第二节 人力资源战略规划的操作程序与方法
一、人力资源战略规划的操作程序
人力资源战略规划的操作程序包括以下七步,见图2-2。

图2-2 人力资源战略规划的操作程序
1.核查现有人力资源
核查现有人力资源是人员供给预测的基础,它的关键在于弄清现有人力资源的数量、质量、结构及分布状况。
人力资源核查资料至少应包括:
(1)个人自然情况;
(2)录用资料;
(3)教育资料;
(4)工资资料;
(5)工作执行的评价;
(6)工作经历;
(7)服务与离职资料;
(8)工作态度;
(9)安全与事故资料;
(10)工作环境资料;
(11)工作或职务情况;
(12)工作或职务的历史资料等。
2.预测人力资源需求
可与人力资源核查同时进行。主要根据公司发展战略规划和内外条件选择预测技术,然后对人力资源需求的结构和数量进行预测。
预测具体程序为:
(1)预测企业未来生产经营状态;
(2)估算各职能工作活动的总量;
(3)确定各职能及各职能内不同层次类别人员的工作负荷;
(4)确定各职能活动及各职能活动内不同层次类别人员的需求量。
3.预测人员供给量
人员供给量预测包括两个内容:一是内部拥有量预测,根据现有人力资源及其未来的变动情况,预测出现在各规划时间点上的人员供给量;另一是外部供给量预测,确定在各规划时间点上各类人员的可供量。
4.确定纯人员需求量
即比较预测到的各规划时间点上的供给与需求,确定人员在数量、质量、结构及分布上的不一致之处,以获取纯人员需求量。
5.制定匹配政策
制定匹配政策以确保需求与供给的一致,即制定各种具体的计划,包括晋升计划、补充计划、培训开发计划、配备计划等,保证需求与供给在各计划时间点上的匹配。
6.确定执行计划
在各分类计划的指导下确定具体实施计划的工作方案。
7.反馈调整
目的在于为总体计划和具体计划的修订或调整提供可靠的信息,以便对规划进行动态的调整并加强控制。
二、人力资源战略规划的方法
1.预测未来需求
在预测企业未来劳动力需求量方面,存在主观和客观这两种基本的方法,也可以称作统计法和判断法。
(1)统计法。统计法是通过对过去某一期间(时间的长短视具体情况而定,一般可取五年)有关数据资料的统计分析,找出某些商业因素与人员需求的相关关系,并建立数学公式或模型,据此对未来的人力资源需求进行预测。统计法最常用的是趋势预测法、回归预测法和比率预测法。
①趋势预测法。这种方法是指根据企业过去几年的人员数量,分析它在未来的变化趋势并依此来预测企业在未来某一时期的人力资源需求量。这种预测方法相对比较简单直观,但是由于在使用时,一般都要假设其他的一切因素都保持不变或者变化的幅度保持一致,因此具有比较大的局限性,多适用那些经营稳定的企业,并且主要作为一种辅助方法来使用。
趋势预测法具体的步骤是,首先收集企业在过去几年内人员数量的数据,并且根据这些数据作图,然后用数学方法进行修正,使其成为一条平滑的曲线,将这条曲线延长就可以看出未来的变化趋势。在实践中为了简便起见,往往将这种趋势简化为直线关系。下面通过一个简单的例子,来看一下这种方法是如何使用的。
例如,某公司过去8年人员的数据如表2-2所示,请预测今后第二年和第四年人力资源的需求。
表2-2 某公司过去8年的人员数量

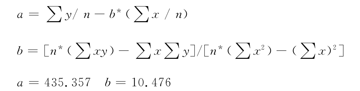
首先我们要根据过去几年人员的数量来分析它的变化趋势,如果假设是一种线性变化,人数是变量Y,年度是变量X,那么根据下面的公式可以分别计算出a和b。

趋势线就可以表示为Y=435.357+10.476 X,也就是说每过一年,企业的人力资源需求要增加10.476,通常取为整数11。这样就可以预测出今后第二年和第四年的人力资源需求:

所以,今后第二年的人力资源需求为541人,而第四年的人力资源需求则为562人。
②回归预测法。由于人力资源的需求总是受到某些因素的影响,回归预测法的基本思路就是要找出那些与人力资源需求关系密切的因素,并依据过去的相关资料确定出它们之间的数量关系,建立一个回归方程,然后再根据这些因素的变化以及确定的回归方程来预测未来的人力资源需求。使用回归预测法的关键是要找出那些与人力资源需求高度相关的变量,这样建立起来的回归方程预测效果才会比较好。
根据回归方程中变量的数目,可以将回归预测法分为一元回归预测和多元回归预测两种。一元回归由于只涉及一个变量,因此建立回归方程时相对比较简单;而多元回归由于涉及的变量较多,所以建立方程时要复杂许多,但是它考虑的因素比较全面,所以预测的准确度往往要高于前者。由于曲线关系的回归方程建立起来比较复杂,为了便于操作,在实践中经常采用线性回归方程来进行预测。下面我们来看一个一元线性回归预测的例子。
例如,某家医院要预测明年所需的护士数量,如果使用回归预测法,首先就要找出护士的需求量与哪些因素关系比较密切,对相关数据进行统计分析后可以发现病床数与护士的需求量之间相关程度比较高,接下来就要分析它们之间到底是一种什么样的关系,医院的人力资源经理找来自己医院和其他医院病床数以及护士数的数据,见表2-3。
表2-3 病床数和护士数的数据

将病床数设为自变量X,护士数设为因变量Y,两者之间的线性关系可以表示为Y=a+bX,其中计算a和b的方法和趋势预测法中使用的方法一样,经过计算得出a=2.321,b=0.891,回归方程就是Y=2.321+0.891 X,也就是说每增加一个床位,就要增加0.891个护士。
由于医院准备明年将病床数增加到1 000个,所以需要的护士数就是894人(Y=2.321+0.891×1 000=893.321≈894)。
③比率预测法。这是基于对员工个人生产效率的分析来进行的一种预测方法。进行预测时,首先要计算出人均的生产效率,然后再根据企业未来的业务量预测出对人力资源的需求,即
所需的人力资源=未来的业务量/人均的生产效率
例如,对于一所学校来说,目前一名老师能够承担40名学生的工作量,如果明年学校准备让在校学生达到4 000人,那么就需要100名老师。如果考虑到生产率的变化,计算公式可以作如下修改:
所需的人力资源=未来的业务量/[目前人均的生产效率×(1+生产效率的变化率)]
使用这种方法进行预测时,需要对未来的业务量、人均的生产效率及其变化做出准确的估计,这样对人力资源需求的预测才会比较符合实际,而这往往是比较难以做到的地方。
比率预测法还可以做进一步的延伸,利用各类人员之间的比例关系,根据已知的某类人员的数量来预测对其他人员的需求,例如已知老师和教学辅助人员之间的比例为10∶1,学校准备在今后三年内使教师数量达到500人,那么对教学辅助人员的需求就是50人。进行这种预测时,要求人员之间的比例关系比较确定,如果比例关系变动较大,那么预测的结果就会不准确。
除上述三种方法外,一些企业还利用计算机来开发自己的人员需求预测系统。在这种情况下,人事专家和直线管理人员将所需要的信息综合起来,建立起一套人员需求的计算机预测系统。运用这一系统,企业可以很快地将生产率水平计划和销售水平计划转化为对人员需求的预测,同时,也可以预测各种生产率水平及销售水平对人员需求的影响。
(2)判断法。判断法是依靠相关专家和管理人员运用其知识、经验甚至直觉对未来人力资源需求做出推测、判断的方法,常用的有自上而下法、自下而上法、德尔菲法。
自上而下法主要依赖于高层管理者的判断,这个高层管理者团队应该对组织的发展方向有明确的认识。与之相反,自下而上法则集中依赖于部门和基层经理依靠他们的经验和判断对未来人力资源需求做出预测。这种方法可能用于简单的预测,只需清楚地了解当前的需要,而不必反映未来的目标,也不需要这些经理们了解整个公司的目标。这两种方法往往被同时使用,以便形成更确切的未来需求预测。
德尔菲法也是一种依靠管理者一种主观判断的预测方法。专家们背靠背,分别提供它们的预测,组织者综合专家们的意见,并再次提供给专家(可以是另外一些专家),如此反复,直到形成可行的、一致的预测为止。
当然,雇员需求的预测非常依赖于对未来产品需要的性质的假设,这决定着所需要的员工的数量和类型。这一任务不是以人力资源专业人员为中心的,而可能更多地需要经营计划人员、财务和市场营销经理们参与其中。一些部门的预测可能比另一些部门容易。例如,依靠过去的计划,可以对保健、中学教育、食品未来五年的需求做出总体的预测,从而可以预测未来的劳动力需求。然而,要预测到某个具体医院、学校或者超级市场的病人、学龄儿童、购物者的数量就困难得多,因为这类消费者属流动型的,一般具有相当大的选择性。在高度竞争的国际市场上经营的公司更难做出人员计划,尤其在那些容易发生政治动荡的市场上,因为未来的需求形势很难预料。
2.内部供给预测
内部供给预测的方法也有很多,这里我们只是选取几种有代表性的方法进行简单介绍。
(1)人力资源盘点法。人力资源盘点法是对现有企业内人力资源质量、数量、结构和各职位上的分布状态进行核查,以便确切掌握人力拥有量。在企业规模不大时,核查是相当容易的。若企业规模较大,组织结构复杂时,人员核查应建立人力资源的信息系统。这种方法是静态的,它不能反映人力拥有量未来的变化,因而多用于短期人力拥有量预测。虽然在中、长期预测中使用此法也较普遍,但终究受企业规模的限制。
(2)人员替换。这种方法就是对企业现有人员的状况做出评价,然后对他们晋升或者调动的可能性做出判断,以此来预测企业潜在的内部供给,这样当某一职位出现空缺时,就可以及时地进行补充。为了直观起见,往往将这种替换制作成图表,见图2-3。

图2-3 某部门的人员替换图
我们对图2-3作一下简单的解释,假设这是公司某个部门的组织架构图,该部门有X、Y、Z、M、N五个职位,分别由甲、乙、丙、丁、戊五个人来从事,在每个职位后面的两个方框中,上面空白的方框中记录了目前从事该职位的员工能够调动的岗位以及适应新岗位的时间,下面阴影的方框中记录了该员工可以晋升的职位以及晋升所需的时间。例如对甲来说,他还可以从事A职位的工作,完全适应新职位需要0.3年,也就是大约三个半月的时间;此外他还可以晋升到B职位上去,晋升到这一职位需要1年时间。需要指出,由于这种方法预测的是潜在的供给,因此对于甲来说,他1年后并非就一定可以晋升到B职位。再比如对于丁来说,他还可以从事E职位的工作,而且能够立即适应新的职位;此外他还可以晋升到Y职位上去,但需要2年的时间,同样的道理,2年后他也并非就一定可以晋升到Y职位上去。由图2-3还可以看出,戊既不能调动,也不能晋升。
为了保证预测的准确性,需要对人员的替换信息进行及时更新;例如戊经过培训后,具有了相应的技能,能够调动到别的职位上工作,那么在下一年度的替换图中,就要把这一信息添加进去。
(3)人力资源“水池”模型。该模型是在预测企业内部人员流动的基础上来预测人力资源的内部供给,它与人员替换有些类似,不同的是人员替换是从员工出发来进行分析,而且预测的是一种潜在的供给;“水池”模型则是从职位出发进行分析,预测的是未来某一时间现实的供给。这种方法一般要针对具体的部门、职位层次或职位类别来进行,由于它要在现有人员的基础上通过计算流入量和流出量来预测未来的供给,这就好比是计算一个水池未来的蓄水量,因此称之为“水池”模型。下面通过一个职位层次分析的例子来看一下这个模型是如何运用的。
首先,我们要分析每一层次职位的人员流动情况,可以用下面的公式来进行预测:
未来的供给量=现有的人员数量+流入人员的数量-流出人员的数量,见图2-4。

图2-4 某一层次职位的内部人力资源供给图
对每一层次的职位来说,人员流入的原因有平行调入、上级职位降职和下级职位晋升;流出的原因有向上级职位晋升、向下级职位降职、平行调出和离职。
对所有层次的职位分析完之后,将它们合并在一张图中,就可以得出企业未来各个层次职位的内部供给量以及总的供给量,见图2-5。

图2-5 人力资源接续模型示例
(4)马尔科夫模型。马尔科夫模型是用来预测等时间间隔点上(一般为1年)各类人员分布状况的一种动态预测技术,这也是从统计学中借鉴过来的一种定量预测方法。它的基本思想是找出过去人力资源流动的比例,依次来预测未来人力资源供给的情况。
对于这一模型的原理,我们不多赘述,这里主要解释以下它是如何具体运用的,看下面的例子。
假设某企业有四类职位,从低到高依次是A、B、C和D,各类人员的分布情况见表2-4,请预测一下未来人员的分布情况。
表2-4 企业人员的分布情况表

在预测时,首先我们要确定出各类职位的人员转移率,这一转移率可以表示为一个矩阵变动表,见表2-5。
表2-5 人员转移率矩阵表

表2-5中的每一个数字都表示,在固定的时期(通常为1年)内,两类职位之间转移的员工数量。例如,上表表示在任何一年内,A类职位的人有90%留在公司;B类职位中有80%留在公司,其中10%转移到A类职位,70%留在原来的职位。这样有了各类人员原始的人数和转移率,就可以预测出未来的人力资源供给情况,将初期的人数与每类的转移率相乘,然后再纵向相加,就得到每类职位第二年的供给量,见表2-6。
表2-6 第二年企业人员的分布情况表

由表2-6可以看出,在第二年中,A类职位的供给量为44,B类职位的供给量为66,C类职位的供给量为105,D类职位的供给量为95,整个企业的供给量则为310,将这一供给的预测和需求预测一比较,就可以得出企业在明年的净需求。如果要对第三年做出预测,只需将第二年预测的数据作为初期数据就可以了。
使用马尔科夫模型进行人力资源供给预测的关键是要确定转移率矩阵,而在实际预测中,由于受各种因素的影响,人员转移率是很难准确确定出来的,往往都是一种大致的估计,这也就会影响预测结果的准确性。
(5)计算机模拟。目前有许多基于计算机技术的预测模拟,以充分考虑各种变量对未来人员需求供给的影响,解决大规模或人力无法进行的预测问题。运用计算机技术,管理者可以变换人事政策以判断这种变化对未来人员供给的影响,从而获得一系列与各种不同人事政策相对应的人力供给状况。
人力资源战略规划的各种方法各有优劣,需要相互配合运用。