第四节 失业与通货膨胀
失业与通货膨胀是目前世界各国经济中普遍存在的主要问题,无论是发达国家还是发展中国家,都不同程度地存在着失业与通货膨胀两大社会问题。人们不禁要问,今天的社会,我们是否还能够享受充分就业和物价稳定的幸福呢?因此,失业与通货膨胀问题是宏观经济学研究的主要问题之一。
一、失业理论

(一)失业的含义
什么是失业?失业是否等同于没有工作?有些人没有工作是由于年老或年幼,有些是由于不愿意参加工作。经济学上的失业是指有劳动能力的人却找不到工作的状态。所以,失业者首先是在一定的年龄范围内;其次是自身愿意工作,并在努力寻找工作。
一个国家或地区的失业程度如何,不是看失业总人数的多少,而是看失业率的大小。失业率是指失业人数与劳动力总数的比率,用百分数表示,其计算公式如下:劳动力总数=失业人数+就业人数
生活中的经济学
美国2010年12月失业率大幅降低
1月7日,美劳工部公布,上一年12月份全美非农就业人数增加10.3万人,其中私营部门就业人数增加11.3万人,主要是休闲娱乐和医疗保健行业增加较多,政府部门则减少1.0万人,主要是地方政府裁员所致;失业总人数为1450万人,失业率9.4%,为2009年5月以来最低水平,比上月下降0.4个百分点,降幅创十余年来之最。12月份,全国工人平均每周工作时间为34.3小时,与上月持平;平均小时工资22.78美元,增加0.03美元。
(二)失业的类型
由于失业的原因不同,失业可以分为三大类:自然失业、周期性失业和隐蔽性失业。
1.自然失业
自然失业是指由于经济中某些难以避免的原因所引起的失业。在任何动态市场经济中,这种失业都是必然存在的。自然失业又可以根据其具体原因的不同分为以下类型:
(1)摩擦性失业。这是由于人们在不同的地区、职业或生命周期的不同阶段不停地变动工作而引起的失业。也就是说,在一个动态的经济中,总有一部分人或自愿或被迫离开原来的地区或职业,从离开旧工作到找到新工作之间总有一段时间间隔,这时期中的人就处于失业状态。例如,一个人自动离开原来的工作而想换一个新的工作,在新旧工作转换之间就会有一段失业期;一个大学生在毕业后寻找第一份工作也存在一段时间的失业。
(2)结构性失业。这是指劳动力供应种类与社会对劳动力需求的种类不相吻合,由此而导致的失业。这时,劳动力的供求在总量上也许是平衡的,但在结构上不一致,出现了“有人没事做,有事没人做”的局面。例如,在电子时代,对技术人员的需求增加,而对普通工人的需求减少。另外,由于存在某些歧视,例如种族歧视、性别歧视,也会造成结构性失业。
(3)季节性失业。这是由于某些部门、某些行业的间歇性生产特征而造成的失业。如就农业而言,在春耕和秋收季节,就业人数会增加;而在农闲季节就业人数就会减少。旅游业往往也有旅游旺季和淡季之分。
(4)技术性失业。由于技术进步所引起的失业。在经济增长过程中,技术进步的必然趋势是生产中越来越广泛地采用资本密集型技术,越来越先进的设备代替了工人的劳动。这样,对劳动力需求的相对缩小就会使失业增加。此外,在经济增长过程中,资本品相对价格的下降和劳动力价格的相对上升,加剧了机器取代工人的趋势,从而也加重了这种失业。
(5)古典失业。由于工资刚性所引起的失业。按照古典经济学家的假设,如果工资具有完全的伸缩性,则通过工资的调整能实现人人都有工作。但由于人类本性不愿使工资下降,且工会的存在与最低工资法又限制了工资的下降,这就形成工资只能升不能降的工资刚性。这种工资刚性的存在,使部分工人无法受雇而失业。这种失业是由古典经济学家提出的,所以称为古典失业。
生活中的经济学
冬季的青海湖
青海湖是青藏高原上的一颗“蓝宝石”和生物多样性宝库,是青海省特色旅游的王牌景点,一向以独特的自然景观和民族风情吸引着中外游客。由于青藏高原地理位置特殊,青海湖的旅游淡、旺季分界非常明显。冬季是青海湖的旅游淡季,造成许多旅游从业者季节性失业和大量旅游设施闲置。
自2007年下半年起,青海湖一改过去冬季歇业的传统做法,规定冬季青海湖各景区不得放假,并把门票价格下调50%,据青海湖景区保护利用管理局统计,2007年11月16日至2008年1月20日,青海湖景区共接待游客2.5万多人次,旅游业总收入达126万元。
2.周期性失业
周期性失业是随着经济周期的波动而出现的。在经济的复苏和繁荣阶段,各厂商扩大生产,对劳动力的需求增加,就业人员增加;而在经济的衰退期,由于需求的减少,各厂商对劳动力的需求也减少,这样就会形成失业大军。根据凯恩斯的分析,就业水平取决于国民收入水平,而国民收入水平又取决于总需求。在经济周期的萧条阶段,由于总需求不足而引起的短期失业就是周期性失业。
3.隐蔽性失业
隐蔽性失业是指表面上有工作,但实际上对生产并没有贡献;或者说,这些人的边际生产力为零。也就是我们常说的“三个人的活五个人干”。这种失业导致的后果是劳动效率下降,给经济带来巨大损失。在发展中国家,这种失业特别严重。
(三)充分就业
充分就业并不是指人人都有工作,在任何一个经济中存在一定的失业是难免的。这种在实现了充分就业时仍然存在的失业就是自然失业。消除了周期性失业时的就业状态就是充分就业。实现了充分就业时的失业率称为自然失业率或长期均衡失业率。
充分就业与自然失业并存并不矛盾。这是因为,经济中造成失业的原因有些是难以克服的,劳动市场并不是十分完善的。这种失业的存在不仅是必然的,而且也是必要的。因为这种失业的存在,能作为劳动后备军随时满足经济发展对劳动的需求,并作为一种对就业者的就业竞争压力,促使就业者提高劳动生产率。
自然失业率的高低取决于劳动市场的完善程度、经济发展状况等各种因素。
(四)失业对经济的影响
一定程度的失业对经济的发展有促进作用。首先,失业的存在可以提高工作效率。因为如果大家都有工作,那么,劳动者必然失去工作的压力和对工作的积极性,所以一定失业率的存在,可以提高劳动者的工作积极性,从而提高工作效率。其次,失业可以提高整个社会对劳动力资源的配置。随着生产技术与需求的变动,各部门与地区的劳动需求在不断变动,劳动力为适应这种需求的变动而改变工作就是劳动力配置不断优化的过程,而这个过程恰恰是以摩擦性失业为代价的。失业在经济存在中的不利影响更为突出。
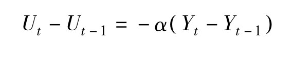
第一,失业的存在导致了社会产量的减少。这种损失的大小取决于失业率的高低。美国经济学家阿瑟·奥肯(1928—1980)在20世纪60年代提出了用以说明失业率与国民生产总值增长率之间关系的规律。这条规律被称为“奥肯定理”,可用公式表示为:

在上式中,Ut为t期的失业率,Ut-1为(t-1)期的失业率,Ut-Ut-1为失业率的变动率;Yt为t期的实际国民生产总值率,Yt-1为(t-1)期的实际国民生产总值率,Yt-Yt-1为实际国民生产总值增长率的变动率。这两者为反方向运动,即失业率增加,实际国民生产总值增长率减少;反之,失业率减少,实际国民生产总值增长率增加。所以,α为负值,表示失业率与实际国民生产总值增长率变动之间的系数。该系数为3左右,即失业率每变动1%,则实际国民生产总值变动3%。或者说,失业率每增加1%,实际国民生产总值减少3%;反之,失业率每减少1%,实际国民生产总值增加3%。也有的经济学家认为,该系数为2左右。
第二,失业会导致人力资本的损失。人力资本是人受到教育和获得技能的价值,人力资本来源于所受到的教育和在工作中所获得的经验。失业一方面使原有的人力资本得不到运用,另一方面人力资本得不到增值。
第三,失业会给社会带来不利影响。失业使个人收入减少,同时使失业者的精力、信心遭受严重的打击,引发许多的社会与政治问题。因此,失业不利于社会的稳定,容易造成社会动荡不安,犯罪率上升等。
二、通货膨胀理论
(一)通货膨胀的定义
1.通货膨胀的概念
通货膨胀(Inflation)是指商品和服务的货币价格总水平持续上涨的现象。这个定义包含以下几个要点:
(1)强调把商品和服务的价格作为考察对象,目的在于与股票、债券以及其他金融资产的价格相区别。
(2)强调“货币价格”,即每单位商品、服务用货币数量表示的价格。需要说明,通货膨胀分析关注的是商品、服务与货币的关系,而不是商品、服务与商品、服务相互之间的对比关系。
(3)强调“总水平”,这里关注的是普遍的物价水平波动,而不仅仅是地区性的或某类商品及服务的价格波动。
(4)关于“持续上涨”,是强调通货膨胀并非偶然的价格波动,而是一个“过程”,并且这个过程具有上涨的趋向。
2.通货膨胀的衡量
通货膨胀一般用平均物价水平即物价指数来衡量。物价指数是指用基期的平均物价水平的百分比来衡量某一时期的平均物价水平。通货膨胀的大小用物价指数来表示,称为通货膨胀率。如物价指数上升了5%,通货膨胀率就是5%。如果物价下跌,就用通货膨胀率“负”百分之几来表示。
生活中的经济学
我国1980—2009年通货膨胀情况

物价指数分为消费物价指数(CPI)、批发物价指数(WPI)与国民生产总值平减(缩减)指数。
(1)消费物价指数:是根据具有代表性的家庭消费开支所编制的物价指数。它包括所有消费商品和劳务(包括耐用消费品)。中国从1984年开始编制消费物价指数,从统计年鉴上可直接查到。许多国家根据不同收入阶层的消费支出特点,进一步编制出不同阶层的消费物价指数。这种指数的优点是资料较易搜集。公布频率较快(通常为每月一次),因此,能迅速地反映直接影响民生的物价趋势。其缺点是范围较窄(资本品和进出口商品的价格均不包括在内)。而且,它也不能正确地表现消费商品与劳务的质量改善(不过,这一缺点在其他指数中也存在)。
(2)批发物价指数:不同于零售价格指数,批发物价指数是根据制成品和原料的批发价格编制而成的指数。这一指数的优点是对商业循环较为敏感,但缺点是因为各种劳务并不包括在内,其范围较消费物价指数更为狭窄。
(3)国民生产总值平减(缩减)指数:是涵盖范围较宽的指数,它的定义是按当年价格计算的国民生产总值对按固定价格计算的国民生产总值的比率。
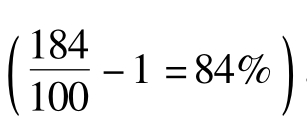
举例,设某国在2008年的国民生产总额按当年价格计算为9446亿元,而按2007年固定价格(即指数基期为2007年=100)计算则为5133亿元,则2008年的平减指数是:

换言之,2008年和2007年相比较,物价上涨了84%
。再设2007年的平减指数是169,则2008年和2007年相比较,物价上涨了8.9%
国民生产总值平减指数的优点是它的范围较为广泛,除了私营部门的消费外,也包括公营部门的消费、资本品(如房屋建筑、机器、设备、厂房、原料和半制成品),进出口商品与劳务等的价格在内,因此较能准确地反映一般物价水平的趋向。缺点是资料较难搜集,公布频率不如消费物价指数快。多数国家通常为每年一次,即使在国民收入统计制度最完善的国家,目前也只能做到每季度一次,所以不能迅速地表达通货膨胀的程度和动向。
以上三种指数,以消费物价指数和国民生产总值平减指数较为适当,因此也最普遍地被采用为度量通货膨胀的尺度。但这两个指数也并非是最正确的尺度,因为两者都不同程度地遗漏了一些资产的价格。
(二)通货膨胀的类型
根据通货膨胀率的大小,即通货膨胀的严重程度,可以把通货膨胀分为三类:温和的通货膨胀、奔腾的通货膨胀和超速的通货膨胀。
1.温和的通货膨胀
温和的通货膨胀是指通货膨胀率低且以较稳定的价格水平上升。一般认为通货膨胀率在两位数之内为温和的通货膨胀。有的经济学家把通货膨胀率在5%以下的通货膨胀称为爬行的通货膨胀,这种通货膨胀下物价较为稳定,货币不会有明显的贬值,对经济不会造成明显的影响。有的经济学家认为这种通货膨胀可以刺激经济增长。
2.奔腾的通货膨胀
奔腾的通货膨胀是指通货膨胀率为两位数甚至是三位数。在这种通货膨胀下,对经济会造成不利的影响。由于货币的快速贬值,一方面使得契约交易变得十分困难,影响了市场的正常运行;另一方面货币的贬值,使得货币的实际利息率下降,这样,人们会避免持有任何多余的货币,而是多购商品,金融市场受到扰乱。
3.超速的通货膨胀
超速的通货膨胀是指通货膨胀率以三位数甚至于更高的速度发展。这种通货膨胀对经济的影响是致命的。在这种情况下,货币失去了交易的功能,金融体系崩溃,经济生活混乱。在南北战争期的美国,第二次世界大战后的匈牙利、中国都发生过这种通货膨胀。美国经济学家萨缪尔森在他著名的《经济学》一书中,对美国南北战争时南部联邦的超速通货膨胀有这样的描述:“在过去,我们把钱放在口袋里到商店去买商品,用篮子装回商品。现在,我们是用篮子装钱,然后用口袋装回商品。人们只有货币,其他东西都是缺乏的。整个市场价格混乱,生产趋于崩溃。现在,每个人都储藏“东西”,尽可能用掉“坏的”货币。“坏的”货币把“好的”金属货币赶出了流通领域。结果是,部分地回到了物物交换的不方便的状况。”
生活中的经济学
20世纪20年代德国的过度通货膨胀
当时,德国在战争中丧失了10%的人口和将近七分之一的土地,换来的是每年1320亿金马克的赔款,相当于1921年德国商品出口总值的四分之一。德国拿不出这笔钱,法国就联合比利时、波兰,毫不客气地进入了德国经济命脉鲁尔工业区,史称“鲁尔危机”。手忙脚乱的德国政府走投无路,断然采取了千古不变的饮鸩止渴的老办法:大量增发纸币。
真正的灾难由此开始了。随着印刷机的全速开动,1921年1月31日,世界金融史上前所未有的恶性通货膨胀,如同张开翅膀的死神,扑向了已经奄奄一息的德国经济。人们尚未来得及摆脱战败的沮丧和羞辱,严峻的生计问题就噩梦般紧逼了上来。
那么,这次通货膨胀严重到了什么程度?可以这样打一个比喻:如果一个人在1922年初持有3亿马克债券,仅仅两年后,这些债券的票面价值就买不到一片口香糖了。对所有的企业主来说,薪水必须按天发放。不然,到了月末,本来可以买面包的钱只能买面包渣了。发工资前,大家通常都要活动一下腿脚,准备好起跑姿势,钱一到手,立刻拿出百米冲刺的速度,冲向市场与杂货店。那些腿脚稍微慢了几步的,往往就难以买到足够的生活必需品,而且会付出更高的价格。
农产品和工业品生产都在急剧萎缩,市面上商品奇缺,唯一不缺的就是钱。孩子们把马克当成积木,在街上大捆大捆地用它们堆房子玩耍。1923年,《每日快报》上刊登过一则轶事:一对老夫妇金婚之禧,市政府发来贺信,通知他们将按照普鲁士风俗得到一笔礼金。第二天,市长带着一众随从隆重而来,庄严地以国家名义赠给他们1000000000000马克—相当于0.24美元或者半个便士。更有甚者,就连钞票也先是改成单色油墨印刷,继而又改成单面印刷—因为来不及晾干。而最经典的一幕,莫过于一名女子用马克代替木柴,投入火炉中烧火取暖,因为这样更划算一些。
(三)通货膨胀的原因分析
1.需求拉上型通货膨胀
这是从总需求的角度来分析通货膨胀的原因,认为通货膨胀的原因在于总需求过度增长,总供给不足,即“太多的货币追逐较少的货物”,或者是“因为物品与劳务的需求超过按现行的价格可得到的供给,所以一般物价水平便上涨”。总之,就是总需求大于总供给所引起的通货膨胀。对于引起总需求过大的原因又有两种解释:一是凯恩斯主义的解释,强调实际因素对总需求的影响;二是货币主义的解释,强调货币因素对总需求的影响。与此相对应,也就有两种需求拉上的通货膨胀理论。
(1)凯恩斯主义的解释。当经济中实现了充分就业时,表明资源已经得到了充分利用。这时,如果总需求仍然增加,就会由于过度总需求的存在而引起通货膨胀,可以用膨胀性缺口这一概念来说明这种通货膨胀产生的原因。
膨胀性缺口是指实际总需求大于充分就业总需求时,实际总需求与充分就业总需求之间的差额。如图8-2所示。

图8-2 膨胀性缺口
膨胀性缺口与需求拉上的通货膨胀之间的关系如图8-3所示。

图8-3 膨胀性缺口与通货膨胀
凯恩斯强调通货膨胀与失业不会并存,通货膨胀是在充分就业实现后产生的。但实际上,在经济中未实现充分就业时,也可能产生通货膨胀。因为在产量增加的同时总需求增加,也会引起通货膨胀。如图8-4所示。

图8-4 未充分就业时的通货膨胀
当总需求为AD0时,决定国民收入水平为Y0,价格水平为P0,这时国民收入并没
有达到充分就业的水平Yf。当总需求增加到AD1时,国民收入增加到了Y1,这时国民收入仍没有达到充分就业的水平Yf,但伴随着国民收入的增加,价格水平上升到了P1,于是,由于总需求的增加而发生了通货膨胀。这是因为当总需求增加后,总供给的增加并不能迅速满足总需求的这种增加,产生短缺,价格上升。但由于经济中没有充分就业,价格的上升刺激了总供给,国民收入也增加了。
(2)货币主义的解释。货币主义者认为,货币供应量增加,社会名义总需求的增长,并不能自发带动就业量的增长,即国民收入、就业量、总供给量不会因此而有实际的变化。该理论以费雪方程式为基础,说明货币超量发行的后果。
MV=PT或P=MV/T
上式中,M为货币供应量,V为货币流通速度,MV即名义总需求,P为价格水平,T为产品总量或产出量,PT为名义总供应量。根据MV=PT的恒等关系,如果货币供应量增加,导致名义总需求的上升,由于它并不能自动导致就业量和产出量的相应增加,这样,当MV增加时,现有产出量T不能增加,结果P(价格水平)就必定随货币供应量M的增加而上升。
费雪方程说明,当存在人们对通货膨胀的预期时,货币当局或政府的货币政策对实际国民收入不会产生影响。当政府为抑制通货膨胀减少货币供应量时,公众都会用加速花钱的办法(挤兑、增大消费支出)来加快V,这样,加快抵消M的下降,价格水平保持不变;同样,出现失业和衰退时,政府向经济中投放更多货币,但公众会降低V,多增加的M被储蓄起来,达不到刺激实际总需求的目的。
生活中的经济学
美国20世纪60年代的需求拉上通货膨胀
美国,1960年,通货膨胀是温和的一年,通货膨胀率为2%,但到1966年通货膨胀率缓慢地上升到3%。然后在1967年,由于政府用于越南战争的购买大量增加,用于社会计划支出增加和货币供给增长率的提高共同使总需求较迅速地上升。结果,总需求曲线向右移动加快,物价水平迅速地上升。实际的GDP高于潜在GDP,失业率下降到低于自然率。
在失业率低于自然率时,货币工资率开始较迅速地上升,短期总供给曲线向左移动。美联储的反应就是进一步地提高货币供给增长率,需求拉上的通货膨胀的螺旋式上升开始了。到1970年,通货膨胀率上升到6%。在以后的三年中,总需求继续较迅速地增加,通货膨胀率保持在每年6%左右。
2.成本推动的通货膨胀
这是从总供给的角度来分析通货膨胀的原因。供给就是生产,根据生产函数,生产取决于成本。因此,从总供给的角度看,引起通货膨胀的原因在于成本的增加。成本增加意味着只有在高于从前的价格水平时,才能达到与以前一样的产量水平,即总供给曲线向左上方移动,使国民收入减少,价格水平上升,这种价格上升就是成本推动的通货膨胀。如图8-5所示。

图8-5 成本推动的通货膨胀
在图8-5中,原来的总供给曲线AS0与总需求曲线AD决定了国民收入水平为Y0,价格水平为P0。成本增加,总供给曲线向左上方移动到AS1,这时总需求曲线没有变,决定了国民收入水平为Y1,价格水平为P1,价格由P0上升到P1是由成本的增加所引起的。这就是成本推动的通货膨胀。
成本推动通货膨胀最早出现在20世纪30至40年代。首先推动成本上升的是工资,由于工资刚性的作用,因此它在推动成本上升的过程中作用最明显;其次是一些原材料、初级产品、进口材料的价格上升。因此,成本推动又可以根据其原因不同分为三种:
(1)工资成本推动的通货膨胀。许多经济学家都认为,工资是成本中的主要部分。工资的提高会使生产成本增加,从而价格水平下升。在劳动市场上存在着工会的卖方垄断的情况下,工会利用其垄断地位要求提高工资,雇主迫于压力提高工资之后,就把提高的工资加入成本,提高产品的价格,从而引起了通货膨胀。
工资的增加往往是从个别部门开始的,但由于各部门之间工资的攀比行为,个别部门工资的增加往往会导致整个社会的工资水平的上升,从而引起普遍的通货膨胀。而且,这种通货膨胀一旦开始,还会形成“工资——物价螺旋式上升”。即工资上升引起物价上升,物价上升又引起工资上升。这样,工资与物价不断互相推动,形成严重的通货膨胀。
(2)利润推动的通货膨胀。主要是一些在市场上具有垄断地位的厂商为了增加利润而提高价格所引起的通货膨胀。在不完全竞争的市场上,具有垄断地位的厂商控制了产品的销售价格,从而就可以提高价格来增加利润。尤其是在工资增加时,垄断厂商以工资的增加为借口,大幅度地提高物价,使物价的上升幅度大于工资的上升幅度,其差额就是利润的增加。这种利润的增加使物价上升,形成通货膨胀。
经济学家认为,工资推动和利润推动实际上都是操纵价格的上升。其根源在于经济中的垄断,即工会的垄断形成了工资推动,厂商的垄断形成了利润的推动。
(3)进口成本推动的通货膨胀。这是指在开放经济中,由于进口的原材料价格上升而引起的通货膨胀。在这种情况下,一国的通货膨胀通过国际贸易渠道而影响到其他国家。例如,20世纪70年代,由于中东石油战争的爆发,导致西方国家石油价格急剧上涨,这样,进口以石油为原料的产品价格上升,引起物价的普遍上涨,出现通货膨胀。
3.供求混合推动的通货膨胀
这种理论把总需求与总供给结合起来分析通货膨胀的原因。经济学家认为,通货膨胀的根源不是单一的总需求或总供给,而是这两者共同作用的结果。
如果通货膨胀是由需求拉动开始的,即过度需求的存在引起物价上升,这种物价上升会使工资增加,从而供给成本的增加又引起成本推动的通货膨胀。如果通货膨胀是由成本推动开始的,即成本增加引起物价上升,这时如果没有总需求的相应增加,工资上升最终会减少生产,增加失业,从而使成本推动引起的通货膨胀停止。只有在成本推动的同时,又有总需求的增加,这种通货膨胀才能持续下去。如图8-6所示。

图8-6 供求混合推动的通货膨胀
在图8-6中,总供给曲线由AS0移动到AS1,会使物价水平由P0上升为P1,这是由成本推动引起的通货膨胀。但如果仅仅是成本推动,由于价格上升为P1,产量会由Y0下降为Y1,最终由于经济衰退而结束通货膨胀。也就是说,这种通货膨胀不会持续下去。只有成本推动之后,总需求也由AD0,增加为AD1,才能使产量水平恢复到Y0,而价格水平上升为P2。这时,物价上升的过程是a—b—c。
生活中的经济学
美国20世纪70年代供给推动的通货膨胀
20世纪70年代是美国经济较为混乱的时期。尼克松总统力图降低60年代遗留下来的通货膨胀,实行了对工资和物价的暂时控制,美联储也执行了紧缩性货币政策,当工资与物价控制取消之后,控制的影响也结束了,通货膨胀并没有得到有效地控制,还引起了经济的衰退。欧佩克70年代中期第一次提高油价,使通货膨胀率上升到10%左右,这种不利的供给冲击与暂时的紧缩性货币政策是引起1975年衰退的因素,衰退期间的高失业降低了一些通货膨胀,但欧佩克进一步提高油价又加剧了70年代后期总供给减少,通货膨胀更加严重。
4.结构性通货膨胀理论
这种理论从各生产部门之间劳动生产率差异、劳动市场的结构特征和各生产部门之间收入水平的赶超速度等角度分析了由于经济结构特点而引起的通货膨胀的过程。
(1)希克斯对扩展部门与非扩展部门进行了结构分析。他认为经济中可以分为扩展部门与非扩展部门。扩展部门正在扩大,需求更多的资源与工人,而非扩展部门已在收缩,资源与工人过剩。如果资源与工人能迅速地由非扩展部门流动到扩展部门,则这种结构性通货膨胀就不会发作。但在现实中,由于种种限制,非扩展部门的资源与工人不能迅速地流动到扩展部门。这样扩展部门由于资源与人力的短缺,资源价格上升,工资上升。而非扩展部门尽管资源和人力过剩,但资源价格并不会下降,尤其是工资不仅不会下降,还会由于攀比行为而上升。这样就会由于扩展部门的总需求过度和这两个部门的成本增加,尤其是工资成本增加而发生通货膨胀。
此外,各经济部门的劳动生产率不同,而各部门的工资水平由于攀比行为而向高工资看齐,也会使整个社会的工资增长率超过劳动生产率而引起通货膨胀。这也是结构性通货膨胀。
(2)托宾分析了劳动市场结构特征所引起的通货膨胀。他认为,劳动市场的特点是失业与空位并存,即一方面有人没工作,另一方面同时存在有工作无人做。这种情况是由劳动力市场技术结构、地区结构、性别结构等特征造成的劳动力不能迅速流动而引起的。在这种情况下,由于工资能上不能下的刚性,同时有失业存在,工资不能下降使空位存在,则工资上升。这样工资新水平的提高就会导致通货膨胀。
(3)瑞典经济学家还分析了在小国开放经济中,开放部门与非开放部门的结构特征如何使国际上的通货膨胀传递到国内。
5.预期与惯性的通货膨胀理论
这两种通货膨胀理论的重点不是分析通货膨胀的产生原因,而是分析为什么通货膨胀一旦形成以后就会持续下去。
(1)预期通货膨胀理论。预期通货膨胀理论认为,无论什么原因引起的通货膨胀,即使最初引起通货膨胀的原因消除了,它也会由于人们的预期而持续,甚至加剧。
预期对人们的经济行为有重要的影响,而预期往往又是根据过去的经验形成的。在产生了通货膨胀的情况下,人们要根据过去的通货膨胀率来预期未来的通货膨胀率。并把这种预期作为指导未来经济行为的依据。例如,上一年的通货膨胀率是10%,人们据此预测下一年的通货膨胀率也不会低于10%。这样他们就要以此作为进行下一年工资谈判的基础,即要求下一年的货币工资增长率最低为10%。下一年的货币工资增长率为10%,就使得下一年的通货膨胀率最低也会由于货币工资的增加而保持10%的水平。于是,由于预期的关系,即使引起上一年通货膨胀率为10%的原因消失了,下一年的通货膨胀率仍会是10%。
(2)惯性通货膨胀理论。惯性通货膨胀理论也是要解释通货膨胀持续的原因,但它所强调的不是预期,而是通货膨胀本身的惯性。
根据这种理论,无论是什么原因引起的通货膨胀,即使最初原因消失了,通货膨胀也会由于其本身的惯性而持续下去。这是因为,工人与企业所关心的是相对工资与相对价格水平。在他们决定自己的工资与价格时,他们要参照其他人的工资与价格水平。如果其他人的工资与价格由于通货膨胀的原因上升了10%,那么,他们在决定自己的工资与价格时,也要以这10%的通货膨胀率为基础。通货膨胀就会由于这种惯性而持续下去,因为谁也不会首先降低自己的工资与物价水平。只有在经济严重衰退时,才会由于工资与物价的被迫下降而使通货膨胀中止。
预期通货膨胀理论与惯性通货膨胀理论很相近,前者由货币主义者提出,强调现在对未来的影响;后者由凯恩斯主义者提出,强调过去对现在的影响。这两种理论从不同角度解释了通货膨胀持续的原因。
(四)通货膨胀对经济的影响
1.通货膨胀下收入的再分配
如果通货膨胀率相当稳定,人们可以完全预期,那么通货膨胀对经济的影响很小。因为在这种可预期的通货膨胀下,各种名义变量(名义工资、名义利息等)都可以根据通货膨胀率进行调整,从而使实际变量(实际工资、实际利息率等)不变。这时通货膨胀的唯一影响是人们将减少他们所持的现金量。
在通货膨胀完全不能预期的情况下,通货膨胀将影响收入分配及经济活动。因为这时无法准确地根据通货膨胀率来调整各种名义变量,以及相应的经济行为。可从三个方面分析这一问题:
第一,在债务人与债权人之间,通货膨胀将有利于债务人而不利于债权人。这是因为,债务契约根据签约时的通货膨胀率来确定名义利息率。当发生了未预期到的通货膨胀之后,债务契约无法更改,从而就使实际利息率下降,债务人受益,而债权人受损。这样,就会对货款,特别是长期贷款带来不利影响,使债权人不愿意发放贷款。贷款减少会使投资减少。这种不可预期的通货膨胀对住房建设贷款这类长期贷款最不利,从而也就会减少住房投资这类长期投资。
第二,在雇主与工人之间,通货膨胀将有利于雇主而不利于工人。这是因为,在不可预期的通货膨胀之下,工资不能迅速地根据通货膨胀率来调整,从而在名义工资不变或略有增长的情况下使实际工资下降。实际工资的下降将使利润增加,而利润的增加是有利于刺激投资的。这正是一些经济学家主张以通货膨胀来刺激经济发展的理由。
第三,在政府与公众之间,通货膨胀将有利于政府而不利于公众。这是因为:在不可预期的通货膨胀之下,名义工资总会有所增长,尽管不一定能保持原有的实际工资水平;随着名义工资的提高,达到纳税起征点的人增加了,还有许多人进入了更高的税率等级。这样,政府的税收增加,而公众纳税数额增加,实际收入减少。政府由这种通货膨胀中所得到的税收称为“通货膨胀税”。这实际上是政府对公众的掠夺。这种通货膨胀税的存在,不利于储蓄的增加,也影响了私人与企业投资的积极性。
2.通货膨胀对经济的多重影响
由以上的分析得出,通货膨胀引起货币价值的变动,导致货币无法准确地作为价值的尺度,价格信号被扭曲。任何人都有可能由此而受损失。这样就增加了经济中的不确定性与风险,不利于经济活动。那么,通货膨胀对经济发展究竟有利还是不利呢?经济学家对此没有一致的看法。大体上可以分为三种观点:有利论、不利论和中性论。
(1)有利论。认为通货膨胀,尤其是温和的通货膨胀有利于经济发展,在他们看来,“通货膨胀是经济发展必不可缺的润滑剂”。理由是:第一,通货膨胀引起的有利于雇主不利于工人的影响可以增加利润,从而刺激投资;第二,通货膨胀所引起的“通货膨胀税”可以增加政府税收,从而增加政府支出,刺激了经济发展;第三,通货膨胀会加剧收入分配的不平等而富人的储蓄倾向又大于穷人,所以,通货膨胀可以通过加剧收入不平等而增加储蓄。他们强调,对于资金缺乏的发展中国家来说,利用通货膨胀来发展经济尤为重要。
(2)不利论。认为通货膨胀是不利于经济发展的。理由是:第一,在市场经济中,通货膨胀使价格信号扭曲,无法正常反映社会供求状态,从而使价格推动调节经济的作用无法正常发展;第二,通货膨胀破坏了正常的经济秩序,使投资风险增大,社会动荡,从而经济混乱,效率低下;第三,通货膨胀所引起的紧缩性政策会抑制经济发展;第四,在固定汇率下通货膨胀所引起的货币贬值不利于对外经济交往。他们强调,也许通货膨胀在某个时期可以促进经济发展,但最终结果却是不利于经济发展的。采用通货膨胀的方法来刺激经济无疑是“饮鸩止渴”。
(3)中性论。认为通货膨胀与经济增长并没有什么必然的联系。他们认为货币在经济中是中性的,从长期来看,由于货币量变动引起的通货膨胀,既不会有利于经济也不会不利于经济的发展。决定经济发展的是实际因素(如劳动、资本、自然资源等),而不是价格水平。因此,没有必要把经济增长与通货膨胀联系在一起。
以上三种观点各有自己的理论与实际依据,很难说哪种观点绝对正确。应该说,在不同国家的不同历史时期,通货膨胀有不同的作用,只有把通货膨胀与经济增长放在具体的历史条件下进行分析才有意义。但从战后的情况来看,通货膨胀弊大于利,借助于通货膨胀来发展经济绝非上策。
三、失业与通货膨胀关系
有人形容失业与通货膨胀是一对经济魔鬼,这两者是经济中的两个主要问题。那么,他们之间存在什么样的关系呢?不同的经济学家对此作了不同的解释。
(一)凯恩斯的观点:失业与通货膨胀不会并存
凯恩斯认为,在未实现充分就业,即存在劳动力闲置的情况下,总需求的增加只会使国民收入增加,而不会引起价格水平上升。也就是说,在未实现充分就业的情况下,不会发生通货膨胀。在充分就业实现,即资源得到充分利用之后,总需求的增加无法使国民收入增加,而增加的需求会因为有限的供给发生竞争,结果引起价格上升。也就是说,在发生通货膨胀时,一定已经实现了充分就业。这种通货膨胀是由于总需求过度而引起的,即需求拉动的通货膨胀。凯恩斯关于失业与通货膨胀之间关系的论述,可用图8-7来说明。

图8-7 失业与通货膨胀不会并存
在图8-7中,当总需求增加,即总需求曲线从AD0移动到AD1时,由于还没有实现充分就业,总需求变动只引起国民收入的增加,而不会引起价格的变化,所以国民收入从Y0增加到Yf,而价格水平仍然是P0,没有发生变化。当总需求继续增加,即总需求曲线从AD1移动到AD2时,由于已经实现了充分就业,所以国民收入是充分就业时的国民收入Yf,价格水平由P0上升到了P1,这时如果总需求继续增加,而国民收入不再增加,即由于过度需求引发了通货膨胀。
由此看来,通货膨胀和失业是不会并存的。同样,要同时消灭失业与通货膨胀也是不可能实现的。因此,各国的经济政策都是如何把失业与通货膨胀都控制在适度的范围内。在一些发达的市场经济国家,往往把5%以内的自然失业率看作实现了充分就业的宏观经济政策目标;而把3%以下的通货膨胀看作实现了物价稳定。在这个失业率与通货膨胀率下,可以认为既实现了充分就业,又实现了物价稳定。
凯恩斯对失业与通货膨胀关系的这种论述,适用于20世纪30年代大萧条时的情况,但并不符合战后各国的实际情况。这样,经济学家就试图做出可行的解释。
(二)菲利浦斯曲线
1.失业与通货膨胀的替代关系
菲利浦斯曲线是用来表明失业与通货膨胀之间交替关系的曲线,由新西兰经济学家菲利浦斯提出。菲利浦斯根据英国1861—1957年间失业率与货币工资变动率的统计数据,提出了一条用以表示失业率和货币工资变动率之间交替关系的曲线。这条曲线表明:当失业率较低时,货币工资增长率较高;反之,当失业率较高时,货币工资增长率较低,甚至是负数。因为工资的上涨,往往意味着物价水平的上升,所以,用通货膨胀率代替工资上涨成为表示菲利浦斯曲线的一种较为常见的方式。因此,这条曲线就可以表示失业率与通货膨胀率之间的交替关系,即失业率高,则通货膨胀率低;反之,失业率低,则通货膨胀率高。这就是说,失业率高表明经济处于萧条阶段,这时工资与物价水平都较低,从而通货膨胀率也较低;反之,失业率低表明经济处于繁荣阶段,这时,工资与物价水平都较高,从而通货膨胀率也就高。失业率与通货膨胀率之间存在反方向变动关系,是因为通货膨胀使实际工资下降,从而能刺激生产,增加劳动的需求,减少失业。
关于菲利浦斯曲线可以用图8-8加以说明。

图8-8 菲利浦斯曲线
2.菲利浦斯曲线与“临界点”
在进行政策选择上,菲利浦斯曲线提供了一个理论依据。也就是说,政府可以根据政策目标(失业率和通货膨胀率的不同组合)来决定采用不同的财政政策和货币政策。在利用菲利浦斯曲线确定政策时,政策目标的选择也不是没有限制的,一个国家或政府不能任意选择通货膨胀率和失业率的组合,如图8-9所示,政府不能选A点或C点。因为在A点,虽然失业率低,但通货膨胀率较高,是社会不能接受的,这时,应采取紧缩性财政政策和货币政策。在C点,虽然通货膨胀率较低,但失业率较高,也是社会不能接受的,于是,需要采取扩张性的财政和货币政策,降低失业率。
“临界点”是指对于失业率和通货膨胀率的“社会可以接受的程度”,即图8-9中的阴影部分。如果失业率和通货膨胀率在阴影区域(4%,4%),表明此时是社会可以接受的,政府没有必要进行调节、干预,只有当失业率和通货膨胀率超出阴影区域,政府才有必要采取政策措施加以调节。

图8-9 菲利普斯曲线及临界点
“临界点”在不同国家和地区是不同的。20世纪60年代以后,菲利浦斯曲线不断向右上方移动,这使得“临界点”也得提高。如图8-9所示,当菲利浦斯曲线由PC变为PC1后,PC1不通过有阴影的部分,即不在“临界点”区域内,这时,无论采取什么样的财政和货币政策措施,都不能把通货膨胀率和失业率降低到“临界点”之内,因此,旧的“临界点”被新的“临界点”替代。
生活中的经济学
沃尔克反通货膨胀的功与过
20世纪70年代,滞胀困扰着美国。1979年夏,通货膨胀率高达14%,失业率为6%,经济增长率不到1.5%。此时,沃尔克被卡特任命为美联储主席。沃尔克上台后把中心任务定为反通货膨胀。他把贴现率提高到12%使货币量减少,但到1980年2月,通货膨胀率仍高达14.9%,失业率高达10%。沃尔克顶住各方压力,继续实施紧缩政策,终于在1984年使通胀率降至4%,开始了20世纪80年代的繁荣。
沃尔克反通胀的最终胜利以高失业为代价。经济学家把通胀率减少1%的过程中每年GDP减少的百分比称为牺牲率。GDP减少必然引起失业加剧。这充分说明通胀与失业之间在短期内存在交替关系,低通胀会以高失业为代价。
经济学家把牺牲率确定为5%,即通胀每年降1%,每年的GDP减少5%。沃尔克把1980年10%的通胀率降低至1984年的4%,按此推理,每年减少的GDP应为30%。实际上GDP的降低并没有这么严重。其原因在于沃尔克坚定不移地反通胀决心使人们对通胀的预期降低,导致菲利浦斯曲线向下移动,使反通胀的代价减小。但代价依然存在,美国这一时期经历了自20世纪30年代以来最严重的衰退,失业率达10%。
本章经济术语
经济增长Economic Growth 经济周期Business Cycle
通货膨胀Inflation 失业Unemployment
国际收支平衡Balance of International Payment
奥肯定理Okun's Law 菲利浦斯曲线Phillips Curve
思考与训练
一、基础知识运用
1.经济周期的两个主要阶段是( )。
A.繁荣和萧条B.萧条与复苏C.繁荣与衰退D.复苏与衰退
2.经济周期中繁荣阶段的基本特征是( )。
A.国民收入与经济活动高于正常水平B.国民收入与经济活动等于正常水平
C.国民收入与经济活动低于正常水平D.没有失业
3.经济增长的最基本特征是( )。
A.国民生产总值的增加B.技术进步
C.制度与意识的相应调整D.资源丰富
4.周期性失业是( )。
A.由于某行业生产的季节性变动所引起的失业
B.由于总需求不足而引起的短期失业
C.由于劳动力市场结构的特点,劳动力的流动不能适应劳动力需求变动所引起的失业
D.以上说法都不对
5.隐蔽性失业是指( )。
A.表面上有工作,实际上对生产没有做出贡献的人
B.实际失业而未去有关部门登记注册的人
C.被企业解雇而找不到工作的人
D.以上说法都不对
6.奥肯定理说明了失业率每增加1%,实际国民收入减少2.5%,在一国这种比例关系( )。
A.始终不变,一直如此B.在不同的时期并不完全相同
C.只适用于经济实现了充分就业时的状况D.失业与国民收入不存在关系
7.设原先的物价指数为100,6个月后物价指数为102,则通胀率为( )。
A.2%B.4%C.5%D.12%
8.可以称为爬行的(或温和的)通胀的情况是指( )。
A.通胀率在10%以上,并且有加剧趋势
B.通胀率以每年5%的速度增长
C.在数年之内,通胀率一直保持在2%~3%的水平
D.通货膨胀率在三位数以上
9.需求拉上型通胀是指( )。
A.货币供给发生变化,物价上涨B.总需求、物价和就业同比增长
C.总需求超过在充分就业时的产出水平D.由于工资上涨引起的
10.预期的通胀率上升会引发( )。
A.总需求增加,也使一般物价水平上升B.总需求增加
C.总需求减少,也使一般物价水平上升D.总需求减少
11.结构性通胀的主要原因有( )。
A.需求结构的变化加上不易改变的工资和价格
B.生产成本的增加
C.使价格上升的过度需求
D.大型企业的垄断
12.菲利浦斯曲线描述的基本问题是( )。
A.一般物价水平上涨时,失业率一般会提高
B.劳动力需求的结构性变化一般是有利于降低通胀的
C.自动化程度的提高有可能会提高非周期性失业的水平
D.达到充分就业的总需求水平可能带来通胀
二、理解与分析
1.经济周期是不是不可改变的?为什么?
2.只要一国的投资维持稳定的增长,就能使一国的经济增长速度保持稳定,这种说法对吗?
3.一国的经济能否维持直线式增长?为什么?
4.宏观经济目标之间的矛盾性特点对政策的选择有何现实指导意义?
5.时政分析
2010年1月22日,日本政府发布2010财年经济展望报告,预测本财年实际国内生产总值将增长1.4%,这将是日本经济3年来首次出现正增长。在全球经济复苏背景下,日本出口将继续扩大。此外,育儿补助等家庭支援政策将刺激个人消费回升,环境和科技领域将助推就业市场回暖。这些因素都将拉动日本经济缓慢复苏。
分析:为什么说出口扩大、消费回升,将拉动日本经济复苏?
6.时政分析
2010年1月27日,美国总统奥巴马在国会发表首次国情咨文时说,促进就业是2010年的第一要务,他提议国会通过一项新的促进就业法案。他说,目前十分之一的美国人仍找不到工作。美国创造就业的真正引擎是企业,政府可以为企业扩张和增加雇员创造必要条件。他提议从华尔街大银行归还给政府的资金中拿出300亿美元用于帮助社区银行,增加向小企业贷款。他同时提出新的小企业税务抵扣计划,用来帮助100万小企业增加雇员或者提高工资,并取消小企业投资的资本利润税。
分析:为解决就业问题,奥巴马提出了哪些举措,为什么?
7.时政分析
2008年11月24日,英国正式宣布总额200亿英镑(占GDP的比重为1%)的综合性经济刺激方案。
(1)降低增值税税率。自2008年12月1日起,将增值税税率由17.5%降至欧盟规定的最低水平15%,为期13个月。可向消费者让利100亿英镑。
(2)辅助中小企业。向中小企业提供10亿英镑的临时融资安排,为出口企业提供10亿英镑额外支持。允许小企业分期支付公司税、社会保险以及增值税。从英跨国公司的公司税中免去其外国股息。
(3)增加公共支出。2008年额外增加7.5亿英镑用于建设学校和医院。拟将2010-2011财年支出的30亿英镑提前至2008-2009两年使用,拨款5.35亿英镑支持低碳型公共交通开发和能源建设。
(4)扶持弱势群体。增加对按揭贷款者的支持力度,避免其住房被强制收回。提供13亿英镑加大对失业者的培训。
(5)弥补财政赤字。2010年至2011年消减部分公共开支,提高资金使用效率,计划节省开支50亿英镑。2010年4月后,将年收入15万英镑或以上人群的个人所得税税率提高至45%,削减年收入10万英镑及以上人群的个人所得税抵免。
分析:应对金融危机,英国政府出台的这些措施希望达到什么样的宏观经济目标?