第三节 Bandura的社会认知理论
一、三元交互决定论
Bandura认为人的行为既不完全由内在冲动所驱使,也不单纯地由环境刺激所左右;而是内部动力和外部环境之间复杂交互作用的结果(Bandura,1971,p.2)。他指出,人的认知活动与其行为之间存在着因果关系,而内在的认知活动又与外部环境因素联系起来,共同决定人的行为。

图8-3 Bandura
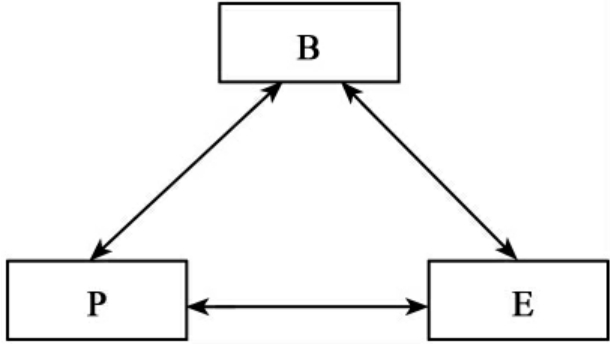
他提出“三元交互决定论”,认为人的行为是主体(人)、行为和环境这三种因素动态交互作用的结果。在图8-4中,B代表行为(behavior),E代表外部环境(external environment),P代表行为主体(person),包括他的性别、社会角色、外貌特征以及思维、记忆等认知因素;双向箭头表示两个因素之间是相互决定的关系。人不仅对环境事件做出反应,还会积极创建并改变自己的环境。认知因素决定哪些环境事件会被知觉,怎样被解释和组织,以及被加诸何种行为(Bandura,1978,p.345)。值得强调的是,B、P、E三个因素对思想和行动的影响作用不是均等的。在不同的时间和条件下,三者中任何一个都可能占据主导地位。但任何一个都不可能单独决定行为,三者永远处于交互作用的状态中。

图8-4 Bandura的三元交互作用论模型
二、观察学习
传统行为主义者认为人的学习方式是亲历学习(enactive learning),其基础是实际经验,学习在行为的结果上发生。对此Bandura并非全盘否定。但他认为亲历学习并非学习的基础,强化也不是学习的必要条件。他指出,人类更重要、更普遍、更有效的学习方式是观察学习。人不仅可以通过观察自然现象,也可以通过观察别人的行为来学习。
传统行为主义者认为,只有在行为反应被强化后,学习才能发生。Bandura对这一观点提出质疑,并区分了学习(习得)和行为表现(performance)这两个不同的概念。从1963年开始,他对学龄前儿童进行了一系列的经典实验(图8-5)。实验中,儿童被分为控制组和对照组。实验组观看一部影片(如左图),其中一个成年人对一个充气娃娃又踢又打,对照组则不看。其后,儿童被带入有一个充气娃娃的房间玩耍,实验组儿童对充气娃娃的暴力行为超过了对照组的两倍。这说明对照组模仿了成年人的暴力行为。为了探究榜样(model)的行为后果对儿童的模仿是否产生影响。随后的实验把被试分为三组,第一组看到榜样的暴力行径受到奖赏,第二组看到榜样施暴后受到惩罚,第三组所看到的榜样既没受到奖赏也没受到惩罚。后来在与充气娃娃玩耍时,第一组的攻击性行为最多,第二组最少,第三组居中。然而,当被试被鼓励去模仿榜样行为时,三组儿童都表现出了类似的攻击性。Bandura的结论是:通过观察,三组儿童实际都学会了榜样的攻击性行为,但只有在看到榜样受到强化,或观察者自己期望在做出相同举动后也能得到强化时,行为才有可能发生。所以,学习通过观察便可发生,但学习是否转化为应用则取决于观察者对行为结果的预期。

图8-5 Bandura的玩偶实验
观察学习的核心是示范作用(modeling)。通过观察,观察者对榜样行为进行取舍、抽象和概括。这是一个信息加工过程,而不是对榜样行为的简单模仿。观察者必须把榜样的行为结构、模式及信息转换成符号表征加以储存,以作为日后表现这种行为的内部指导。观察学习有四个具体过程:(1)注意过程(attention processes)指观察时将心理资源如感觉通道、感知注意及认知加工等开通的过程。这些过程决定了观察者选择什么样的榜样(通常是比较熟悉的人或引人注目的公众人物)和什么样的示范行为(通常是观察者认为重要的和相关的行为)。(2)表象过程(representation processes)指将观察结果以符号形式储存在记忆里以便产生新行为模式的过程。表象的记忆储存以意象和语言两种形式进行。意象虽然鲜明,但局限性也较大;而语言符号可以更好地概括抽象和更灵活地取舍观察学习的结果,也更有利于认知演练,以备日后使用。(3)行为重现过程(behavioral production processes)是观察学习的操作方面,是把符号形式编码的示范信息转化成适当的行为。在将示范行为表征化、储存和不断演练后,观察者将学习的结果外化为实际操作。(4)动机过程(motivation processes)是指在诱因驱动下表现出对观察结果的内在愿望。对示范行为的注意和表象可以导致观察学习,但应用行为的发生必须以内在愿望为前提。通过前三个过程,观察者已经掌握了示范行为,但却并不一定有愿望去付诸实施。没有动机,注意、表象和动作重现过程都不会发生,观察学习就无从说起。观察学习只有在四个过程都完成的基础上才能实现。
观察学习理论具有极强的现实意义。成百上千的研究证明了观看媒体暴力节目会导致攻击性行为显著增加,证明了儿童观看暴力节目会增加他们成年后的攻击性,也证明了媒体暴力正是使青少年的暴力行为逐年攀升的危险因素(Anderson&Bushman,2001,p.354)。
三、自我效能
行为是由互动的环境和认知因素决定的,但后者往往起着主导作用,自我效能(self-efficacy)就是一种关键的认知因素。它是“人关于自己能否控制影响其生活的环境事件的信念”(Bandura,1989)。这种信念一般针对新的、无法预测的、困难的情形。从理论上讲,自我效能是人从事某一活动时所表现的能力,但在实践上,这种能力只是一种潜在的自我因素,一种感受。和传统心理学的能力理论不同,自我效能并非描述主体自我的某种稳定不变的属性(Evans,1989),而是从人的心身机能如何发挥这一动力学角度来探讨主体自我的作用。所以,自我效能实际上是人以自身为对象的思维(self-referent thought),指个体在执行某一行为前对自己能在什么水平上完成该行为所持的信念(Bandura,1994)。
由于不同学者对自我效能内涵的理解存在分歧,因而出现了两种不同的测量方式:一般自我效能测量和领域关联自我效能测量。Jerusalem和Schwarzer认为存在一种可测的、不以活动领域为转移的一般自我效能,并制定了一般自我效能量表(general self-efficacy scale,GSES)。量表有10个项目,α系数在.75到.91之间,也有良好的聚合效度。张建新等人将GSES翻译成中文,修订后得到了中文版本(见表8-3)。GSES中文版的α系数为.87,分半信度为.90,间隔10天重测信度为.83。探索性因素分析表明该量表具有单维性。然而一些研究表明,用GSES测到的实际是人的自尊水平,对绩效的预测力并不显著。领域关联自我效能的测量强调在具体活动领域中有针对性地施测。比如在学习领域中测量学业自我效能,在组织机构中测量工作自我效能。自我效能同自尊、成就动机等其他自我机制的主要区别在于它同具体领域联系密切,它随情境的变化而变化。所以,领域关联的效能感测量比一般自我效能测量更能反映自我效能。有关自我效能的更多内容将在本书第14章详细探讨。
表8-3 GSES中文版
