1
肃州非物质文化遗产 酒泉民歌
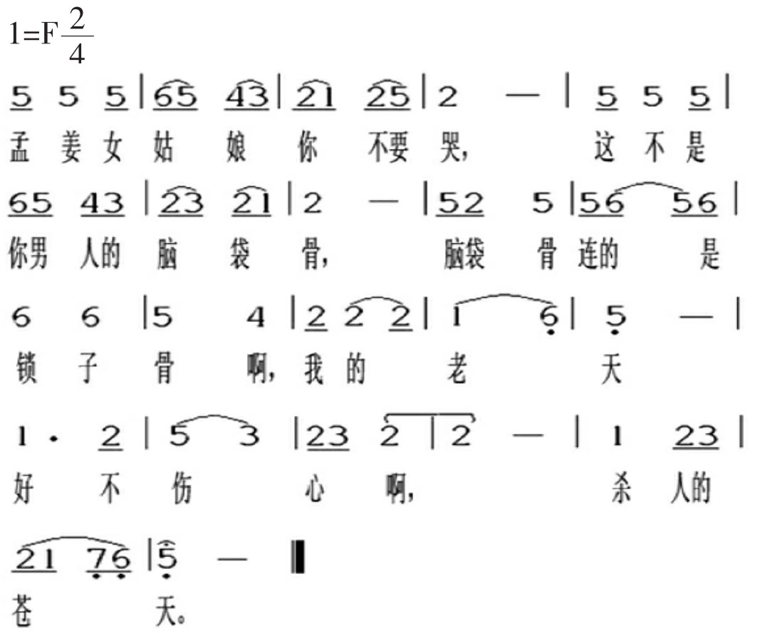
1.3.23 孟姜女哭长城

孟姜女哭长城

img147