第三节 税收筹划风险的防范与控制
在本章的前面两节中,分析和介绍了有关税收筹划风险的基本概念、主要特点、负面影响和形成原因,并结合大量具体的案例分别讨论和剖析了十种具有代表性的税收筹划风险的主要内容和性质特点,使读者对税收筹划风险有了一个比较全面而深入的认识。研究税收筹划风险,是为了认识和熟悉其存在和发生的规律,在此基础之上规避和降低税收筹划过程中的风险,努力将税收筹划风险的危害降到最低限度。那么如何才能够有效地防范和控制税收筹划的风险呢?可以从以下八个方面入手。
一、树立科学的税收筹划风险观
首先,要认识到税收筹划是有风险的。根据前面的介绍,税收具有无偿性的特点,纳税人总是想通过各种办法来减少纳税。而税收又具有强制性和固定性的特征,纳税人处于从属和被动的地位,为税收筹划的风险埋下了伏笔。税收筹划以获取税收利益为目的,以合法性为基础,又具有事前性的特征,直接导致了税收筹划风险的存在。加之征纳双方的有限理性和客观环境的复杂多变,也增加了税收筹划的风险。由于税收筹划风险会降低税收筹划的收益,导致税收筹划的失败,使纳税人遭受经济损失、法律制裁和名誉损失,因此纳税人要意识到税收筹划是有风险的,而且税收筹划风险是有害的。
其次,要认识到税收筹划风险是可以防范和控制的。经济学告诉我们,风险是不可以完全避免的,但可以通过有效的措施来防范和降低风险。虽然税收筹划风险具有复杂性和潜在性的特点,为纳税人的风险防范和控制带来了一定的难度,但是税收筹划风险也具有客观性的特征。也就是说,税收筹划风险是客观存在的,其存在和发生是具有一定的规律性和联系性的,是有相应的客观原因的。只要重视税收筹划风险的存在,深入了解税收筹划的基本原理和税收筹划风险运行的一般规律,在事前做好风险的评估和防范,在事中及时把握出现的新情况和新问题,在事后积极做好风险的应对和处理,就能够有效地防范和控制税收筹划风险,使税收筹划风险降到最低限度。
二、坚持合法合理开展税收筹划
税收筹划是纳税人享有的权利,而依法纳税是每个公民应尽的义务。合理合法开展税收筹划,是税收筹划的前提条件和降低税收筹划风险的重要保障。合理合法的税收筹划,既包括税收筹划在形式上必须符合相关法律法规和政策制度的要求,即合法性;也包括税收筹划在内容上必须符合相关法律法规和政策制度的精神,即合理性。只有这样,才能保证税收筹划的顺利实施。
合法合理开展税收筹划,首要的工作是要准确把握相关政策法规的内容和要求。由于我国与税收筹划相关的政策法规层次繁多,涉及面广,数量较大,特别是税收政策,常常随着经济情况的变化和税制改革的需要而不断修正,其变动频率较其他法律规范更频繁,掌握起来也更加困难。为此,企业应充分利用先进的计算机网络建立起一套适合自身特点的税收筹划信息系统,根据自身特点和发展要求搜集整理相关的政策法规,并按照法律法规、会计制度、税收政策等板块进行归类、整理。同时,要关注政策法规的变化,及时对信息资源库进行更新,比如在网上免费订阅《国家税收总局公报》、《税法速递》等刊物,准确把握立法宗旨,分析税收政策变化对企业涉税处理的影响,适时调整税收筹划方案,确保税收筹划在合法合理的范围内进行。
在此基础上,纳税人必须准确理解和把握税收政策的内涵,系统学习相关的政策法规,熟悉与企业的生产经营活动相关的政策规定。要了解政策法规出台背景,准确地分析判断所采取的税收筹划方案是否符合政策法规的规定和意图,着重把握好税收筹划的度,看清楚税收筹划与避税和偷税的界限。避税行为尽管看起来不违法,但往往与立法者的意图相违背,绝大多数国家对避税行为采取了不主张或者否定的态度,并且采取了相应的反避税措施加以限制,我国也不例外。而偷税则属于违法犯罪行为,会受到法律的严惩。此外,要建立税务筹划的动态调整机制,根据政策法规的变动情况,及时灵活地调整筹划方案。总之,企业在进行税收筹划时不仅不能违法,而且必须符合政策法规的内涵和导向,减少避税的嫌疑,防止陷入偷、逃、骗税的境地。
三、将风险因素作为选择筹划方案的重要指标
如前所述,税收筹划在给纳税人带来收益的同时,也存在着一定的风险。税收筹划风险的存在不仅会影响税收筹划的实施效果,甚至导致税收筹划的失败。因此,纳税人在设计和选择税收筹划方案时,应该将风险因素作为判断和选取筹划方案的重要指标,对税收筹划方案进行科学的评估与衡量。
表4-2 金额单位:万元

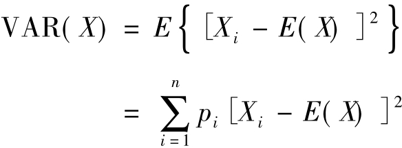
如表4-2所示,现有方案一和方案二两种税收筹划方案供企业选择,两种方案的筹划成本是一样的。但在不同的情况下,两种方案的收益和发生的概率是不相同的。那么如何来选择和确定哪种方案是最优的选择呢?下面逐步进行深入分析。首先,来求筹划方案的预期收益,即

其中pi表示随机事件Xi发生的概率,n表示可能事件的数量,据此可以求出两个筹划方案的期望收益分别为
方案一:E1=100×30%+120×50%+140×20%=118(万元)
方案二:E2=80×20%+140×50%+180×30%=140(万元)
由此可见,方案二的预期收益高于方案一22万元,是不是说方案二是最优的选择呢?此时作出判断显然为时过早,因为还没有考虑风险因素的影响。在数学中,方差是用于度量变量概率分布离散程度的统计量,也是实务中最常用的衡量风险高低的度量,其计算公式为:

由于方差是以平方的形式表示的,人们通常用标准差来描述离散程度即风险水平,它是方差的正根。可以求出两个方案的标准差分别为:

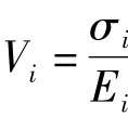
可以看出,方案二的绝对风险要高于方案一,那么能否据此得出方案一优于方案二的结论呢?答案还不能得出,因为仅仅考虑绝对风险是不够客观和全面的。不同的税收筹划方案的期望收益是不同的,期望收益不同的方案的绝对风险是不具有可比性的,还需要计算方案的相对风险,以最终确定各方案的优劣,其计算公式为:

其中Vi表示标准离差率,表示单位期望收益所对应风险的大小,即方案的相对风险,由此可以求出两方案的相对风险值分别为

通过比较可以看出,方案一单位期望收益对应的风险比较低,因此,将风险因素考虑在内,方案一是最优的税收筹划方案。需要说明的是,不同的决策者对待风险的态度是不同的,因此,对于不同的纳税人而言,相对风险最小的方案并非就是最佳的选择。对于风险偏好型决策者来说,可能选择方案二更为合适,因为其绝对收益更大。但是理性的经济人具有趋利避害的天性,一般属于风险厌恶者,在此前提下,方案一应是最佳选择。由此可见,风险因素对于税收筹划方案的影响是比较明显的,一个看似最优的筹划方案,如果考虑风险因素则可能未必是最佳选择。因此,在开展税收筹划时应将风险因素作为重点予以考虑。
四、总揽全局综合考虑筹划方案
税收筹划是一项兼具复杂性和综合性的高级理财活动,主要表现在三个方面。一是税收筹划的目的有三个层次,分别是减轻税收负担、提高税后利润和企业价值最大化,而这三个层次之间有时候是存在矛盾的;二是税收筹划需要耗费一定的成本,包括直接成本和间接成本;三是税收筹划不仅仅是纳税人单方面的事,还涉及到其他相关主体的利益,从而增加了税收筹划的风险。因此,要总揽全局综合考虑筹划方案。
首先,税收筹划应当着眼于整体收益的获取。就降低税收负担这一目的而言,应强调整体税负的降低,而不是个别税种税负的减少。由前面的案例可以看出,各个税种之间往往存在着相互影响的关联关系,很多时候不同税种的税收负担具有此消彼长的关系,某税种税收负担的降低可能会导致其他税种税负的增加。而且,降低税收负担有时候和提高税后利润之间是存在矛盾的,降低税收负担必须以提高税后利润为目的,纳税人不能以牺牲税后利润为代价来片面地追求税收负担的降低。以项目投资为例,如果有多种投资方案可以选择,最优的方案应该是整体收益最大的方案,而并不是税负最轻的方案。而无论是降低税收负担还是提高税后利润,都要服从和服务于企业价值的长期稳定增长。只有从整体利益出发,才能使税收筹划目标明确、方向正确,从而减少税收筹划失败的风险。
其次,要对方案进行成本收益分析。如前所述,税收筹划在给纳税人带来收益的同时,必然要耗费一定的费用和开支,即税收筹划的成本。但在实践中,纳税人往往将大部分注意力集中在了税收筹划的收益方面,对于税收筹划成本的考虑和重视程度不够,导致税收筹划成本偏高,风险增加。要解决成本偏高引发的风险,企业进行税收筹划时应进行成本收益分析,既要考虑税收筹划的直接成本,即企业为开展税收筹划而发生的人力、财力和物力的耗费,又要考虑税收筹划的间接成本,也就是机会成本,即采纳某项税收筹划方案而放弃其他筹划方案可能带来的收益。只有当税收筹划的收益大于成本时,才有必要实施税收筹划;反之,则完全没必要实施税收筹划,以避免因成本偏高而导致税收筹划面临失败的风险。
最后,税收筹划还要考虑相关主体的利益和情况。如案例4-7所出现的情况,在很多时候,税收筹划不仅仅是纳税人自己的事,有时候还涉及到交易双方中另一方的利益,如果仅仅关注自身的利益而忽视了对方的利益,很可能遭到对方的抵制和反对而导致税收筹划的失败。举例来说,在税收筹划的方法中,有一个常用的筹划手段,即转嫁筹划,也就是通过将自身的税收负担转移给相关主体而获取筹划收益的一种方法。比如对于增值税而言,如果通过税收筹划降低了销售方的销项税额,如果购货方是增值税小规模纳税人,是没什么问题的;而如果购货方是增值税一般纳税人,就会导致其可抵扣税款的降低,很有可能遭到购货方的拒绝和反对,导致税收筹划面临失败的风险。
五、提前做好税收筹划风险应对工作
众所周知,风险虽然可以防范和降低,但是不可能完全杜绝,税收筹划风险自然也不例外。因此,在努力做好税收筹划风险的预防和控制工作的同时,要正确面对可能发生的税收筹划风险,并提前做好税收筹划风险的应对工作,通过事先对税收筹划的风险进行分析、判断和预测,制定和采取相应的应对方案。这也是税收筹划风险应对中的未雨绸缪思想,如果对税收筹划的风险毫无防备,一旦发生意外的情况,很容易导致税收筹划的失败。
如前所述,客观环境的不确定性是导致税收筹划风险的重要原因。前面介绍的政策变动风险、经济环境风险等都是由纳税人不能控制的因素所引起的。针对这一情况,企业可以采取“决策树”的方式,通过对税收筹划客观条件的判断,对于可能出现的情况和变动事先拟定出相应的应对和处理方案,以此来应对税收筹划风险的发生。当客观情况发生变动时,就能够实施预定的方案,尽可能将税收筹划风险的损失降到最低限度。下面举例进行说明。
某企业从事初级镍产品的开采和销售工作,由于未锻轧镍一直享有出口退税的优惠政策,该企业未锻轧镍的出口在销售收入中占有较大份额。随着时间的推移,该企业经过分析研究后认为此项税收优惠政策不可能长期实施下去,于是制定了如图4-1所示的决策树以应对可能出现的政策变动。后来,出于多种因素的考虑,财政部、国家税务总局于2004年12月28日发布了取消未锻轧镍出口退税政策的通知。由于该企业对此早有准备,采取了对镍矿进行加工锻轧后再出口的应对措施,既避免了取消未锻轧镍出口退税所带来的损失,规避了政策变动风险,又提高了产品的附加值。而许多同类企业由于对此疏于防备,在遭受了损失后才进行产品和销售的调整。

图4-1 税收筹划决策图
此外,当纳税人在委托税务中介和代理机构从事税收筹划时,应该要求他们说明所提供的税收筹划方案可能存在的风险。这样做,一方面,可以在委托合同中就有关税收筹划风险问题作出具体条款,从而对税收筹划风险的可能带来的损失和委托代理双方的责任有一个事先的约定;另一方面,通过明确税收筹划可能存在的风险,也为企业提前做好税收风险的应对工作提供依据和参考。
六、提高筹划人员的业务水平和筹划能力
筹划人员是税收筹划方案的设计者和实施者,对税收筹划的顺利开展作用重大。筹划人员的有限理性是导致税收筹划风险的主要原因之一。前面介绍的税收筹划风险的十大类型中,大部分都和筹划人员的业务水平和筹划能力直接相关。因此,在外部客观因素难以预料和改变的情况下,通过提高税收筹划人员的业务水平和筹划能力,制定出合法、科学和有效的税收筹划方案,是降低税收筹划风险行之有效的措施。
一名合格的筹划人员一般需要满足三个方面的要求:一是要有全面而扎实的专业知识,包括与税收筹划密切相关的管理、财务、会计、税收、金融、法律等方面;二是要具有一定的判断能力和统筹谋划能力,及时准确地作出判断,从整体上把握税收筹划的开展;三是要具有一定的实践经历和筹划经验,只有这样才能做到理论联系实际。总体而言,目前我国的财务会计人员以及其他经营管理人员与这一要求还存在着比较大的差距,为了提高筹划人员的素质,减少由于筹划人员知识和能力的欠缺所带来的税收筹划风险,必须重视提高筹划人员业务素质和筹划能力,具体而言,可以采取培训和自学相结合的方式。
培训包括三个阶段和层次:一是职前培训,主要目的是使新聘用的财务和筹划人员了解企业的基本情况,包括经营状况和财务状况等信息,使他们能够迅速进入角色,设计出符合企业实际的筹划方案;二是在职培训,企业应该合理安排筹划人员参加相关的培训,使筹划人员的知识和技能不断得到更新、补充、拓展和提高;三是脱产培训,有条件的企业可以选派筹划人员脱产到有关机构和院校做时间较长的培训,全面提高筹划的理论水平和应用能力。与此同时,筹划人员应积极开展自学,在平时多关注相关政策法规的变动,通过报刊网络学习借鉴成功的筹划案例,不断提高自身的业务素质和筹划能力。同时,企业应制定出相应的奖励和惩罚措施,以调动筹划人员培训和学习的积极性。
而一个优秀的筹划人员,在满足上述三个基本条件的同时,还应该善于沟通与协作,因为税收筹划的设计和实施不是少数筹划人员就能完成的,必须要有企业的采购、生产、销售等部门的参与和配合。一方面,只有通过与其他部门的交流和沟通,才能获取详细真实的资料,为方案的设计打下基础;另一方面,只有通过与其他部门的通力协作,才能保证筹划方案的顺利实施。而沟通与协作能力在培训和学习中难以获取,只有通过不断的摸索、锻炼和实践来逐步提高。
七、重视利用专业机构和人员开展税收筹划
税收筹划既可以由企业内部人员来承担,也可以委托外部的税务中介机构和人员来承担。企业内部人员熟悉企业情况,筹划的费用比较低,但缺点是企业财务人员受自身知识结构和筹划能力的限制,加之忙于日常工作,很难专心研究税收筹划工作,有时候难以设计出符合企业要求的筹划方案。因此,对于综合性、整体性比较强的以及涉税金额比较大的筹划项目,由于其难度和风险相应比较大,可以利用专业机构和人员来设计和开展。
专业机构和人员开展税收筹划的风险之所以比较低,原因主要有以下三个方面:一是专业机构和人员兼具知识的广度和深度,而且考虑问题较全面和周到,筹划能力比较强;二是专业机构和人员能够及时地获取相关政策法规信息,见多识广、研究精细,其设计的筹划方案较为科学合理,能有效地防范和控制风险;三是专业机构和人员开展税收筹划活动比较多,经验非常丰富,问题的判断比较准确,评估风险能力强,筹划效果好。因此,企业在开展税收筹划时,要根据不同的情况合理选择筹划方式。对于就少数税种进行的筹划、对某一生产经营环节进行的筹划以及直接利用税收优惠进行的比较简单的筹划,完全可以由企业内部的财务人员承担;而对于企业整体性的筹划、涉及生产经营多个环节的筹划和跨国项目的税收筹划,为了防范和控制风险,可以委托专业机构和人员来开展税收筹划。
对于利用专业机构和人员开展税收筹划,需要说明的有两点:一是利用专业机构和人员开展税收筹划,需要额外支付一笔费用,比企业自行开展税收筹划的成本要高,但是税收筹划的收益会大一些,特别是税收筹划的风险会大大降低,因此,在必要时应该积极利用专业机构和人员开展税收筹划;二是对于部分大型企业而言,由于每年的涉税金额巨大,税收筹划空间比较大,可以借鉴国外大公司的做法,在企业内部专门设立负责税收筹划的机构和人员,从事税收筹划工作,也可以与优秀的专业筹划机构和人员建立长期的合作关系,使其对企业状况更加了解,进一步降低税收筹划的风险。
八、加强与税务部门的联系与沟通
税收具有强制性和固定性的特点,税务部门具有税收执法权和一定的自由裁量权,决定了税务部门在企业税收筹划实施过程中的重要作用。由于多种原因,对于纳税人自认为合理合法的税收筹划,税务机关和人员有时候并不认可,甚至判定为恶意避税甚至偷逃税行为,导致税收筹划面临失败的风险。因此,如何使税收筹划方案获取税务部门的认可和肯定,对于降低税收筹划风险而言作用不可小视。
企业和筹划人员应保持与税务部门密切的联系与沟通。这样做,一是可以及时获悉最新和最准确的税收政策信息,方便对企业的涉税处理和税收筹划进行必要的调整,以确保企业税收筹划的正确实施;二是可以得到税务部门的指导和认同。由于税收筹划在很多时候是在法律的边界运作,企业很难准确把握合法和违法的界限,而且有些政策规定也存在着一定的缺陷,企业在这些方面得到税务部门的指导和认可后,就可以大大降低此类风险;三是可以树立良好的形象。通过与税务部门的交流和沟通,不仅可以树立良好的纳税信誉和形象,而且会给税务部门留下尊重税务机关和人员的印象,从而获取税务部门的信任,降低因为认定差异而造成的税收筹划风险。
此外,企业和筹划人员应充分了解当地税务部门税收征管的特点和要求。由于各地的情况不尽相同,具体的税收征收管理方式和要求也存在一定的差距。由于税收执法部门拥有较大的自由裁量权,这就要求企业平时要多关注和了解当地税务机关税收征管的特点和方法,使企业的涉税处理和税收筹划适应和符合所在地税务部门具体的征管要求。由于税收征收和管理是整个税收工作的中心环节,如果税收筹划不能适应主管税务机关的征管特点和要求,很可能导致税收筹划方案不能得到当地主管税务部门的认可,使税收筹划的风险增加,甚至失败。
目前,许多企业片面地认为,只要是专业机构和人员设计的税收筹划方案,就一定会得到税务机关和人员的认可,其实这是一种错误的观念。企业自认为是天衣无缝的筹划方案,由于所处立场和角度不同,在税务机关看来就有可能存在着漏洞。因此,无论是企业自行开展的税收筹划还是委托专业机构和人员开展的税收筹划,都应该积极争取税务部门的认可,诚心地向税务部门及相关人员进行咨询,达成意见上的一致,降低因认定差异而导致的税收筹划失败的风险。