3.3 离散LTI系统的冲激响应和阶跃响应
3.3.1 单位冲激序列δ(n)
单位冲激序列δ(n)定义为

δ(n)在n =0时取值为1,n≠0时取值为0,如图3-7所示。

图3-7 单位冲激序列
离散时间线性时不变系统(用T(·)表示)的冲激响应h(n)定义为输入为δ(n)时系统的响应,即
h(n)= T(δ(n)).
3.3.2 单位阶跃响应
单位阶跃序列u(n)定义为

u(n)的图像如图3-8所示。
δ(n)与u(n)之间的关系为
δ(n)= u(n)-u(n-1),
这就是u(n)的后向差分。
当离散时间线性时不变系统的输入为单位阶跃u(n)信号时,离散时间线性时不变系统的单位阶跃响应s(n)为

由上式有h(n)= s(n)-s(n-1),这就是s(n)的后向差分。

图3-8 单位阶跃序列
3.3.3 冲激响应与阶跃响应的MATLAB实现
1.单位冲激序列
在MATLAB中,可以利用函数zeros(1, N)产生一个有限区间上的单位冲激序列δ(n),在2.2节中我们已经采用了这种方法。然而,逻辑关系式n = =0是实现δ(n)的一种绝妙方法。例如:要实现在区间n1≤n0≤n2上

可以用下面的函数:

2.单位阶跃序列
在MATLAB中,可以利用函数ones(1, N)产生一个有限区间上的单位阶跃序列u(n),在2.2节中我们已经采用了这种方法。然而一种更好的途径是利用逻辑关系式n>=0。例如:要实现在区间n1≤n0≤n2上

可以用下面的函数:
function[x, n]= stepseq(n0, n1, n2)
%构造x(n)= u(n-n0)
%调用形式:[x, n]= stepseq(n0, n1, n2)
n =[n1:n2] ;
x = [(n-n0)>=0] ;
例3.7 在给出的区间上产生并画出下面序列:
(a)x(n)=2δ(n+2)-δ(n-4),-5≤n≤5;
(b)x(n)= n(u(n)-u(n-10))+10e-0.3(n-10)(u(n-10)-u(n-20)), 0≤n≤20。
MATLAB求解:
%imseq为构造序列x(n)= delta(n-n0)的函数
%stepseq为构造序列x(n)= u(n-n0)的函数
%先求序列(a)

%再求序列(b)

运行结果如图3-9所示。
例3.8 对一个线性时不变系统,设其输入序列为矩形冲激信号
x(n)= u(n)-u(n-10),

图3-9 例3.7中的序列(a)和(b)
而冲激响应为h(n)= 0.9nu(n),输出信号是二者的卷积,试在区间[-5, 50]上产生并画出输入、冲激和输出序列。
MATLAB求解:
%stepseq为构造序列x(n)= u(n-n0)的函数


运行结果如图3-10所示。

图3-10 例3.8运行结果
3.单位冲激响应和单位阶跃响应的MATLAB求解
MATLAB中, filter函数可以用来计算单位冲激响应和单位阶跃响应,而impz函数可用来直接计算单位冲激响应, stepz函数可用来直接计算单位阶跃响应。
(1)filter函数
filter函数是利用递归滤波器或非递归滤波器对数据进行滤波。因为一个离散系统可以看做一个滤波器,系统的输出就是输入经过滤波器滤波的结果。filter函数有两种格式:
y = filter(b, a, x);
[y, zf]= filter(b, a, x, zi);
格式y = filter(b, a, x)是由b和a组成的系统对输入x进行滤波,如果输入为单位冲激信号δ(n),那么输出y就是系统的单位冲激响应h(n);如果输入为单位阶跃信号u(n),那么输出y就是系统的单位阶跃响应。
(2)impz函数
impz函数的调用格式为
impz(b, a);
impz(b, a)可直接给出系统的单位冲激响应,并且画出系统的单位冲激响应的图形。
(3)stepz函数
stepz函数的调用格式为
stepz(b, a);
stepz(b, a)可直接给出系统的单位阶跃响应,并且画出系统的单位阶跃响应的图形。
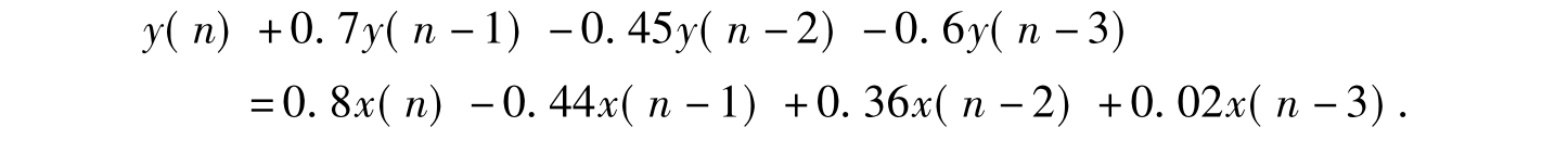
例3.9 计算下式的单位冲激响应和单位阶跃响应:

MATLAB求解:



图3-11 单位冲激响应和单位阶跃响应
运行结果如图3-11所示。
由图3-11可知,用filter函数和用impz函数求得的单位冲激响应结果完全相同,而用filter函数和用stepz函数求得的单位阶跃响应结果也完全相同。
例3.10 (M点移动平均滤波器的实现)实际检测到的信号往往受到了噪声的污染,设信号用s(n)表示,噪声用d(n)表示,x(n)是实际检测到的信号,它们满足
x(n)= s(n)+d(n).
这时,可采用如下M点移动平均滤波器进行平滑滤波:

M点移动平均滤波器的MATLAB实现:


运行结果如图3-12所示。

图3-12 M点移动平均滤波器的实现