第一节 消费者的需求
19世纪西方有一句名言:“教会鹦鹉说‘供给和需求’,也就教会了它经济学”。供给和需求作为经济学中最重要的两个名词,可见其重要性。需求(Demand)来自于消费者,表现为消费者愿意并且能够购买的商品数量;供给(Supply)来自于生产者,表现为生产者愿意并且能够生产出来的商品数量。小至家庭生活中的柴米油盐,大至国家社会中的宏观调控,任何一个经济事件都离不开供给和需求,大量的买者和卖者构成了市场,他们的行为互相影响,最终决定了各种商品的价格和数量,商品的价格反过来又会影响单一消费者的需求和单一厂商的供给。在本章的学习中,我们将学习需求和供给的运行规律,并用于解释生活中的经济现象。
一、消费者的需求
(一)需求的定义
一种商品的需求是指消费者在一定时期内在各种可能的价格水平愿意而且能够购买的该商品的数量。根据定义,如果消费者对某种商品只有购买的欲望而没有购买的能力,就不能算作需求。需求必须是指既有购买欲望又有购买能力的有效需求。例如,对音乐会的需求,想听音乐而买不起门票的人没有这种需求,能买得起门票但不愿听音乐的人也没有这种需求,只有既想听又买得起门票的人才构成对音乐会的需求。因此需求必须在收入、价格、偏好都满足的情况下才能够实现。
讨论
Want(想要)在什么条件下可以转化为Demand(需求)?
对于消费者的需求影响最大的就是价格,价格较高的时候,消费者的购买欲望会降低,减少购买量;价格较低的时候,消费者的购买欲望会增加,扩大购买量。除了价格因素之外,还有很多因素会影响需求,我们以某品牌的冰激凌为例,购买人群的收入、冰激凌的广告和包装、天气的冷热、其他品牌冰激凌的价格及促销手段,都会影响这种冰激凌的销售,为了能够更直观地分析各项因素对需求的影响程度,我们建立了需求函数:D=f(P,I,T,E……)
其中D代表需求,P代表价格,I代表收入,T代表偏好,E代表预期,……需求受诸多因素的影响,这些影响我们将在第三节中结合供给进行分析,本节我们假设其他因素都不变,分析只有价格变化时,需求量的变化。
(二)需求表和需求曲线
在假设其他因素都不变的情况下,我们来考虑价格如何影响需求量。表2-1表示在不同的冰激凌价格时,小林每个月买多少个冰激凌。如果冰激凌是免费的,小林每个月吃12个冰激凌。在每个价格为1元时,小林买10个。随着价格继续上升,她的需求越来越少。当价格达到6元时,小林根本不买冰激凌。表2-1是一个需求表,表示一种物品价格与其需求量之间关系。
表2-1 小林对冰激凌的需求表

图2-1中的曲线是根据表2-1的需求表画出的,它表明一种物品的需求量如何随着它的价格变动而变动。由于价格下降,需求量增加,所以需求曲线向右下方倾斜。根据习惯,冰激凌价格在纵轴,而冰激凌需求量在横轴。把价格与需求量联系在一起的向右下方倾斜的曲线被称为需求曲线。

图2-1 小林的冰激凌需求曲线
上图小林的需求曲线表明,当只有冰激凌的价格变动时,小林的冰激凌需求量会发生什么变化。这条曲线是在假设影响小林消费冰激凌的其他因素都不变的情况下画出来的。需求曲线向右下方倾斜是因为,其他条件相同时,价格较低意味着需求量较多。由于上图中的横坐标为需求量,纵坐标为价格,这条需求曲线也就表明了当其他条件不变时价格和需求量之间的关系,当只有价格变化时,A点将在需求曲线上上下滑动。如图2-2所示。

图2-2 价格引起的需求量的变化
但在现实世界中许多事情是在同时变动的,如果其他因素发生了变化,例如收入、偏好等,价格和需求量之间原有的固定关系将会被打破,整条需求曲线将会发生移动。
练一练
如果天气越变越热,小林的冰激凌需求曲线将会如何变化?
(三)线性需求函数
在上述分析中,假设了收入(I)、偏好(T)、预期(E)等其他因素都不变,在此前提下分析价格和需求量之间的关系,需求函数简化为:
Qd=f(P)=a-bP
其中,Qd表示需求量,P表示价格,a和b都是常数,且a、b>0。表示需求量Q和价格P之间存在一种反向的线性关系。
练一练
在表2-1小林对冰激凌的需求表中,小林的线性需求函数中a和b各为多少,需求函数表示为什么?
(四)需求定理
经济学认为,尽管需求量与价格关系复杂多样,但根据经验和统计可以证实的情形是购买量与价格的反向依存关系,即在其他因素不变的情况下,某种产品的需求量随产品价格变化而反向变化:价格上升,产品购买量减少;价格下降,产品购买量增加。价格越低,需求量越大;价格越高,需求量越小。这种关系普遍而典型地存在着,经济学称之为需求定理。需求定理概括了需求量与价格的一般依存关系,表现在图形上的需求曲线一般为右下方倾斜的曲线。
但需求定理也存在一些特殊情况,例如股票、古董,还有非常著名的吉芬商品,这些商品都存在价格越上升,购买的人越多,价格越下降,购买的人越少的现象,它们的需求曲线是右上方倾斜的。
生活中的经济学
吉芬商品——爱尔兰的土豆
1845年,爱尔兰爆发了大灾荒。英国学者罗伯特·吉芬在爱尔兰观察到一个现象,虽然土豆的价格在饥荒中急剧上涨,但爱尔兰农民反而增加了对土豆的消费。这是因为在饥荒这样的特殊时期,面包、肉类、土豆的价格都上升了,但人们的收入大大减少,更买不起面包、肉类,相对便宜的土豆便成为人们的首选,这样对土豆的需求反而增加,使得土豆的价格增长比其他食品类的价格增长更快。
后来人们为了纪念吉芬,就把吉芬发现的这种价格升高而需求量也随之增加的经济现象叫做吉芬现象,这样的商品称之为吉芬商品。
二、需求弹性
在现实世界中,不同商品或市场的需求曲线的形状和位置之所以不同,除了消费者
的偏好差异以外,主要产生于需求变动对价格和收入变动的反应程度或敏感程度不同。为了精确地测定不同商品的需求对价格变动和收入变动的敏感或反应程度,经济学家广泛使用了弹性这一尺度。在经济学中,弹性是指作为因变量的经济变量的相对变化与作为自变量的经济变量的相对变化之比,而需求的弹性则包括需求的价格弹性、需求的收入弹性以及需求的交叉弹性。
(一)需求价格弹性
在日常生活中,有些商品会根据季节的变化和消费者的爱好选择降价,例如服装,打折往往会带来销量的激增;但也有一些商品,即使降价也不会带来特别显著的销量上升,例如食盐。这是由于商品性质的不同,使得不同商品对于价格变化的反应程度不同,这就是需求价格弹性需要分析的问题。
需求的价格弹性表示的是一种商品的需求对该商品本身价格变化的反应程度,它等于需求量的相对变化与价格点的相对变化之比,用公式表示就是:

公式中的Ed代表需求的价格弹性,ΔQ/Q表示需求量变化的百分比,ΔP/P表示价格变化的百分比。因为根据需求定理,商品的需求量与商品的价格成反方向变动,需求的价格弹性值本来为负值,但西方经济学家习惯上用正值来表示需求的价格弹性系数,所以,在公式的右方乘以负1。
这里需要再次强调指出的是,需求的价格弹性所表示的是价格和需求量的相对变化,而不是绝对变化,这是因为绝对量的变化本身,难以说明实质性的问题。例如,假定价格上涨了5元,这对于乘坐地铁来说,涨价的幅度是很大的,而对于住房消费来说,则算不了什么。同样地,5元钱的涨价对于一瓶啤酒来说是一个相当大的数目,而对于50斤一桶的啤酒来说,则是微不足道的。
1.点弹性和弧弹性
根据价格和需求量变动幅度的大小,需求的价格弹性可以分为点弹性和弧弹性。所谓点弹性就是需求曲线上某一点的弹性。设商品原来的价格和变化后的价格分别为P1和P2,与P1和P2相对应的需求量分别为Q1和Q2,如果价格和需求量的变动很小,则点弹性的公式如下:
Ed=-[(Q2-Q1)/Q1]÷[(P2-P1)/P1]
在表2-2中,如果我们要测算当价格在0.9985和1元之间变动时需求的价格弹性,我们利用点弹性公式可以得到以下结果:
表2-2 某商品价格和需求量关系(变化幅度小)

Ed=-[(40002-40000)/40000]÷[(0.9995-1)/1]=0.1
在这里,由于价格和需求量变动的幅度非常小,所以,我们既可以把1元和40000单位当作P1和Q1,也可以把0.9995元和40002单位当作P1和Q1,其结果并没有实质性的差别。
但是,如果有关价格和需求量变动的幅度很大,那么,不同的计算方法所得出的结果就会有明显的不同,例如表2-3所示。
表2-3 某商品价格和需求量关系(变化幅度大)

假定我们要测算由4元到5元之间的需求的价格弹性,那么,依据P1和Q1所选择的数值不同,其答案将分别是:
Ed=-[(20-3)/3]÷[(4-5)/5]=28.33Ed=-[(3-20)/20]÷[(5-4)/4]=3.40
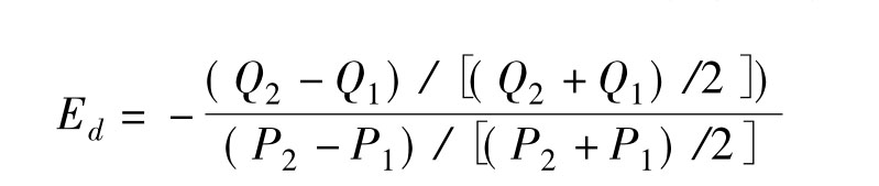
这两种计算结果的差额是很大的,在这种场合,应该使用需求的弧弹性公式。所谓需求的弧弹性是指需求曲线上两点之间的弧的弹性,其公式如下:

在公式中,由于需求量和价格都取其改变前和改变后的平均值,这就避免了计算上的误差。利用弧弹性公式,我们重新计算表2-3中4元至5元之间的价格弹性,其结果如下:

以上关于点弹性和弧弹性的论述,同样适用于其他需求弹性和供给弹性。
2.需求的价格弹性的类型
根据弹性系数的绝对值的大小,需求的价格弹性基本上可以分为以下五种,可见图2-3。

图2-3 需求价格弹性的五种类型
第一,当Ed=1时,我们称需求具有单元弹性或单一弹性,因为这时需求量的相对变化等于价格的相对变化。
第二,当Ed<1时,此时需求曲线比较陡峭,我们称需求是缺乏价格弹性的,或者说需求的价格弹性不足,因为这时需求量的相对变化小于价格的相对变化。
第三,当Ed>1时,此时需求曲线比较平缓,我们说需求是富于价格弹性的,或者说需求的价格弹性充足,因为这时需求量的变动幅度会大于价格的变动幅度。
第四,当Ed趋向于0时,此时需求曲线接近于竖直,我们说需求弹性为零,或需求完全无弹性,也就是无论价格怎样变化,需求量都不发生变化。
第五,当Ed趋向于∞时,此时需求曲线接近于水平,我们说弹性为无穷,或需求具有完全弹性,也就是价格即使发生微小的变化,需求量也会发生无穷的变化。
3.影响需求弹性的因素
需求价格弹性的大小受以下因素的影响:
(1)此种商品是必需品还是奢侈品。一般说来,奢侈品弹性大,生活必需品的弹性小。据测算,在美国,糖、公共交通、服装、食品的需求价格弹性分别为0.3、0.4、0.6、0.4,家具、小汽车分别为1.2和1.4。
(2)此种商品可被替代的程度。这是最重要的决定因素。容易被替代的商品弹性大,不易被替代的商品弹性小。例如,石油没有接近的替代品,这样需求相对来说是无弹性的,而黄瓜有大量的替代产品,需求相对来说是有弹性的。
(3)此种商品支出占消费者总支出的比例。商品支出占消费者总支出的比例愈大,弹性愈大;商品支出占消费者总支出的比例愈小,弹性愈小。例如,口香糖的需求的价格弹性比彩电要小。又如,对盐的需求的价格弹性也很小,部分原因是没有接近的替代物,而盐的支出在收入中的比例很小也是原因之一,即使它的价格增加很多,我们购买盐也没有困难。
练一练
酱油和钻石项链,谁的销量受价格影响更大?
食盐和洗发水,谁的销量受价格影响更大?
汽车和口香糖,谁的销量受价格影响更大?
(4)此种商品的耐用程度。愈是耐用的商品,弹性愈大,反之愈小。
(5)此种商品用途的多少。用途越多,弹性越大;用途越少,弹性越小。
(6)时间,即相应于价格的变动,人们调整需求量的时间。当价格上涨时,人们需要一些时间来调整他们消费商品的类型,并找到该商品的替代产品;价格变化后这段时间越长,需求弹性就越大。
生活中的经济学
石油弹性受时间的影响
在美国,1973年12月和1974年6月原油价格上涨到原价格的4倍,引起汽油价格上涨。在以后几个月里,对石油产品的消费减少非常少,需求是高度缺乏弹性的。由于汽车的驱动没有替代燃料,拥有汽车的人不得不减少旅行次数(对许多人来说这并不容易)和更经济地驾驶车辆。然而随着时间的推移,由于汽油维持高价,新的节约燃料的汽车得到了发展,许多人购买较小排量的车子。这样从长远看需求是富有弹性的。
4.需求价格弹性的应用
(1)谷贱伤农
在中国的古代有一句“谷贱伤农”的俗语,意思是说如果有的年头风调雨顺,粮食丰收,为了将多出来的粮食卖出去,农民往往会降低价格,而粮食是一种缺乏弹性的商品,所以往往好年景农民的收入却减少了。如图2-4所示。

图2-4 谷贱伤农
由此可见,对于需求价格弹性较小的商品,往往价格下降也不能带来满意的销量,收入反而会更低。
(2)薄利多销
对于需求价格弹性比较大的商品,当价格下降时,需求量会有较大的增加,总收入通常会上升。如图2-5所示。

图2-5 薄利多销
(二)需求收入弹性
1.需求收入弹性
需求的收入弹性是指收入变动的比率所引起的需求量变动的比率,即需求量变动对收入变动的反应程度。公式表示为:

其中EI表示需求收入弹性,Y为收入,ΔY为收入变化量,Q为需求量,ΔQ为需求量的变化量,正常情况下需求量的变化(ΔQ)与收入的变化(ΔY)方向相同,即收入愈高,需求量愈大,收入愈低,需求量愈小,所以EI应为正数。EI为正数表明,需求曲线是由右上方向左下方倾斜的。
需求收入弹性有五种类型:
第一,收入无弹性,EI=0,说明无论消费者收入如何变动,需求量都不变。这时收入需求曲线是一条垂线。食盐就类似这类商品。
第二,收入缺乏弹性,0<EI<1,说明需求量的变动幅度小于收入变动的幅度,如粮食等。
第三,收入单位弹性,EI=1,说明需求量的变动幅度与收入的变动幅度相同。
第四,收入富有弹性,EI>1,说明需求量的变动幅度大于收入的变动的幅度,这时收入需求曲线是一条向左下方倾斜的线。
第五,收入负弹性,EI<0,说明需求量的变动与收入变动反方向变化,这时收入需求曲线是一条向右下方倾斜的线。
其中前四种属于正常情况,弹性系数为正,说明需求量与收入成同方向变动。第五种则属于特殊情况,弹性系数为负,说明需求量与收入成反方向变动。一般来说,高档食品、耐用消费品的收入弹性较大,消费者收入增加会导致这些消费品大幅度的增加;而一些生活必需品的收入弹性较小,消费者收入的增加只会导致这些消费品较小幅度的增加;而收入弹性为负值的商品,如黑白电视机、劣等衣物等,随着消费者收入的增加,消费反而减少。
2.恩格尔定律——需求收入弹性的运用
所谓恩格尔定律是指:随着家庭收入的增加,食物开支所占的比例会越来越小,这是由于收入增加后我们几乎不增加食物,增加的都是需求收入弹性比较大的商品,这个家庭用来购买食物的支出与这个家庭的总收入的比,就叫恩格尔系数。用公式可以表示为:

恩格尔系数可以反映一国或一个家庭的富裕程度与生活水平。一般来说,恩格尔系数越高,这个国家或家庭越穷,富裕程度和生活水平越低;恩格尔系数越低,这个国家或家庭越富,富裕程度和生活水平越高。
生活中的经济学
恩格尔系数
恩格尔是19世纪德国统计学家,他在研究人们的消费结构变化时发现了这条规律,并被广泛用于划分贫困与富裕的标准。某世界性组织提出了一个划分贫困与富裕的标准:恩格尔系数在59%以上为贫困,50%~59%之间为小康,30%~40%之间为富裕;30%下为特别富裕。美国、英国、澳大利亚、法国、德国、日本等发达国家的恩格尔系数都在20%以下。我国的恩格尔系数已经降到50%以下,其中城镇居民的恩格尔系数已经下降到40%以下,与发达国家相比还有比较大的差距,但考虑到我国人口数量和城乡比例,逐年下降的恩格尔系数表明我国的综合国力和城乡居民生活水平正在稳步提升。
(三)需求的交叉弹性
需求交叉弹性是需求交叉价格弹性的简称,它表示一种商品的需求量变动对另一种商品价格变动的反应程度。
需求交叉弹性可以是正值,也可以是负值,它取决于商品间关系的性质,即两种商品是替代关系还是互补关系。具有互补关系的商品称之为互补品,具有替代关系的商品称之为替代品。
生活中的经济学
互补品与替代品
为什么很多酒吧喝水要钱,却又提供免费咸花生?
有些酒吧一杯清水卖四块钱,但免费的咸花生却可随意索要。花生的生产成本肯定比水高,那这到底是怎么一回事呢?理解这种做法的关健是弄明白水和咸花生对这些酒吧的核心产品——酒精饮料——的需求量会造成什么样的影响。花生和酒是互补的。酒客花生吃得越多,要点的啤酒或白酒也就越多。既然花生相对便宜,而每一种酒精饮料又都能带来相对可观的利润率,那么,免费供应花生能提高酒吧的利润。
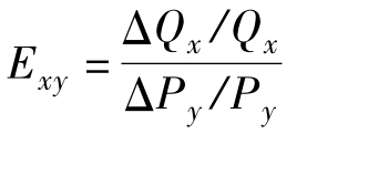
我们用Exy表示x和y两种相关物品需求的交叉价格弹性:

互补商品之间:Exy<0。对于互补商品来说,一种商品需求量与另一种商品价格之间成反方向变动,所以其需求交叉弹性系数为负值。比如照相机和胶卷,录音机和磁带等之间是功能互补性商品,它们之间的需求交叉弹性系数就是负值。一般情况下,功能互补性越强的商品交叉弹性系数的绝对值越大。
替代商品之间:Exy>0。对于替代商品来说,一种商品需求量与另一种商品价格之间成同方向变动,所以其需求交叉弹性系数为正值。如茶叶和咖啡,桔子和苹果等,这些商品之间的功能可以互相代替,其交叉弹性系数就是正值。一般来说,两种商品之间的功能替代性越强,需求交叉弹性系数的值就越大。
此外,若两种商品的交叉弹性系数为零,则说明x商品的需求量并不随y商品的价格变动而发生变动,两种商品既不是替代品,也不是互补品。
需求交叉弹性理论的应用:
第一,通过需求交叉弹性,生产者可以知道对自己产品的需求会因其他产品价格变化可能引起的反应。
第二,企业可以利用交叉弹性来测定行业间的相互关系。
讨论
对于一所普通大学的食堂饭菜,你认为它的需求价格弹性大还是小,需求收入弹性大还是小,小卖部销售的饮料是它的替代品还是互补品。