解,表明了某些高次方程能用根式解出。而在这之前五次方程的一般解,确切地说,用系数表示的根式解一直没有进展。数学家对此问题的研究持续了300多年,最终在19世纪才被彻底解决,而且这个问题的解决在数学史上具有特殊重要的意义,它使得过去以研究方程为主要内容的代数学成为具有更丰富内容和更广泛应用的学科。
(1)阿贝尔证明了高于四次的一般方程用根式求解的不可能性。
挪威的阿贝尔(1802—1829年)从小就显露出数学上的才能。由于出身贫寒,他从小并没有受到系统的教育,是他的作牧师的父亲对他进行了启蒙教育。13岁时进入家乡的一所教会学校。这所学校的一位数学老师发现并培养了阿贝尔这位数学天才,激发了他对学习数学的兴趣和愿望。在老师的帮助下,他很快学完了初等数学课程,又继续学习高等数学知识。特别是五次方程求解问题吸引了他,他自学了大数学家欧拉、拉格朗日和高斯的著作。高斯研究xn-1=0型方程的处理方程启发了他,就着手开始解决这一问题。这时他还是一个中学生,因此也走了些弯路。
后来,阿贝尔在一些教授的资助下进入家乡的大学学习。大学二年级时,他又重新开始研究五次方程可解性问题。这次他吸取上次的经验教训,从反面入手,终于成功。1824年,阿贝尔证明了五次或五次以上的代数方程不能用一般的根式求解的问题,写出了著名的论文《论代数方程——证明一般五次方程的不可解性》。从而结束了长达300多年的一般代数方程寻求根式通解的思维模式。这时他才22岁,他深知这一结果的重要性,于是决定自费出版,为了压缩开支,他把论文叙述得很简洁,只有6页。因此,许多学者读不懂,从而也没有得到任何一个外国数学家的重视。

数学家阿贝尔
1825年,大学毕业后,阿贝尔来到德国,并且认识了工程师克雷尔,克雷尔对他的研究事业给予了极大的帮助。在阿贝尔的建议下,克雷尔于1826年创办了著名的数学刊物《纯粹与应用数学杂志》,这份杂志的第一卷刊登了7篇阿贝尔的文章,其中有一篇关于一般五次方程不能用根式求解的证明。
1826年,阿贝尔又来到巴黎,认识了一些法国的著名数学家如勒让德、柯西等。后来他又回到柏林,但这时他得了肺结核病,也没有谋到教授职位。于是次年,阿贝尔回到家乡,仍然没有找到工作。此时,病魔也在不停地折磨他,他以坚强的毅力继续坚持数学研究,取得了许多重大成果。但是,疾病缠身的阿贝尔,这样一个有才能的天才数学家在27岁时就离开了人世。
(2)青年数学家伽罗瓦
阿贝尔证明了一般五次方程不能用根式解的问题,而高斯也证明二项方程xn-1=0的根式可解问题。于是高于四次的方程就可分为两类,一类可用根式解,一类不可用根式解。一个新的问题摆在了数学家面前,什么样的方程可用根式解?法国的年轻数学家伽罗瓦彻底解决了这个问题。

数学家伽罗瓦
伽罗瓦(1811—1832年),他只活了21岁。但在这短暂的岁月里,他对人类数学的发展做出了惊人的贡献。“他为19世纪数学家们提出的问题及任务,导致了公理方法的系统发展和代数基本结构的深入研究。因此,伽罗瓦是近代数学的创始人。”[6]
伽罗瓦出生在法国巴黎附近,他的母亲非常聪明而且有教养,是伽罗瓦的启蒙老师。因此,伽罗瓦从小受到良好的家庭教育。12岁时开始接受正规教育。在这里的学习使伽罗瓦对数学产生了浓厚的兴趣。他直接阅读了大量数学大师们的著作,为自己打下了坚实的数学基础。但也由于他偏科,导致了他在1828年报考巴黎综合工科学校失败。第二年,伽罗瓦又报考了巴黎综合工科学校,但由于他拒绝采用主考官建议的解答方式,又没有被录取。后来,他又报考了巴黎高等师范学院,被录取。
还是在17岁的时候,伽罗瓦就开始了研究方程理论。1830年,在他大学二年级时就发表了数学论文。但是由于参加政治斗争被学校除名,并两次入狱。在1832年,因爱情纠纷而卷入一场决斗。决斗的前一天,伽罗瓦给他的战友舍瓦列耶的信中,整理、概述了自己的数学著作,并对在这之前完成的一篇文章(1831年)《关于根式解方程的可解性条件》起草了一份较为详尽的说明。第二天清晨,他与对手决斗中中弹致伤。几天之后,这位未满21岁的天才数学家去世了。
伽罗瓦的数学贡献在思维上领先同时代的数学家,因此,在当时并没有得到充分的赏识和理解。当时的数学家由于认识上的不足,还没有看到这位青年对于数学的巨大贡献。1846年,也就是伽罗瓦去世后14年,他的文章部分被出版。又过了几年,人们才逐渐弄懂了伽罗瓦的数学理论,伽罗瓦和阿贝尔所研究创设的理论导致一门新的学科——近世代数的产生。由他们开创的群论深刻地改变了代数学的内容,使代数学由主要研究方程转向研究各种代数结构,并且使代数学开始向着更严密、更抽象的方向迈进。
另外,代数方程的可解性问题的彻底解决,同时也解决了古希腊时期提出的“几何三大问题”中的“三等分任意角”和“倍立方”问题。有关这一部分内容,我们将在本部分第六篇文章“几何三大作图问题”中叙述。