实验3-3 Word文档的图文混排
一、实验目的
1.掌握艺术字的制作及设置;
2.掌握文本分栏的方法;
3.熟练掌握插入图片、绘制图片、图片的编辑及格式化;
4.熟悉页眉、页码的插入与设置;
5.熟悉公式编辑器的使用;
6.掌握图文混排、页面排版。
二、实验内容
1.制作艺术字“第三篇Office应用软件概述”,将其作为文章标题。按样文插入艺术字库中第四行第三种的字样,隶书、加粗,填充颜色为黑色,版式为四周型;
2.插入Word图片库中的图片即“个人电脑”,版式为紧密型,拖到左下角;
3.将正文第三段分为两栏,加分隔线;
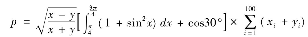
4.在文末输入公式

5.添加页眉文字“第三篇Office应用软件概述”,设为华文行楷、小五,插入页码;插入页脚,内容为自己的姓名和日期,设为隶书斜体、五号、居中。
操作完成后请以“Word文档的图文混排.doc”为文件名,存放在以自己姓名命名的文件夹中。
【样文】见图3-13。

图3-13 样文
三、实验指导
1.制作艺术字
(1)选择字样
在Word窗口中单击【插入】菜单项→【图片】\【艺术字】;在【艺术字库】对话框中选取第四行第三种字样后确定。
注意:单击绘图工具栏的
按钮,也可进入【艺术字库】对话框。
(2)编辑艺术字文字
选定字样确定后,在【编辑艺术字文字】对话框中输入艺术字文字;选择“字体”→“隶书”,单击
加粗→“确定”。这时艺术字出现在插入点处。
(3)设置艺术字格式
单击制作的艺术字将其选中;单击【格式】菜单项→选择【艺术字】命令,或单击艺术字工具栏上的
按钮,打开【设置艺术字格式】对话框。在“颜色与线条”→“填充”→“颜色”中选取黑色;在“版式”→“环绕方式”中选取四周形。
2.插入图片
在Word文档中可使用以下三种基本方式插入图片。
(1)插入剪贴画
单击【插入】菜单项→【图片】\【剪贴画】,Word窗口中出现任务窗格(见图3-14),在任务窗格中选取【剪辑管理器】打开【Microsoft剪辑管理器】窗口(见图3-15);在【Microsoft剪辑管理器】窗口的“收藏集列表”中展开“Office收藏集”文件夹→展开“科技”文件夹→选中“计算”文件夹;选中图片将其拖入文档。

图3-14 “插入剪贴画”任务窗格

图3-15 “Microsof t剪辑管理器”窗口
(2)插入图片文件
单击【插入】菜单项→【图片】\【来自文件】;在打开的【插入图片】对话框(见图3-16)中选取文件所在位置;选取所要插入的文件,双击文件名或单击【插入】按钮即可。

图3-16 “插入图片”对话框
本实验中“个人计算机”图片位置为:C:\ProgramFiles\Microsoft Office\media\cagcat10\J0285750。
(3)在Word窗口中绘图
单击Word窗口常用工具栏中的
按钮打开绘图工具栏;选中某一工具,窗口中出现绘图画布,利用绘图工具在绘图画布中绘图即可。
(4)设置图片格式
插入图片完成后便可进行图片格式的设置了,选中图片,单击鼠标右键打开快捷菜单或单击【格式】菜单项,选择【设置图片格式】选项,在【大小】选项卡中设置高度、宽度;接着在【版式】选项卡中设置文字的环绕方式为“紧密型”,单击【确定】即可。
3.分栏
选中要分栏的段落,单击【格式】菜单项→选择【分栏】命令,打开【分栏】对话框(见图3-17),“栏数”→“两栏”,选中“分隔线”复选框,“确定”即可。

图3-17 “分栏”对话框
注意:对文档的最后一段分栏时,必须在最后加回车(即一个没有文字的空段落),然后选中要分栏的段落(空段落不要选中),再进行所需的分栏。

图3-18 “对象”对话框
4.编辑公式
(1)单击【插入】菜单项→【对象】,在【对象】对话框(见图3-18)中选取“Microsoft公式3.0”,进入公式编辑状态。
(2)进入公式编辑状态后,插入点处出现公式编辑框,并弹出【公式】工具栏(见图3-19)。此时可以在公式编辑框中编辑公式。

图3-19 “公式”工具栏
(3)公式编辑时若键盘上有要输入的字符从键盘输入,若键盘上没有要输入的字符则选择从【公式】工具栏输入。从键盘输入“p=”,单击工具栏中的【分式和根式模板】按钮,从下拉菜单中选择“平方根符号”,这时公式中就会插入一个“平方根”模板;我们还需要在平方根符号内插入一个分子式,还是单击工具栏中的【分式和根式模板】按钮,从下拉菜单中选择分子式符号,这时公式中就会插入一个分子式模板,分子输入“x-y”,分母输入“x+y”。
(4)平方数的输入方法:单击工具栏中的【上标和下标模板】按钮,从下拉菜单中选一个上标,再用键盘输入2。
(5)公式创建完成后,单击公式编辑区之外的区域,即可将公式插入到正在编辑的文档中。如果还要编辑该公式,只需在文档中双击公式,就可以再次进入【公式编辑器】窗口中进行修改了。

图3-20 “页眉和页脚”工具栏
5.添加页眉和页脚
单击【视图】菜单项→选择【页眉和页脚】命令,Word会自动打开【页眉和页脚】工具栏(见图3-20)并切换到页眉和页脚编辑状态。此时输入页眉文字,利用【页眉和页脚】工具栏插入页码;单击【在页眉和页脚间切换】按钮切换到页脚,输入页脚文字“段迎和”,利用【页眉和页脚】工具栏【插入日期】按钮插入当前日期。
四、实验作业
1.打开学生姓名下的“Office应用软件概述”文件,按要求并参照样文即该文档的最终编排效果,插入相应的图片并设置文本格式。
(1)制作艺术字“智能办公平台OFFICE”,将其作为文章标题。按样文插入艺术字库中第一行第三种的字样,楷体、加粗,四周型。
(2)在“应用软件概述”前插入特殊符号“长划线”作为副标题并设置为:华文行楷、三号、加粗。正文第一段设为仿宋、五号、加粗、斜体、25%灰色底纹。
(3)插入剪贴画。插入【Office收藏集】→“自选图形”→“网络”中的图片:“计算机(立式)”,版式为四周型,拖到右上角。
(4)将正文第三、四段分为三栏,加分隔线。
(5)添加页眉文字,插入页码,设计页眉文本格式。
2.在文末输入公式:
3.观察使用【格式】菜单项中的【背景】命令给文档加上背景的效果。
【样文】见图3-21。

图3-21 样文
五、实验报告要求
1.列出实验过程中出现的问题及解决方法。
2.总结本次实验收获并将实验结果保存在磁盘中。