7.6 进给伺服系统的性能分析
在数控机床中,伺服系统是数控装置和机床的中间连接环节,是数控系统重要组成部分。数控机床的性能和技术指标在很大程度上是由伺服系统的性能所决定,本节以一个典型的进给伺服系统为例来分析伺服系统的性能。
7.6.1 典型进给伺服系统的组成及其数学模型
这里以由晶闸管控制直流电动机驱动,并采用直线位移检测器作为位置检测元件的双闭环伺服进给系统为例进行讨论。系统原理图如图7-6-1所示。

图7-6-1 直流电机驱动的进给伺服系统原理图
在较为全面考虑伺服进给系统的各个组成部分的特性及相互关系后,所建立起来的数学模型将是一个阶次很高的微分方程。因而,为了研究问题方便,常有条件地将其简化成低阶系统的形式。假如系统的各个环节都是理想的,既没有惯性,没有阻尼,刚性也为无穷大,则可以把进给伺服系统简化成一阶系统的形式,如图7-6-2所示。

图7-6-2 简化成一阶系统的结构图
这种简化只是适用于在理论上进行定性的分析。图中:K1——位置放大器增益;K2——速度环增益;1/s——积分环节,其作用是将速度对时间积分的位移输出; Kp——位置反馈增益;K3——机械传动装置增益。
若将各环节的增益值相乘,可得:
K=K2K3K4KP
称K为系统的开环增益亦简称增益。系统开环增益是伺服系统最重要的性能参数,它与伺服进给的快速响应性、稳定性及定位精度等密切有关。
7.6.2 系统的稳定性和稳态性能
1.稳定性的概念
系统的稳定性是指系统在受到扰动作用使平衡状态破坏,经过调整,能重新达到平衡状态的性能。当系统受到扰动后,偏离了原来的平衡状态,若通过系统的自身调节,使偏差最后逐渐减小,系统重新恢复平衡状态,那么这种系统是稳定的,反之则是不稳定系统。
需要指出的是,稳定性是系统能正常工作的必要条件。如果一台数控机床的伺服控制系统是不稳定的,那么机床工作台就不可能稳定在指定位置,是无法进行切削加工的。因此在控制系统中,最重要的是稳定性问题,或者说,任何控制系统首先必须是稳定的。
2.稳态性能
一个稳定的控制系统,在启动或受到外部干扰后均需经过短暂的过渡才能从一个稳定状态进入另一个稳定状态。位置进给伺服系统的稳态性能是指在到达新的稳态后,实际状态与期望状态之间的偏差程度,也称为定位精度。一般数控机床的定位精度应不低于0.01mm,而高性能数控机床的定位精度将达到0.001mm以上。影响伺服系统稳态精度的原因可以有两类,一类是位置测量装置的误差和测量误差,另一类是系统误差。系统误差与系统输入信号的性质和形式有关,也与系统本身的结构和参数有关。本节主要讨论系统误差对稳态精度的影响。
(1)典型输入信号 在伺服系统的分析中常用两种典型的输入信号。
①位置输入即位置阶跃输入,见图7-6-3a。当阶跃的幅值A=1时,称为单位阶跃信号,其拉氏变换式为R(s)=1/s。点位控制的数控机床是这种输入的典型例子。

图7-6-3 典型输入信号
②速度输入又称斜坡输入,见图7-6-3b。在分析中,常用速度信号,其拉氏变换式为R(s)=1/s2。直线插补的数控伺服系统是速度输入的典型例子。
作用于伺服系统除给定输入之外,还有扰动输入。凡是力图使系统离开对给定输入准确跟踪的输入量,统称为扰动输入。典型的扰动输入有:恒值负载扰动、正弦负载扰动、随机性负载扰动以及从检测装置输入的噪声干扰等。
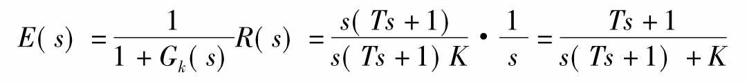
(2)单位阶跃给定输入时的稳态误差 进给伺服系统若机械传动装置的固有频率远大于电机的固有频率,则进给系统的频率响应就决定于电机速度环的频率特性,则可将这个进给伺服系统简化成一个二阶系统,经整理后系统结构框图见图7-6-4。其中Gk(s)是系统的开环传递函数,K为开环放大倍数,T为时间常数。

图7-6-4 二阶典型系统的结构框图
由于开环传递函数中只包含一个积分环节,习惯上亦称为Ⅰ型系统。
在单位阶跃给定输入下,即输入信号R(s)
由于
E(s)=R(s)-C(s) C(s)=Gk(s)E(s)
经整理得

利用拉氏变换的终值定理,求得系统的稳态误差

上式表明,在单位阶跃的给定输入下,Ⅰ型系统的稳态误差为零,这个结论是在忽略电机轴上负载的条件下才成立的。由于伺服系统电机的转速到位移之间是一个积分环节,只要输出C(t)与输入R(t)不相等,它们之间的偏差电压经放大后就使电机旋转,当负载为零时,电机将一直转到偏差电压等于零为止,因此稳态误差为零。如果考虑负载的话,则当电机输出转矩与负载转矩平衡时工作停止进给。为了维持这个转矩,放大器输入端就得有一定的偏差电压,因而稳态误差不等于零。
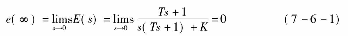
(3)单位速度给定输入时的稳态误差 单位速度输入信号R(s)
,稳态误差

(7-6-2)
此式表明在单位速度给定输入时,Ⅰ型系统的稳态误差等于开环放大倍数的倒数,这说明在速度输入下,要实现准确跟踪,电机的输出轴必须随着作同步变化,因此电机的电枢上应保持有一定数值的电压。由于Ⅰ型系统中,只有一个积分环节,放大器只能是比例环节,要维持一定的电枢电压,放大器输入端必须有一个偏差电压,所以系统的稳态误差不会等于零,当然开环放大倍数K越大,稳态误差的值愈小。
(4)单位恒值负载扰动输入的影响 如前所述,伺服系统所承受的各种扰动作用也要影响系统的跟随精度。扰动可来自负载、检测装置及其他各种原因。最常见的扰动是负载扰动和从测量装置引入的噪声干扰。为了简便,仅讨论单位恒值负载扰动的影响。
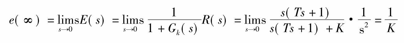
图7-6-5a是给定输入为零,只考虑负载扰动输入时的系统结构图。
图中G1(s)中没有积分环节,G2(s)中包含一个积分环节。对于单位恒值负载扰动。

图7-6-5 负载扰动时系统结构框图
设由M引起的稳态误差为ef,其拉氏变换式为Ef(s)。
由于
R(s)=0,Ef(s)=R(s)-C(s)=-C(s)
图7-6-5b可以更清楚地表达负载扰动输入下的系统结构。
由此可得

这表明恒值负载扰动会使Ⅰ型系统产生稳态误差,误差值的大小与负载扰动作用点之前的传递函数的放大倍数成反比。
7.6.3 动态过程分析
动态过程是指控制系统在输入作用下从一个稳态向新的稳态转变的过渡过程。位置伺服进给系统在跟踪加工的连续控制过程中,几乎始终处于动态的过程之中。
前面已经提到,通常有给定与扰动两种输入作用于控制系统。理想的控制系统应该对给定输入的变化能够准确地跟踪,同时应该完全不受扰动输入的影响。换句话说,系统应该具有很好的跟随性和很强的抗扰性。下面主要讨论有关的动态指标和性能。
在分析系统的动态过程时用时域分析法最为直观,因此这里讨论的是属于时域上的性能指标。由于系统在给定输入和扰动输入下,其输出响应具有不同的物理意义,对系统动态过程的评价相应地提出不同的性能指标。
1.给定输入的跟随性能指标
对于位置随动系统,由于给定值的变化是主要输入,动态过程将围绕这个变化了的给定值而变化。
在r(t)为单位阶跃信号作用下,系统输出c(t)的相应曲线如图7-6-6所示。

图7-6-6 动态跟随过程曲线
分析动态跟随相应曲线的质量时,常用的性能指标有以下几种。
(1)超调量σ% 设系统输出响应在tp时刻到达最大值,其超出稳态值的部分与稳态值的比值称为超调量,通常取百分数形式。即

式中:c(tp)——tp时刻c(t)的值;
c(∞)——t=∞时c(t)的值,即稳态值。
(2)调节时间ts 首先,若把c(∞)的±(2%或5%)形成的区域称为误差带。那么,调节时间ts的定义是:从加上输入量的时刻到输出量c(t)进入而且不再超出误差带为止的一段时间。
以上指标中,调节时间ts愈小表明系统快速性跟随性能愈好,超调量σ%愈小表明系统在跟随过程中比较平稳,但往往也比较迟钝。显然,作为数控伺服系统,希望都能做到愈小愈好。然而,在实际中快速性和稳定性往往是互相矛盾的。压低了超调量就会延长过渡过程,加快了过渡过程却又会增大超调量。因此,需按照加工工艺的要求在各项性能指标中作一定的选择。
2.对扰动输入的抗扰性能指标
抗扰性能是指,当系统的给定输入不变时,即给定量为定值时,在受到阶跃扰动后输出克服扰动的影响自行恢复的能力。
系统抗扰能力的动态指标用的是最大动态变化(降落或上升)和恢复时间。