1
环境微生物学
1.3.4.2 二、影响大气微生物存活的因素

二、影响大气微生物存活的因素

大气中的许多因素能使微生物生物活性丧失,但许多微生物同时又具有抵抗恶劣环境,修复损伤,保持活性的机理。有些微生物的失活并不是致死性,而可能是亚致死性的损伤,而这种亚致死的压力使微生物生长在不同培养基(选择和非选择的)上的能力失去。这说明许多一般的检测方法不能使它们从损伤和开始的病态中恢复过来。大气压迫对微生物的作用位点主要是外膜、细胞壁、细胞质膜、RNA、DNA和核糖体。失活和存活是微生物在大气中生存的两个对立统一的方面。

许多大气环境因子已被证明能影响微生物的存活能力,这些因素中最重要的是相对湿度、温度、氧量、特殊离子、紫外辐射,各种污染物和OAF等。对人工产生的气溶胶,影响因素包括气溶胶的产生方法、气溶胶中的组成液体、取样方法、计数培养基。

相对湿度(RH)或空气中的相对水含量对大气中的微生物存活和气溶胶稳定性有重要影响,一般来说微生物在低相对湿度时易于失活,很低相应水活度导致的活性的失去是细胞膜脂双层膜的结构改变,研究表明当水从细胞失去时,细胞膜双层膜从典型的液晶结构(crystaline)改变成胶状结构(gel phase)。这种结构相改变影响细胞表面蛋白的构象,最终导致细胞失活。许多研究工作证明,具有外被的病毒粒子(如流感病毒)在相对湿度低于50%时仍能在空气中存活很长时间,而裸露病毒粒子(如肠病毒)在相对湿度高于50%时才能稳定。一般有外被的病毒粒子比没有外膜的毒粒在大气中有更强的存活能力。

温度也是一个使微生物失活的主要因素。一般高温促进失活,主要和失水、蛋白质变性有关,而低温则可使微生物存活更长的时间。但当温度低到接近冰点时,微生物的表面形成冰晶而造成微生物的失活。在温度的影响效应中还受到相对湿度等其他环境因素的制约。

短波长的紫外线、离子辐射(X射线)、高强度的光照都可以造成气溶胶中微生物的损伤。紫外线、离子辐射损伤的主要目标是生物的遗传物质。X射线产生的DNA损伤包括单链断裂(single strand breaks)、双链断裂(double strand breaks)、核酸碱基结构改变。紫外辐射(短波长紫外光)造成的损伤主要在于DNA链上的相邻碱基形成二聚体,阻碍碱基的正常配位而导致碱基的置换突变,最终抑制基因组复制、转录和翻译等生物活性。

大气中的氧经光、辐射污染等因素的作用转化成可造微生物失活的化合物,包括过氧化基团(superoxide radicals)、过氧化氢和氢自由基(hydrogen radicals)。这些化合物通过其致突变作用造成DNA损伤。OAF(open air factor)是影响大气中的微生物的一种复合大气因素。这种因素主要来源于臭氧和烃(一般和乙烯有关)的反应。研究证明高水平的烃和臭氧增加微生物的失活速率,失活的原因可能是酶和核酸的损伤效应。光照及各种形式辐射作用产生的含氯、氧和硫的各种阴、阳离子,也对微生物的失活产生重要影响,正负离子可以造成细胞表面蛋白质和DNA的内部损伤。某些大气污染物(如NO2、SO2、O3、HCOH、CO、HCl、HF、C2H2、C2H4和C2H8等)也可以造成气溶胶中微生物的失活,这些物质所造成的微生物的失活,在很大程度上受相对湿度的影响和制约。

气溶胶中的微生物在各种因素的作用下损伤失活,但微生物也有各种修复损伤、保持稳定和生物活性的能力以及多种适应于大气环境的机制。

微生物复杂的结构和组成成分有助于保持它们在大气中的稳定,这一点对病毒尤为明显。研究表明有脂类外膜或外壳的病毒在低pH值时比没有脂类的更加稳定,它们在气溶胶中的存活和脂类的数量相关。

大气中微生物以抗性组织的形式出现是微生物对大气环境的重要结构适应,包括孢子、胞囊、粉芽和其他非营养性组织。它们的低代谢速率意味着它们不需要外来的营养物和水仍可存活一个长的时期。孢子有极端厚的壁,其保护它们抵抗严厉的干燥,有些孢子是有色的,这可以增加对UV辐射的保护。微生物的色素也有保护作用,暴露在空气中时(有氧)有色的野生型菌株比无色的突变株有强得多的抗性,如黄色的藤黄微球菌(Micrococcus luteus)、有色(含类胡萝卜素)的盐沼盐杆菌(Halobacter salinarium)在强光照射下有较强的抗性。

尘埃和土壤颗粒是气溶胶中微生物的载体,又有为微生物遮风挡雨的作用,可以保护微生物免受紫外辐射的伤害。

许多化合物已被证明可以给气溶胶中的微生物提供保护,提高微生物的稳定性。液相添加剂(如肌醇、牛血清蛋白)、多羟化合物(如棉子糖、葡聚糖、甘油、谷氨酸)可与膜蛋白结合,并且保持稳定以增强抗失活能力。甜菜碱、海藻糖被证明能稳定脂类、蛋白质和磷脂,加到大气微生物的收集液中时,能大大提高微生物回收率。

大气中的微生物在各种因素作用下大部分不断死亡,仅能短时间存活,但某些细菌和古菌仍能长时间存活,如某些棒状杆菌、G+不形成芽孢杆菌、球菌甚至可存活106年。

活性模型:气溶胶中的微生物失活是一个复杂的物理、气候和细胞相互作用过程。早期解释气溶胶活性的尝试依赖于指数衰减模型。

Vt=V0e-k这里Vt是时间为t时的活性,V0是在时间为零时的活性,k是衰减速率常数。

在指数衰减模型的基础上又有人提出动力学模型。动力学模型假设气溶胶中的微生物暴露在低水活度(或低RH)时以一级过程(一级反应)自发失活。

-dx/dt=kx

这里x是失活微生物的浓度。

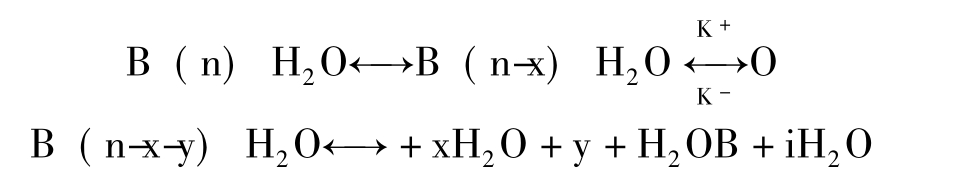
如果把微生物简单看成一个含水的分子(B(n)H2O),则模型可以改变成:

img18

这里B(n-x)H2O是速率常数Kx的失活形式,B(n-x-y)H2O是速率常数Ky的失活形式。

当失活按一级反应模式时,等式的最后形式可以写成:

lnV=K1[B(n-x)H2O]o(e-kt-l)=ln100

这里K是一级失活常数,t是时间,K1是概率常数,V为活性。