2.5 离散傅里叶变换(DFT)
前面已经介绍了一些基本的离散序列,本节将介绍对离散序列的一种基本操作——离散傅里叶变换,这也是数字信号处理的一个基本方法。离散傅里叶变换和其他分析有限长序列的方法相比,更能反映序列有限长的特点。离散傅里叶变换不仅在理论上相当重要,而且由于其具有快速有效的算法,即FFT算法,因而它对分析离散时间信号和系统起着非常重要的作用。
下面将简略介绍离散傅里叶变换及其性质,并举例说明它们在MATLAB上的实现方法。
2.5.1 离散傅里叶变换
傅里叶变换是建立在以时间为自变量的“信号”和以频率为自变量的“频率函数”之间的某种变换关系。离散傅里叶变换(DFT)就是傅里叶变换在时间域和频率域都离散时的情形。设x(n)为长度为N的有限长序列,则该序列的傅里叶变换及其逆变换分别为

其中,
。通过定义,不难写出其MATLAB程序。
例2.17 已知序列x(n)=(1, 2, 4, 5, 6, 7, 8, 10),求x(n)的傅里叶变换DFT及其傅里叶逆变换IDFT,并画出原信号x(n)与其傅里叶逆变换IDFT[X(k)]的图形进行比较。
MATLAB程序如下:


程序执行结果如图2-17所示。

图2-17 离散傅里叶变换
2.5.2 离散傅里叶变换的基本性质
DFT有很多重要性质,在信号处理中有着广泛的应用。最常见的性质有:线性特性、序列的圆周移位性质、循环对称性质、循环折叠性质。下面将给出这些基本性质的内容,并通过例题来说明。
1.线性特性
若两个有限长序列x1(n)和x2(n)的线性组合为
x3(n)= ax1(n)+bx2(n),
则有
DFT(x3(n))= aDFT(x1(n))+bDFT(x2(n)),
式中a, b为任意常数。
例2.18 已知x1(n)=(0, 1, 3, 4, 5),x2(n)=(1, 2, 1, 2, 1, 5)。
(1)求y(n)=2x1(n)+3x2(n),再由y(n)的N点DFT获得Y(k)。
(2)由x1(n), x2(n)求X1(k), X2(k),再求Y(k)= X1(k)+X2(k)。用图形分别表示以上结果,将两种方法求得的Y(k)进行比较。
MATLAB程序如下:

if length(xn1)>length(xn2)%对长度短的序列补0,保证两个序列可加

程序执行结果如图2-18所示。
2.序列的圆周移位性质
有限长序列x(n)的圆周移位是:以它的长度N为周期,将其延拓成周期序列x*(n),并将周期序列进行移位,然后取主值区间上的序列值。例如,序列x(n)右移m位的过程如下:
(1)将x(n)以N为周期进行周期延拓,得到序列x*(n)= x(〈n〉N)。
(2)将x*(n)右移m位,得到x*(n-m)。
(3)取x*(n-m)的主值序列,得到x(n)的循环移位序列y(n)。
因此,就有y(n)= x(〈n-m〉N)GN(n),


图2-18 离散傅里叶变换的线性特性
有了圆周移位的概念后,我们有下面两个重要的定理。
时域移位定理 若DFT(x(n))= X(k),y(n)= x(〈n-m〉N)GN(n),则DFT(y(n))= WmkX(k).
频域移位定理 若DFT(x(n))= X(k),Y(k)= X(〈k-m〉N)GN(k),则IDFT(Y(k))= x(n)W-nm.
例2.19 已知有限长序列x(n)=(2, 3, 4, 5, 1, 7, 9),设y(n)为x(n)右移2位得到的新序列。
(1)根据圆周移位的定义,求出y(n),再由y(n)的N点DFT获得Y1(k)。
(2)先求出x(n)的N点DFT X(k),再由时域移位定理获得y(n)的N 点DFTY2(k)。
用图形分别表示以上结果,将Y1(k)和Y2(k)进行比较。
MATLAB程序如下:


3.循环对称性质
设实序列x(n)可以分解成循环偶序列x1(n)和循环奇序列x2(n),即
x(n)= x1(n)+x2(n), 0≤n≤N-1,
其中

图2-19 离散傅里叶变换的频域移位特性

设DFT(x(n))= X(k)= Re(x(k))+j·Im(x(k)),则有
DFT(x1(n))= Re(x(k)),
DFT(x2(n))= j·Im(x(k)).
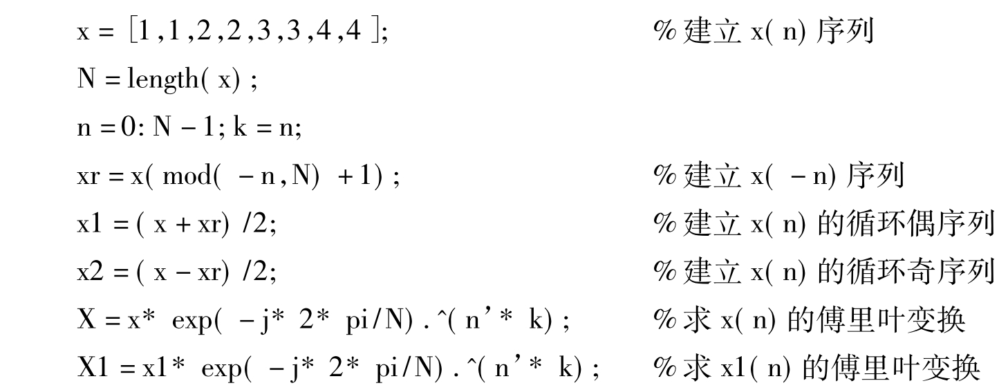
例2.20 已知有限长序列x(n)=(1, 1, 2, 2, 3, 3, 4, 4)。
(1)把序列x(n)分解成循环偶序列x1(n)和循环奇序列x2(n)。
(2)利用序列x(n)验证离散傅里叶变换的循环对称性。
MATLAB程序如下(省略作图部分):


程序执行结果如图2-20所示。

图2-20 离散傅里叶变换的循环对称性
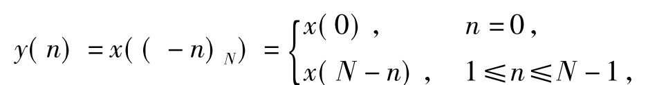
4.循环折叠性质
有限长序列x(n)的循环折叠序列y(n)定义为

循环折叠后的序列y(n)的DFT由下式给出:

也就是说,对在时域上循环折叠的函数,其对应的DFT在频域上也作循环折叠,并取X(k)的共轭。
例2.21 已知有限长序列x(n)=(1, 3, 2, 4, 5, 6, 7),画出循环程度分别为N =7,N =12时x(n)和x(-n)的图形。
MATLAB程序如下:


程序执行结果如图2-21所示。

图2-21 离散傅里叶变换的循环折叠性