7.4 伺服电动机工作原理
伺服电动机多应用于自动控制装置的电路中,其作用是将电信号转换成轴上的角位移或角速度,其最大特点是在有控制信号时就旋转,无控制信号时就停转,控制信号强和弱时相应的旋转速度就快和慢,且其转向取决于控制信号的极性。
在闭环伺服驱动系统多采用直流伺服电机和交流伺服电机。伺服电机和普通电机在工作原理方面并无本质的区别,但因控制电机的性能指标不同,所以在结构上有很大的差别。普通电机构成的系统称为电力拖动系统。电力拖动系统对电机性能要求不高,仅仅要求启动和运动状态的性能指标。伺服电机构成的系统常称为伺服驱动系统。伺服驱动系统对伺服电机的要求很高,既要求高精度,又要求动态响应性能好。所以伺服电机比普通电机的价格昂贵。
直流伺服电机同交流伺服电机比较具有容易调速,调速范围大等优点,所以直流伺服系统一直占主导地位。但是,直流伺服电机结构复杂,造价贵,使用维修不方便。所以人们一直致力于交流伺服电机调速系统的研究工作,并且,由于微机技术和电子技术的飞速发展,交流伺服驱动系统的应用得到迅速发展,进入80年代中期交流伺服驱动系统有取代直流伺服驱动系统而占据主导地位的趋势。在下面我们分别介绍两种电动机的结构和特点。
7.4.1 直流伺服电动机
直流电机具有良好的调速特性,为一般交流电机所不及。因此,在对电机的调速性能和启动性能要求较高的机械设备上,以往大都采用直流电机驱动,而不顾及结构复杂和价格较贵等缺点。
1.数控机床中使用直流伺服电动机的类型
归纳起来,目前世界上的数控机床用到的直流伺服电机主要有以下几类。
(1)改进型直流电动机 如果把传统用的直流电动机在设计时减少转动惯量、增大其过载能力,改进其换向性能,使它在静态与动态特性方面有所改善,就可成为数控机床的进给驱动伺服电动机。在早期的欧美数控机床中较多采用这种改进型的直流电动机。
(2)小惯量电动机 随着数控机床的发展,对伺服系统的执行电动机的要求越来越高主要是因为:①尽量小的转动惯量,以保证系统的动态特性。②在很低的转速下,仍能均匀稳定地旋转,以保证低速时的精度。③尽量大的过载倍数,以适应经常出现的冲击现象。
一般直流电动机不能达到上述要求,于是出现了这种特殊的直流电动机——小惯量电动机。小惯量电动机也是直流电动机的一种,其特点是:①转动惯量小,约为普通直流电动机的1/10。②由于电枢反应比较小,具有良好的换向性能,机电时间常数只有几个毫秒。③由于其转子无槽,电气机械均衡性好,尤其在低速时运转稳定而均匀,在转速低达10r/min时,无爬行现象。④最大转矩为额定值的10倍。
(3)永磁直流伺服电动机 由于永磁直流伺服电动机能在较大过载转矩下长期的工作以及电动机的转子惯量较前述两种电动机都大,因此它能直接与丝杠相连而不需要中间传动装置。而且因为无励磁回路损耗,所以它的外形尺寸比与其相类似的励磁式直流电动机为小。它还有一个特点是可在低速下运转,如能在1r/min甚至在0.1 r/min下平稳地运转。因此,这种电动机在数控机床上获得了广泛的应用。自20世纪70年代至80年代中期,在数控机床应用中,它占据着绝对统治地位。至今,许多数控机床上仍然使用着永磁直流伺服电动机。
(4)无刷直流电动机 无刷直流电动机也叫无换向器直流电动机,是由同步电动机和逆变器组成,而逆变器是由装在转子上的转子位置传感器控制。因此,它实质上是交流调速电动机的一种。由于这种电动机的性能达到直流电动机的水平,又取消了换向器及电刷部件,使电动机寿命大约提高了一个数量级,因此多年来引起人们很大的兴趣。
下面以永磁式直流伺服电动机为例简单介绍直流伺服电机的结构及工作原理。

图7-4-1 四极永磁直流电机
1—机壳;2—定子磁极;3—电枢
2.永磁式直流伺服电动机
(1)永磁式直流伺服电动机的结构永磁直流电动机可分为驱动用永磁直流电动机和永磁直流伺服电动机两大类。驱动用永磁直流电动机通常是指不带稳速装置,没有伺服要求的电机,而永磁直流伺服电机则除具有驱动用永磁直流电动机的性能外,还具有一定的伺服特性和快速响应能力。在结构上往往与反馈部件做成一体。当然,永磁直流伺服电动机也可作为驱动用电动机。因为永磁直流伺服电动机允许有宽的调速范围,所以也称宽调速直流电动机,其结构如图7-4-1所示。电机本体由三部分组成:机壳、定子磁极和转子电枢。反馈用的检测部件有高精度的测速发电机、旋转变压器以及脉冲编码器等,安装在电机的尾部。
(2)工作原理永磁式直流伺服电动机的工作原理与普通直流电机相同。用永久磁铁代替普通直流电机的励磁绕组和磁极铁心,在电机气隙中建立主磁通,产生感应电势和电磁转矩。图7-4-2所示为永磁式直流伺服电动机电路原理。
电机电枢电路的电压平衡方程式为
U=EM+IMRM (7-4-1)
感应电动势为
EM=CenΦ (7-4-2)

图7-4-2 他激直流电机电路原理图
有以上两个方程可得电动机转速特性


式中:U——电动机电枢回路外加电压;
RM——电枢回路电阻;
IM——电枢回路电流;
Ce——反电动势系数;
KV——反电动势常数;
Φ——气隙磁通量。
电动机的电磁转矩为
TM=CmΦIM (7-4-4)
因此可得电动机机械特性方程式为
n=UCeΦ-RMCeCmΦ2TM (7-4-5)
式中:Cm——转矩系数。

图7-4-3 不改变外加电压时的机械特性(UN>U1>U2)
式(7-4-5)描述了电枢转速与转矩间的关系,称为电机的机械特性。图7-4-3所示为机械特性曲线。图中不同的电枢电压对应不同的曲线,各曲线彼此平行。n0即
称为“理想空载转速”而△n即
称为转速降落。电机速度控制单元的作用是将转速指令信号改变为相应的电枢电压值。
(3)工作特性 永磁式直流伺服电机的性能可用其工作特性曲线来描述,下面介绍转矩-速度特性曲线和负载周期曲线。
①转矩—速度特性曲线。又称工作曲线,如图7-4-4所示,伺服电机的工作区域被温度极限线、转速极限线、换向极限线、转矩极限线以及瞬时换向极限线划分为三个区域。Ⅰ为连续工作区,在该区域内可对转矩和转速做任意组合,都可长期连续工作;Ⅱ为断续工作区,此区域电机只能按负载周期曲线所决定的允许工作时间和断电时间做间歇工作;Ⅲ为加(减)速区域,电机只能用做加(减)速工作一段极短的时间。
②负载周期曲线。如图7-4-5所示,该曲线表示在满足机械所需转矩,而又确保电机不过热的情况下,允许电机工作的时间。因此,这些曲线是由电机温度极限决定的。负载周期曲线的使用方法是:首先根据实际负载转矩的要求,求出电机在改值下的过载倍数,即
Tmd=负载转矩连续额定转矩 (7-4-6)
然后在负载周期曲线的水平轴线上找到实际机械所需要的工作时间,并从该点向上作垂线,与所需要的曲线相交。再从该点作水平线,与垂直轴相交的点即为允许的负载工作周期比,即

图7-4-4 转矩-速度特性曲线

图7-4-5 负载周期曲线

式中:tR——电机的工作时间;
tF——电机的断电时间。
最后可求出最短的断电时间为

(4)直流伺服电动机的速度控制方法 对于直流电动机,控制速度的方法可以从直流电动机的工作原理来分析。由式(7-5)可以看出,对于已经给定的直流电机,要改变它的转速,有三种方法:①改变电枢回路电阻;②改变气隙磁通量;③改变外加电压。前两种方法的调速特性不能满足数控机床的要求。第三种方法的机械特性如图7-4-3所示。图中Ue为额定电压值。改变外加电压调速方法的特点是具有恒转矩的调速特性,机械特性好。因为采用减小输入功率方式减小输出功率,所以经济性能好,调速方法得到了广泛的应用。永磁直流伺服电机的调速都采用这种方式。所以,直流电机控制单元的作用是将转速指令信号改变为相应的电枢电压值。
在数控机床驱动装置中,直流电机速度控制大多采用晶闸管调速系统和晶体管脉宽调制调速系统。下面对这两种控制方式作简单介绍。
①晶闸管调速装置。晶闸管,又称可控硅(SCR),是一种大功率半导体器件,由阳极A、阴极K和控制极G组成。当阳极与阴极间施加正电压且控制极出现触发脉冲时,可控硅导通。称触发脉冲出现的时刻为触发角α。控制触发角α即可控制可控硅的导通时间,从而达到控制电压的目的。
晶闸管速度控制只通过改变晶闸管触发角α,对电动机进行调速范围较小。为满足数控机床的调速范围需要,可采用带有速度反馈的闭环系统。为增加调速特性的硬度,需再加一个电流反馈环节,实现双环调速。图7-4-6所示为一个典型的双环调速系统。

图7-4-6 双环调速系统结构框图
②脉冲宽度调制器直流调速系统(简称PWM)。所谓脉冲宽度调速,是利用脉冲宽度调制器对大功率晶体管开关放大器的开关时间进行控制,将直流电压转换成某一频率的方波电压,加到直流电机的电枢两端,通过对方波脉冲宽度的控制,改变电枢两端的平均电压,从而达到调节电机转速的目的。直流脉宽调速系统主要采用了转速电流双闭环的系统结构,如图7-4-7所示。其主要优点是频带宽、电流脉动小、波形系数小、电源功率因数高等。

图7-4-7 直流脉宽调速系统框图
7.4.2 交流伺服电动机
由于直流伺服电机具有优良的调速性能,因此长期以来,在要求调速性能较高的场合,直流电机调速系统的应用一直占据主导地位。但直流电机存在一些固有的缺点,如它的电刷和换向器容易磨损,需要经常维护;由于换向器换向时会产生火花,使电机的最高转速受到限制,也使应用环境受到限制;而且直流电机的结构复杂,制造困难,所以铜铁材料消耗大,制造成本高。而交流电机特别是交流感应电机没有上述缺点,并且转子惯量较直流电机小,使电机的动态响应更好。在同样的体积下,交流电机的输出功率可比直流电机提高10%~70%。
1.交流伺服电机的分类和特点
在交流伺服系统中既可以用交流感应电机也可以用交流同步电机。
交流感应电机按所用电源种类可以分为三相和单相两种。从结构上分又有带换向器和不带换向器的两种。通常多用不带换向器的三相感应电机。其结构是定子上装有对称三相绕组,而在圆柱体的转子铁心上嵌有均匀分布的导条,导条两端分别用金属环联成一个整体(称笼式转子)。因此这种电机也称笼式电机。当对称三相绕组接三相电源后,由电源提供励磁电流,在定子和转子之间的气隙内建立起同步转速的旋转磁场,依靠电磁感应作用,在转子导条内产生感应电势。因为转子上的导条已构成闭合回路,转子导条中就有电流流过,从而产生电磁转矩,实现由电能转变成机械能的能量变换。
交流同步电机与感应电机的最大差别是同步电机的转速与电源的频率之间存在严格的关系,即在电源电压和频率固定不变时,其转速保持稳定不变。因此,由变频电源供电给同步电机时,便可获得与频率成正比的可变转速,调速范围宽,机械特性硬。
交流同步电机的定子结构与感应电机一样,而转子结构不一样。在数控机床进给驱动中常采用永磁式同步电机,即转子用永磁式结构其优点是结构简单、运行可靠、效率较高。若采用高剩磁感应,高矫顽力的稀土类磁铁等,可比直流电机的外形尺寸约减小1/2,重量减轻60%,转子惯量减到1/5。与异步电机相比,由于采用永磁铁励磁消除了励磁损耗和杂散损耗,所以效率高。通常永磁交流伺服电机是指永磁同步电机。
2.永磁交流伺服电机的结构及工作原理
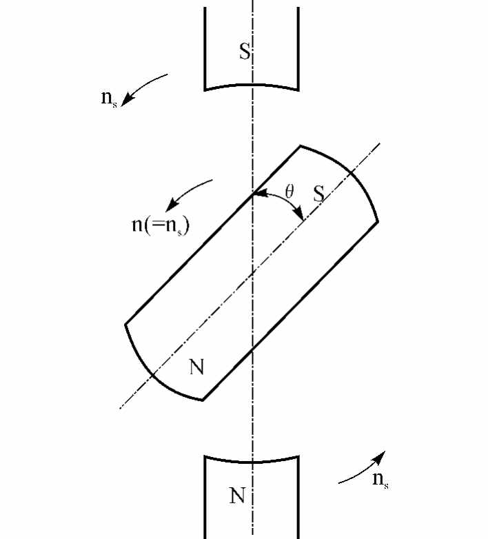
永磁交流伺服电机结构示意如图7-4-8所示。由图可见,永磁交流伺服电机主要由三部分组成:定子、转子和检测元件。其中定子具有齿槽,内有三相绕组,形状与普通感应电机的定子相同。但其外部表面呈多边形,并且无外壳,这有利于散热,可以避免电机发热对机床精度的影响。转子由多块永久磁铁等组成,这种结构的优点是气隙磁密较高,极数较多。
图7-4-9是永磁交流伺服电机工作原理简图,图中只画了一对永磁转子,当定子三相绕组通上交流电源后,就产生一个旋转磁场。旋转磁场将以同步转速旋转。根据磁极的同性相斥,异性相吸的原理,定子旋转磁极吸引转子永磁磁极,并带动转子一起同步旋转。当转子加上负载转矩后,造成定子磁场轴线与转子磁极轴线的不重合,如图7-4-9中所示的θ角。随着负载的增加,θ角也随着增大,当负载减小时,θ角也随着减小。当负载超过一定极限后,转子不再按同步转速旋转,甚至可能不转。这就是同步电机的失步现象。因此负载极限称为最大同步转矩。

图7-4-8 永磁交流伺服电机
1—定子;2—永久磁铁;3—轴向通风孔;4—转轴

图7-4-9 永磁交流伺服电机工作原理图
永磁同步电机的缺点是启动比较困难。这是因为当三相电源供给定子绕组时,虽已产生旋转磁场,但转子处于静止状态,惯性较大而无法跟随旋转磁场转动。解决的办法是在转子上装启动绕组,常采用笼式启动绕组。笼式启动绕组将使永磁同步电机如同感应电机一样,产生启动转矩,使转子开始转动,然后电机将以同步转速旋转。另一种办法是在设计中设法减低转子的惯量或采用多磁极等使定子旋转磁场的同步转速不很大,使永磁交流伺服电机能直接启动。还可以在速度控制单元中采取措施,让电机先在低速下启动,然后再提高到所要求的速度。
3.交流电机速度控制单元
(1)交流电机的调速方法根据交流电动机工作原理,当电机定子三相绕组通三相交流正弦电源时,将建立旋转磁场,其主磁通Φm的空间转速称为同步转速n0。其值为:

若电机的实际转速为n,则电机的转差率为:

式中:f——电源电压频率;
p——电机磁极对数。
由上式可见,改变异步电动机转速的方法有三种。
①改变磁极对数P调速。磁极对数可变的交流电动机称为多速电动机。通常磁极对数设计成4/2,8/4,6/4等几种。显然,磁极对数只能成对地改变,转速只能成倍地变化。
②改变转差率调速。只能在绕线式异步电动机中使用,在转子绕组回路中串入电阻,通过改变电阻值的大小,可以改变转差率的大小。串入电阻值大,转差率大,转速低;串入电阻值小,转差率小,转速高。调速系统的调速范围为3∶1。
③改变频率调速。如果电源频率能平滑调节,电机转速也就可以平滑改变。目前,高性能交流电动机伺服驱动系统都采用改变频率调速方法。能改变频率的装置称变频器(VFD)。
(2)变频调速器调速 在实际调速时,单纯改变频率是不够的,因为定子相电压为

由上式可见,如果在变频调速中,保持定子电压不变,则主磁通Φm大小将会改变。因为在一般电机中,Φm值通常是在工频额定电压的运行条件下确定的,为了充分利用电机铁心,把磁通量选在接近磁饱和的数值上。因此,在变频调速过程中,如果频率从工频往下调节,则Φm上升,将导致铁心过饱和而使励磁电流迅速上升,铁心过热,功率因数下降,电机带负载能力降低。因此,必须在降低频率的同时,降低电压,以保持Φm不变。这种频率和电压的配合变化称为恒磁通变频调速中的协调控制。
我国电网频率为50Hz,是固定不变的,而数控机床的能源都是取自交流电网。因此,设计一个价格便宜、工作可靠、控制方便的变频器已成为自动控制系统中的一个重要研究课题。目前国内主要采用晶闸管和功率晶体管组成的静态变频器。这种变频器先将工频交流电压整流成直流电压,再经过变频器变换成可变频率的交流电压,这种变频器称间接变频器,或称交-直-交变频器,如图7-4-10a所示。另一类变频器没有中间环节,直接由电网的工频电压变换成频率、电压可调的交流电压,这种变频器称直接变频器,或称交-交变频器,如图7-4-10b所示。

图7-4-10 变频器结构框图
直接变频器只需进行一次电能的变换,所以变换效率高,工作可靠。缺点是频率的变化范围有限,多用在低频大容量的调速。间接变频器需进行两次电能的变换,所以变换效率低,但频率变化范围大不受限制,目前已成为交流电机变频调速的典型方法。
(3)正弦波脉宽调制(SPWM)原理 间接变频器输出的都是矩形波,含有较大的谐波分量。用这种矩形波作为电机电源,不但效率低,而且工作性能也差。若用交流滤波器滤去谐波分量,会使脉冲波形特性变坏。目前广泛采用脉宽调制技术(PWM变频器)可解决上述问题。PWM变频器输出的是一系列频率可调的脉冲波,脉冲的幅值恒定,宽度可调。根据比值,在变频的同时改变电压,如按正弦波规律调制,就得到接近于正弦波的输出电压,从而使谐波分量大大减小,提高了电机的运行性能。
随着电力电子学、微电子学及自动控制学的不断发展,交流伺服系统向着全数字化的控制系统前进。如美国Intel公司的16位单片机8096或80C196型或TP86A单板机等在伺服系统中的应用,使伺服系统中硬件数量大为减少,抗干扰能力随之提高。可以用软件实现速度检测运算、位置的检测、辨向与运算控制,电流相位检测和运算,三相电流生成等,从而实现全数字化控制。在采用微机控制软件方案时,主要考虑的问题是运算速度。数字信息处理器(DSP)是专为处理高速信息信号而开发的一种最新的电机控制技术,内装有并行乘法器,可以实现数字滤波和频率分析的快速傅里叶变换的乘法运算,是一种有前途的数字控制方法。