6.1 速度控制的基本概念和指标
6.1.1 速度控制的基本概念
1.速度控制
电动机的速度控制,又称电动机的调速。所谓调速,是在机械传动系统中人为地或自动地改变电动机的转速,以满足工作机械对不同转速的要求。调速和由于负载变动引起的转速变化是不同的概念,例如在图6-1-1中所示的,人为地使电压由UN降至U1时,在保持负载转矩为TN不变的条件下,稳态时的转速由na降至nb,称为调速。若U=UN不变,负载转矩由TN增加至TN',则稳态时的转速将自动地由na降至nc,这称为由负载变动而引起的速度变化(或转速波动)。

图6-1-1 调压调速
2.调速的必要性
调速是机床对其电力拖动系统提出的重要要求。
当然某些小型机床对转速的要求并不高,但是大多数机床对其电力拖动系统的转速调节有不同程度的要求。
机床加工工作时,由于工件直径大小不同、材料的硬度和性质不同、要求的精度和表面粗糙度不同,所用刀具也可能不一样,为保证得到最经济的切削速度,则要求机床能在不同的转速下工作。这就对电力拖动系统提出了速度的要求。
机床不仅要求调速,在许多情况下还要求速度稳定(稳速)。图6-1-2为直流电动机的机械特性,它是向下倾斜的,可见即使固定在某一转速下工作,如工作在A点,但在加工时,由于电源电压的波动,工件毛坯余量不同、材质不均匀、摩擦力变化等原因,必然引起负载转矩Tc的变化。例如TN1~TN2之间变化,使工作点在A1和A2间变化,从而使转速在n1和n2之间波动,显然这种变化不是“人为”的,是速度的波动,是不希望的。它会影响到产品的加工质量,尤其电动机在低速运行时,如果负载波动大,不仅影响加工精度,而且还可能破坏电动机的正常工作,甚至使电动机停车。故要想办法使电动机转速尽量不随外界扰动而变化,始终能精确地保持在所需要的数值上,这就要求速度控制系统既能调节速度,又能稳定速度。

图6-1-2 直流机的机械特性
由上述看出,速度控制对提高产品质量和劳动生产率有着非常重要的作用。
3.机床的调速方法
为了满足各种工作速度的要求,目前普通机床常用的调速方法有三种:
(1)机械有级调速 在这种系统中电动机转速不变,而是通过改变齿轮变速箱的变速比得到机床主轴的不同转速。这种机械变速,不能保证最有利的切削速度,而且调速装置体积大,造价又高。
(2)电气和机械配合的有级调速 机床的传动系统采用多速异步电动机,再与齿轮变速箱变比相配合而获得不同的转速。这样可以减小机床变速箱体积,而且可以得到较多的不同速度,但多速电动机比单速电动机造价要高得多。
(3)电气无级调速 就是机床执行机构所需的不同转速是通过直接改变电动机的转速而实现的,这种机床的齿轮变速箱改为减速器,从而使机床的传动系统变得很简单,这一点对重型机床来说是非常重要的,同时电气无级调速系统调速范围宽、控制灵活,可以实现远距离操作。因此,机床一般使用的是电气无级调速。由于拖动系统采用电动机种类不同,电气无级调速系统有直流调速和交流调速两种类型。
6.1.2 调速系统的静态技术指标
各种机床,对控制系统都有一定的要求:例如,精密机床要求加工精度达到百分之几毫米甚至几微米;大型铣床的送进机构,快速移动最高速达到600mm/min,而精加工时最低速只有2mm/min,这些要求可以转化成电力拖动控制系统的静态或动态技术指标。静态技术指标主要有调速范围D,静差率S,调速的平滑性和经济性以及系统与负载配合的能力等,它们反映了调速系统的稳定性能。
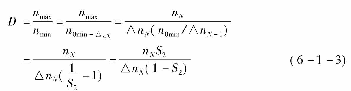
1.调速范围D
在额定负载转矩TN下,电动机的最高转速nmax与最低转速nmin之比称为调速范围D。

如图6-1-3所示,通常将nmax视为电动机的额定转速nN。一般希望调速系统D大一些好。
2.静差率S
静差率S是指电动机由理想空载增加到额定负载时,对应的转速降ΔnN与其理想空载转速n0之比,采用百分数表示,即


图6-1-3 恒功率调速的特性
静差率主要表示负载变化时,调速系统转速变化的程度。在同一负载下,高速运行和低速运行时,转速降Δn是相同的(图6-1-3)。但在高速和低速运行时,对应的理想空载转速n01和n02却不同,n01>n02,显然高速时S1较小,低速时S2较大,当低速时S2能满足要求的话,则高速时就更能满足要求了,所以用调速范围D内最低速时的静差率S2代表系统能达到的静差率。
通过利用已有的数学式,可以找到D,S和△nN三者之间的关系

由式(6-1-3)可见,ΔnN一定时,要求S越小,则调速范围D也越小;若要满足D和S的要求,则要设法使ΔnN减小。
3.调速的平滑性
用两个相邻转速之比中表示

即从某一转速ni与能调节到的最邻近的转速ni-1之比来评价。显然。Ф值愈小,说明愈平滑,无级调速时Φ≈1。
4.调速的经济性
用调速的设备费用、能量消耗、维护及运转的费用来评价其经济性。