4.1 IIR滤波器的网络结构
数字滤波器可按照其冲激响应h(n)的时间特性,分为无限长冲激响应(IIR)滤波器和有限长冲激响应(FIR)滤波器。前者的h(n)包含无限个非零值,持续无限长的时间;后者的h(n)只包含有限个非零值。本章重点讲述IIR滤波器的设计。
在时域中,一个IIR滤波器可以用线性常系数差分方程来表示:

下面讨论IIR滤波器的网络结构以及一些基本运算方框图和流程图(图4-1)的表示方法。

图4-1 基本运算的方框图和流程图
IIR冲激响应的特点如下:
(1)单位冲激响应是无限长的。
(2)系统函数H(z)在有限z平面上有极点存在。
(3)结构上存在着输出到输入的反馈,也就是结构上是递归型的[15]。
对于同一个函数H(z)可以有多种不同的结构,它的基本结构有直接Ⅰ型、直接Ⅱ型、级联型和并联型4种。
1.直接Ⅰ型
对直接Ⅰ型,滤波器的有理系统函数为

其结构如图4-2所示。

图4-2 直接Ⅰ型
此结构的特点是:
(1)两个网络级联:第一个横向结构M节延时网络实现零点,第二个有反馈的N节延时网络实现极点。
(2)共需N+M级延时单元。
(3)系数不是直接决定单个零极点,因而不能很好地进行滤波器性能控制。
(4)极点对于系数的变化过于灵敏,从而使系统频率响应对系数的变化过于灵敏,也就是对有限精度运算过于灵敏,容易出现不稳定或产生较大误差。
2.直接Ⅱ型(典范型)
对于直接Ⅰ型的系统函数H(z),我们可以用一种简化的直接形式递归滤波器结构来表示它,即直接Ⅱ型(典范型),如图4-3所示。

图4-3 直接Ⅱ型结构图
此结构的特点是:
(1)两个网络级联:第一个有反馈的N节延时网络实现极点,第二个横向结构M节延时网络实现零点。
(2)实现N阶滤波器(一般N≥M)只需N级延时单元,所需延时单元最少,即延时单元的个数等于滤波器的阶次,故又称典范型。
(3)同直接Ⅰ型一样,具有直接型实现的一般缺点。
3.级联型
级联型是将系统函数按照零极点进行因式分解,表示成一阶或二阶子系统的乘积形式,对于任何具有实系数的系统函数H(z)可以分解成连乘的形式:

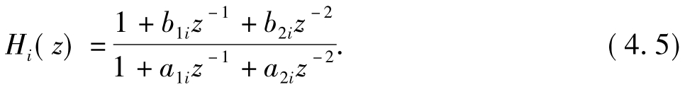
其中, A0为系数, Hi(z)为子滤波器的系统函数,为z-1的一阶或二阶有理式,即

或

其结构图如图4-4所示。
此结构的特点是:
(1)每个二阶节系数单独控制一对零点和一对极点,而不影响其他零点、极点,有利于控制频率响应。

图4-4 级联结构的一阶基本节和二阶基本节结构
(2)若分子、分母中二阶因子配合成的二阶节方式不同,以及二阶节排列次序不同,其级联结构就不同,有限精度带来的误差也不同,所以选择合适的配合与排列次序,将得到比较高的运算精度。
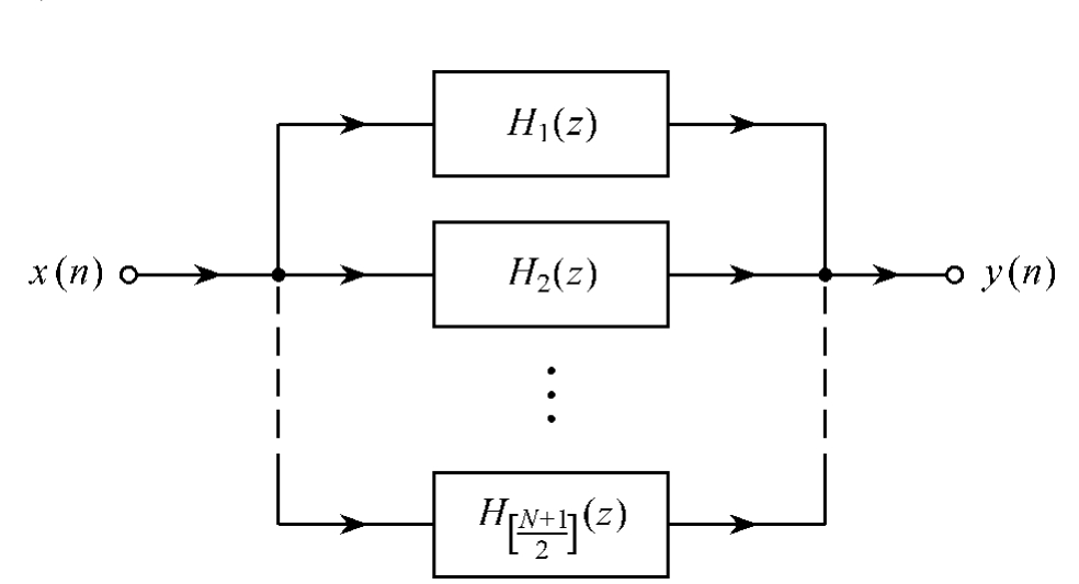
4.并联型
并联型是将上述级联型中因式分解展开成部分分式的形式:

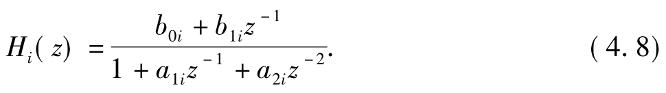
其中,Hi(z)的一般形式为

或


其结构图如图4-5所示。
图4-5 数字滤波器的并联结构
此结构的特点是:
(1)并联型结构可以用调整系数a1i, a2i的办法来单独调整一对极点的位置,能精确调整每对极点,但全体零点随任一个系数的改变而改变,不能像级联型那样可以单独调整零点位置。
(2)各并联基本节的误差相互无影响,故比级联型的误差要稍微小一些。