-
1.1编者的话
-
1.2绪 论
-
1.2.1一、微生物和人类的生存环境
-
1.2.2二、挑战中成长的环境微生物学
-
1.2.3三、环境微生物学的主要研究方向
-
1.2.4四、新世纪环境微生物学研究的发展趋势
-
1.3第一章 自然生境中的微生物
-
1.3.1第一节 微生物在生态系统中的地位与作用
-
1.3.1.1一、生态系统
-
1.3.1.2二、微生物在生态系统中的地位
-
1.3.1.3三、微生物在生态系统中的作用
-
1.3.2第二节 陆地生境中的微生物
-
1.3.2.1一、陆地生境的特点
-
1.3.2.2二、土壤中的微生物
-
1.3.3第三节 水生境中的微生物
-
1.3.3.1一、淡水水体
-
1.3.3.2二、微咸水体
-
1.3.3.3三、海洋水
-
1.3.3.4四、地下水
-
1.3.4第四节 大气生境中的微生物
-
1.3.4.1一、大气中的微生物
-
1.3.4.2二、影响大气微生物存活的因素
-
1.3.4.3三、大气中微生物(气溶胶)的运动与迁移
-
1.3.5第五节 其他特殊生境下的微生物
-
1.3.5.1一、气-水界面上的微生物
-
1.3.5.2二、低营养环境中的微生物
-
1.3.6第六节 微生物在生境中的行为
-
1.3.6.1一、微生物的迁移
-
1.3.6.2二、微生物的趋化性
-
1.3.6.3三、微生物的吸附及生物膜
-
1.4第二章 极端环境微生物
-
1.4.1第一节 环境因素对微生物生长的影响
-
1.4.1.1一、温度
-
1.4.1.2二、酸碱度(pH值)
-
1.4.1.3三、氧和氧化还原电位
-
1.4.1.4四、水活度与渗透压、干燥
-
1.4.1.5五、辐射
-
1.4.2第二节 嗜热微生物
-
1.4.2.1一、高温生境
-
1.4.2.2二、嗜热微生物的多样性
-
1.4.2.3三、嗜热机制
-
1.4.2.4四、嗜热微生物与地球化学演化
-
1.4.3第三节 嗜冷微生物
-
1.4.3.1一、低温生境及微生物
-
1.4.3.2二、生态作用
-
1.4.4第四节 嗜酸微生物
-
1.4.4.1一、酸性环境
-
1.4.4.2二、极端酸性环境中微生物的多样性
-
1.4.4.3三、嗜酸机理
-
1.4.5第五节 嗜碱微生物
-
1.4.5.1一、碱性环境
-
1.4.5.2二、嗜碱微生物的多样性
-
1.4.5.3三、适应机制
-
1.4.6第六节 嗜盐微生物
-
1.4.6.1一、高盐生境
-
1.4.6.2二、嗜盐微生物的多样性
-
1.4.6.3三、适应机理
-
1.4.7第七节 嗜压微生物
-
1.4.7.1一、高压环境
-
1.4.7.2二、高压环境中的微生物
-
1.4.7.3三、嗜压机理
-
1.4.8第八节 抗辐射微生物
-
1.4.8.1一、抗辐射异常球菌的特征
-
1.4.8.2二、能量的产生与转换
-
1.4.8.3三、生态分布
-
1.4.8.4四、适应机理
-
1.5第三章 微生物种群、群落及其多样性
-
1.5.1第一节 微生物种群及其相互作用
-
1.5.1.1一、种群内的相互作用
-
1.5.1.2二、种群间的相互作用
-
1.5.1.3三、微生物种群在群落中的生存策略
-
1.5.2第二节 微生物群落及其相互作用
-
1.5.2.1一、群落组成、结构的特点
-
1.5.2.2二、群落水平的相互作用及其对生态系统的影响
-
1.5.2.3三、压迫对群落的影响和选择
-
1.5.3第三节 群落的生态功能
-
1.5.3.1一、群落的生态功能
-
1.5.3.2二、对生境的影响
-
1.5.3.3三、微生物群落中的遗传交换
-
1.5.4第四节 微生物的适应进化与多样性
-
1.5.4.1一、微生物的适应进化
-
1.5.4.2二、微生物的多样性
-
1.6第四章 微生物与生物地球化学循环
-
1.6.1第一节 碳 循 环
-
1.6.1.1一、碳库及其循环
-
1.6.1.2二、碳在生物圈中的循环
-
1.6.1.3三、碳在生境中的循环
-
1.6.1.4四、碳循环的其他方式及生物多聚物的降解
-
1.6.2第二节 氢 循 环
-
1.6.3第三节 氧 循 环
-
1.6.4第四节 氮 循 环
-
1.6.4.1一、固氮
-
1.6.4.2二、铵同化
-
1.6.4.3三、氨化作用
-
1.6.4.4四、硝化作用
-
1.6.4.5五、硝酸盐还原
-
1.6.5第五节 硫 循 环
-
1.6.5.1一、硫矿化(脱硫作用)
-
1.6.5.2二、硫氧化
-
1.6.5.3三、硫还原
-
1.6.6第六节 磷 循 环
-
1.6.6.1一、有机磷的矿化
-
1.6.6.2二、磷的有效化
-
1.6.6.3三、磷的同化
-
1.6.7第七节 铁 循 环
-
1.6.7.1一、铁的氧化和沉积
-
1.6.7.2二、铁的还原和溶解
-
1.6.7.3三、铁的吸收
-
1.6.8第八节 其他元素的循环及不同元素循环相互作用
-
1.6.8.1一、钙循环
-
1.6.8.2二、硅循环
-
1.6.8.3三、锰循环
-
1.6.8.4四、不同元素循环的相互作用
-
1.7第五章 人体微生物及病原微生物的传播
-
1.7.1第一节 人体微生物
-
1.7.1.1二、口腔的正常群落
-
1.7.1.2三、胃肠道微生物
-
1.7.1.3四、身体其他部位的正常群落
-
1.7.2第二节 病原微生物在水中的传播
-
1.7.2.1一、水中的病原微生物
-
1.7.2.2二、病原微生物在水体中的传播及控制
-
1.7.2.3三、水传播病原微生物对人类健康的影响
-
1.7.3第三节 病原微生物在空气中的传播
-
1.7.3.1一、空气中的微生物
-
1.7.3.2二、病原微生物在空气中的传播模式
-
1.7.3.3三、空气中的病原微生物的来源及传播
-
1.7.3.4四、空气中微生物与空气品质
-
1.7.4第四节 病原微生物在土壤中的传播
-
1.7.4.1一、土壤中的病原微生物
-
1.7.4.2二、土壤中病原体的来源
-
1.7.4.3三、土源性疾病
-
1.7.4.4第五节 病原微生物通过食物的传播
-
1.7.4.5一、食品传播疾病流行病学
-
1.7.4.6二、食品传播的微生物病原体
-
1.8第六章 微生物和动物的相互关系
-
1.8.1第一节 动物对微生物的捕食
-
1.8.1.1一、捕食方式
-
1.8.1.2二、生态学意义
-
1.8.2第二节 微生物和昆虫的共生
-
1.8.2.1一、共生微生物
-
1.8.2.2二、生态功能
-
1.8.2.3三、转移(Transmission)
-
1.8.3第三节 瘤胃(Rumen)共生
-
1.8.3.1一、瘤胃共生的生态及经济学意义
-
1.8.3.2二、瘤胃生境
-
1.8.3.3三、瘤胃微生物种类、数量及作用
-
1.8.3.4四、共生对动物和瘤胃微生物的互利作用
-
1.8.4第四节 光合微生物和无脊椎动物的共生关系
-
1.8.4.1一、共生微生物
-
1.8.4.2二、生态功能
-
1.8.5第五节 发光细菌与海洋生物的共生
-
1.8.5.1一、发光细菌及其发光机理
-
1.8.5.2二、发光细菌与海洋生物的共生关系
-
1.8.5.3三、共生体系的生态功能
-
1.8.6第六节 动物病害发生生态学及生物防治
-
1.8.6.1一、病害发生的生态学原理
-
1.8.6.2二、生物防治的原理和方法
-
1.8.6.3三、生物防治的环境学意义
-
1.9第七章 微生物与植物的相互关系
-
1.9.1第一节 微生物和植物根的关系
-
1.9.1.1一、根际(rhizospere)
-
1.9.1.2二、菌根(mycorrhizae)
-
1.9.1.3三、根瘤菌和豆科植物的共生固氮
-
1.9.1.4四、其他的共生固氮作用
-
1.9.2第二节 植物茎叶、果实上的微生物
-
1.9.2.1一、微生物种类及组成
-
1.9.2.2二、生态功能
-
1.9.3第三节 农杆菌和植物根的关系及其作用
-
1.9.3.1一、农杆菌对植物根的侵染作用
-
1.9.3.2二、农杆菌在转基因植物中的作用
-
1.9.4第四节 植物的微生物病害发生生态学及生物防治
-
1.9.4.1一、病害发生生态学
-
1.9.4.2二、植物的微生物病害
-
1.9.4.3三、植物病害的生物学防治及其生态学原理
-
1.10第八章 微生物对环境有机污染物的降解与转化
-
1.10.1第一节 生物降解机理、过程及影响因素
-
1.10.1.1一、生物降解的机理
-
1.10.1.2二、生物降解总体过程
-
1.10.1.3三、生物降解的基本条件
-
1.10.1.4四、影响生物降解的环境因素
-
1.10.2第二节 微生物降解有机污染物的巨大潜力
-
1.10.2.1一、微生物分解自然有机物的能力良好基础
-
1.10.2.2二、微生物降解有机污染物的潜力
-
1.10.2.3三、微生物降解有机污染物的优越条件
-
1.10.2.4四、生物降解作用的认为强化
-
1.10.3第三节 微生物的降解质粒
-
1.10.3.1一、微生物降解遗传信息的分布
-
1.10.3.2二、质粒与降解质粒
-
1.10.3.3三、降解质粒与降解过程
-
1.10.3.4四、转录调控
-
1.10.3.5五、转座因子
-
1.10.4第四节 微生物对异生物源有机物降解能力的遗传进化
-
1.10.4.1一、遗传进化证据
-
1.10.4.2二、生物降解遗传进化的主要方式
-
1.10.4.3三、遗传进化的机理
-
1.10.5第五节 微生物的降解反应、降解途径、降解速率及降解指示系统
-
1.10.5.1一、降解反应
-
1.10.5.2二、生物降解途径规律性
-
1.10.5.3三、降解速率及其动力学模型
-
1.10.5.4四、环境有机污染物在环境中行为
-
1.10.5.5五、降解与解毒作用
-
1.10.5.6六、环境污染物的酶促降解
-
1.10.5.7七、降解菌及其降解基因的指示系统
-
1.10.6第六节 环境有机污染物的共代谢降解
-
1.10.6.1一、共代谢降解
-
1.10.6.2二、共代谢机理
-
1.10.6.3三、共代谢降解的特点
-
1.10.6.4四、共代谢的应用
-
1.10.7第七节 常见有机污染物的生物降解
-
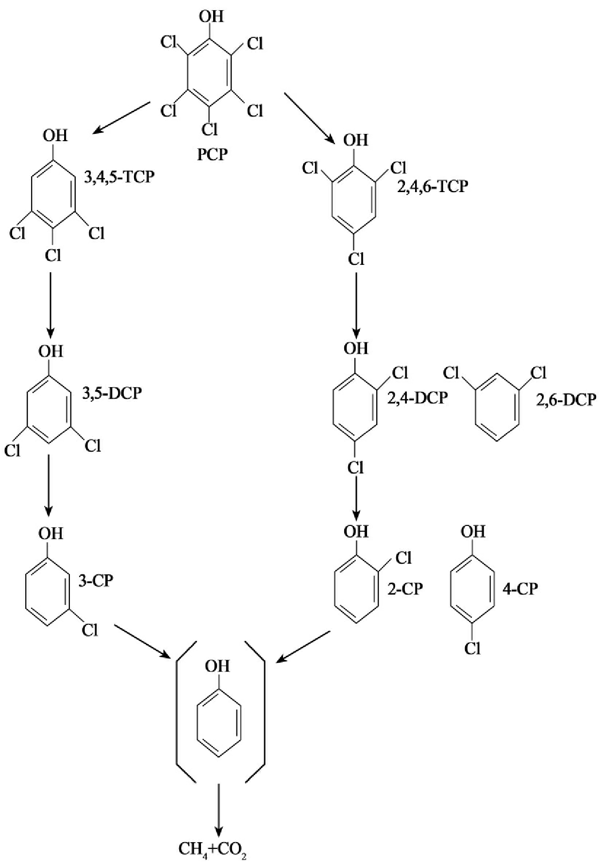
1.10.7.1一、烃类化合物的生物降解
-
1.10.7.2二、其他化合物的生物降解
-
1.10.8第八节 有机污染物的降解性测定及归宿评价
-
1.10.8.1一、生物降解性测定
-
1.10.8.2二、生物降解性评价
-
1.10.8.3三、建立在生物降解测试基础上的归宿评价
-
1.10.8.4四、生物降解性测定的完整过程
-
1.10.9第九节 有机物的结构与生物降解性及归宿预测评价
-
1.10.9.1一、有机物的结构与生物降解性
-
1.10.9.2二、预测生物降解性定量结构生物降解性关系模型的构建
-
1.10.9.3三、定量结构生物降解模型的应用



