第一节 狭义相对论
没有侥幸这回事,最偶然的意外,似乎也都是有必然性的。
——爱因斯坦(美国)
爱因斯坦(A.Einstein,1879~1955年)是20世纪最伟大的科学家之一。他虽然是因提出光量子说成功地解释了光电效应而获得了1921年的诺贝尔物理学奖,但他在科学最主要的贡献还是相对论的提出。相对论的创立标志着现代物理学的开端。

图3-1 爱因斯坦
(一)“以太”之迷
19世纪后期,由于光的波动理论的确立,科学家相信一种叫“以太”的连续介质充满了宇宙空间,就像空气中的声波一样,光线和电磁信号是“以太”中的波。然而,与空间完全充满“以太”的思想相悖的结果不久就出现了:根据“以太”理论应得出,光线传播速度相对于“以太”应是一个定值,因此,如果你沿着与光线传播相同的方向行进,你所测量到的光速应比你在静止时测量到的光速低;反之,如果你沿着与光线传播相反的方向行进,你所测量到的光速应比你在静止时测量到的光速高。迈克尔逊(A.Michelson,1852~1931年)和莫雷(E.Morley,1838~1923年)从1881年至1887年,他们进行了多次测量,其中1887年在美国俄亥俄州克里夫兰的凯斯研究所所完成的测量,是最准确细致的。他们对比两束成直角的光线的传播速度,由于围着自转轴的转动和绕太阳的公转,根据推理,地球应穿行在“以太”中,因此上述成直角的两束光线应因地球的运动而测量到不同的速度。但是,所有的实验都没有找到造成光速差别的证据。这就是著名的“以太漂移零结果”,是物理学晴朗的天空上漂流的一朵“乌云”。
爱尔兰物理学家费兹哥立德(G.Fitzgerald,1851~1901年)和荷兰物理学家洛仑兹(H.A.Lorenz,1853~1928年)最早认为相对于“以太”运动的物体在运动方向的尺寸会收缩,即“尺缩效应”。而相对于“以太”运动的时钟会变慢,既“钟慢效应”。并且洛仑兹提出了著名的洛仑兹变换。而对“以太”,费兹哥立德和洛仑兹当时都认为是一种真实存在的物质。而法国数学家彭加勒(J.H.Poincare,1854~1912年)怀疑这一点,并预见全新的力学会出现。他走到相对论的边缘,但由于不能彻底的抛弃牛顿的经典力学体系,终究没能跨进相对论的大门。
马赫和休谟的哲学对爱因斯坦影响很大。马赫认为时间和空间的量度与物质运动有关。时空的观念是通过经验形成的。绝对时空无论依据什么经验也不能把握。休谟更具体地说:空间和广延不是别的,而是按一定次序分布的可见的对象充满空间。而时间总是又能够从变化的对象的可觉察的变化中发现的。1905年爱因斯坦指出,迈克尔逊和莫雷实验实际上说明关于“以太”的整个概念是多余的,光速是不变的。而牛顿的绝对时空观念是错误的。不存在绝对静止的参照物,时间测量也是随参照系不同而不同的。他用光速不变原理和相对性原理提出了洛仑兹变换,创立了狭义相对论。狭义相对论适用于惯性参照系。
(二)狭义相对论的两条基础原理
①狭义相对性原理——在所有的惯性系中物理定律的形式相同。各惯性系应该是等价的,不存在特殊的惯性系。即事物在每个惯性系中的规律应该是一样的。
②光速不变原理——根据迈克尔逊—莫雷实验引出在所有的惯性系里,真空中光速具有相同的值。光速与广泛的运动无关;光速与频率无关;往返平均光速与方向无关。
(三)狭义相对论运动学的核心——洛仑兹变换
有了这两个新的公理,则非常重要的洛仑兹变换关系就非常自然的推导出来了。讨论一个从t=0,x=0发出的光子在Σ系和Σ'系(在t=0时Σ'系与Σ系重合,以后Σ'以V沿X轴方向运动)中的情况,根据:
①时空均匀性:x=γ(x'+vt')
②相对性原理:x'=γ(x-vt)
③光速不变原理:x=ct,x'=ct'
其中:时空均匀性条件不是新的原理,一个固定的物体放在空间任意位置无论何时长度是相同的这是非常直观的,由简单的推理可知均匀时空的坐标变换是线性的。因为若设:x=ax'2+bt',则任一瞬间(dt'=0)测量一物体长度:dx=2ax'dx'。可见对Σ'系任意一个dx'放在不同的x',对Σ系来说是长度不同的,也即对Σ系空间是不均匀的这不符合直觉。因Σ'与Σ是等价的,Σ'系变到Σ系有x=γ(x'+vt'),则Σ系变到Σ'就一定有x'=γ(x-vt),可见相对性原理对不同的惯性系是公平的。最后由光速不变原理给出的两个关系,看起来费解,却有实验支持,我们联立以上4个方程并求解就立即可得到
和洛仑兹变换:

图3-2 洛伦兹变换

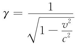
洛仑兹变换统一了时空和运动,统一了高速世界和经典力学研究的低速情况。当v<<c时γ=1,即洛仑兹变换变成了伽利略变换。
(三)狭义相对论时空观
①同时的相对性:由Δt=γ(Δt'+vΔx'/c2),Δt'=0时,一般Δt≠0。称x'/c2为同时性因子。
②运动的钟变慢:由Δt=γ(Δt'+vΔx'/c2),因运动的钟在自己的参照系中Δx'=0,则Δt=γΔt'≥Δt'。
③运动的长度缩短:由Δx=r(Δx'-v·Δt),因测量运动的长度时必须Δt=0,则Δx=γΔx'≥Δx'。常称
为收缩因子,
为膨胀因子。
(四)狭义相对论力学
(1)相对论质量
当Σ系中质量为m0的A球以V沿x方向运动,相对Σ系以V运动的Σ'系上有同样的球B以相对Σ'系ux'=-V运动,两球相碰发生完全弹性碰撞,如图:根据对Σ系由动量守恒:(m+m0)ux=mv,对Σ'系由动量守恒:(m+m0)ux'=-mv,速度变换式:

图3-3 理想小球实验
解这几个方程就得到:m=γm0,竟然速度v增加(γ增加)质量m也要增加。
(2)相对论质能关系
狭义相对论指明了质量与能量之间存在的内在联系,即建立起质能关系式E=mc2,当某物质的质量发生Δm的变化时,必然要伴随ΔE的能量变化,且ΔE=Δmc2,反之亦然,这一公式奠定了利用原子能的基础。
(3)相对论力学方程
在经典物理中,我们常常把牛顿定律写成
,现代物理证明这只在低速情况下近似成立,普遍的形式是
。实际上这是力的定义式。力是物体整体运动状态变化的原因,用P来表示状态参量要比用V周全,因为V仅仅表示了物体相对运动因素,而P=mv表示了物体整体作相对运动时运动的完整数量。
进一步了解狭义相对论,请登陆:
http://ub1010.51.net/science/xiangduilun/4.htm
http://www.xytc.edu.cn/wulixi/1xkjs/lx/jckt/6.ppt
【思考题】
1.简述狭义相对论的两条基本原理。
2.请根据洛仑兹变换试推论狭义相对论时空观。