第四节 全面质量管理与质量成本
一、全面质量管理概述
虽然全面质量管理思想的诞生比标准成本系统晚了大约50年,但在竞争日趋激烈、产品质量至上的今天,它已经成为企业进行控制管理的核心理念。
全面质量管理(Total Quality Management,简称TQM)的概念最早是由时任美国通用电气公司质量管理部经理的费根堡姆(A.V.Feigenbaum)博士于20世纪60年代提出来的。具体来说,全面质量管理是将企业的所有职能均纳入到质量管理的范畴,它强调一个企业应当以质量为中心,以全员参与为基础,同时强调全员的培训和教育。
全面质量管理的核心思想是在企业内部各职能部门中做出持续的质量发展、质量保持和质量改进计划,以最为经济的水平进行生产和服务,使客户获得最大程度的满意。作为全面质量管理的关键词,“全面”主要包含以下三方面含义,简称“三全”。
(一)全员的质量管理
产品质量是企业各职能部门、各工作环节具体工作的综合反映,任何一个环节或个人的工作质量都会不同程度地直接或间接影响最终产品或服务的质量。因此,只有全员参与才能确保生产出客户满意的产品。
(二)全过程的质量管理
质量管理的全过程包括产品质量的产生、形成和实现。因此,要保证产品的质量,在管理好生产过程的基础上,还要对设计和使用过程进行控制管理。
(三)全范围的质量管理
全员和全过程的质量管理都要求企业范围内的组织协调,否则将无法形成一个有机的整体和系统,全面质量管理也将无从发挥作用。
作为质量管理的最新阶段,全面质量管理与传统的质量管理的先进之处体现在:将过去以事后检验为主的质量管理转变为以事前预防为主的质量管理,即从关注产品质量的结果转变为关注产品质量的影响因素;从过去的分散管理、就事论事转变为在系统的观点指导下的全面且综合的控制管理;突出了质量的中心地位,并围绕质量展开企业的管理工作;强调持续低质量改进过程,由单纯地符合标准转变为满足客户的需要。
二、质量成本
质量成本是全面质量管理过程的一个重要方面,它将产品的质量与成本有机地结合起来,是将技术与经济融为一体的现代成本概念。
质量成本是指为了防止低质量的发生或矫正低质量产品而发生的成本,这些成本强调一致质量,并发生在价值链的所有阶段。也就是说,质量成本是为了保证产品符合一定的质量要求所发生的相关费用和损失。虽然国内外学者对质量成本具体内容的概括不尽相同,但一般都包括以下两大部分。
(一)因产品质量未达到规定标准而发生的一切损失
(1)内部缺陷成本是指在交付客户之前,因检查出产品或劳务不符合规格或客户的要求而发生的成本。例如,废品损失、返修损失、复检费用、停工损失等成本项目都属于内部缺陷成本。
(2)外部缺陷成本是指将不符合规格或客户要求的产品或劳务交付给客户之后所发生的成本。例如,索赔费用、退货损失、保修费用、折价损失等成本项目都属于外部缺陷成本。产品未达到应有的质量水平而失去的销售机会是一种机会成本,也属于外部缺陷成本。
(二)为保证和提高产品质量而发生的一切费用
(1)预防成本是指为了防止产生不合格产品或劳务而采取行动所发生的成本,其目的是期望减少甚至杜绝故障、次品和废品等质量问题。例如,质量培训费、质量审核费、质量改进措施费等成本项目都属于预防成本。
(2)检验成本是为了确定产品或劳务是否符合特定质量要求而发生的成本。在实际工作中,检验成本具体包括进货检验费、工序检验费、产成品检验费、检验设备维修费等成本项目。
此外,按是否实际支付,我们还可以将质量成本分为显性成本和隐性成本。显性成本是指企业在生产经营过程中实际发生的有形损失,此类成本需要得到补偿。内部缺陷成本、外部缺陷成本、预防成本和检验成本的大部分都属于显性成本。隐性成本是指实际发生但并未支付的无形损失,此类成本只须计算而不必得到补偿,比如停工损失、折价损失。按是否可以避免,质量成本又可以分为可避免成本和不可避免成本。内部缺陷成本和外部缺陷成本属于可避免成本,而预防成本和检验成本属于不可避免成本。很明显,这两类成本之间存在着此消彼长的关系。当不可避免成本增加时,可避免成本就会降低;当不可避免成本降低时,可避免成本则会增加。正是这种关系使得企业对质量成本的控制管理成为可能。
三、质量成本的控制管理
质量成本管理是现代成本核算管理工作发展的必然趋势。根据不可避免成本与可避免成本之间的关系及成本—效益原则,企业对质量成本进行控制管理的基本策略是:只要预防成本和检验成本小于在不进行预防和检验控制情况下的产品检修成本,企业就应当致力于预防和检验控制,防止质量事故的发生。
从质量成本的分类构成中可以看出,虽然产品质量的提高会引起成本的变化,但不能因此将质量和成本对立起来,武断地认为提高产品质量必然增加产品成本。因为在质量成本的构成中,内部缺陷成本和外部缺陷成本作为质量损失成本是可避免的,而预防成本和检验成本作为质量保证成本则不可避免,两者之间是此消彼长的关系。起初,预防成本和检验成本一般较低,而内部缺陷成本和外部缺陷成本较高;随着企业对产品质量要求的提高,预防成本和检验成本逐渐增加,产品合格率得到改善,从而降低了内部缺陷成本和外部缺陷成本。但是,当质量达到一定水平之后,纵然大幅度增加预防成本和检验成本,内部缺陷成本和外部缺陷成本的降低速度也将逐渐放慢。在这种相互联系中,存在着一个最佳质量水平,它使得企业产品的质量总成本最小。图10-1描述了各质量成本项目间的基本关系及最佳质量水平的存在。

图10-3 质量成本项目间的关系
如何根据会计信息系统提供的资料计算确定产品质量水平的理想点就是“最佳质量成本的决策”的问题。美国的两位著名质量管理专家费根堡姆和朱兰分别提出了两个不同的最佳质量成本模型。
(一)费根堡姆的最佳质量成本模型
费根堡姆模型的分析过程是:当产品质量低下时,内部和外部缺陷成本就上升;反之则下降。至于预防成本,只要提高产品质量,一般就会逐渐上升。而检验成本则不论在什么情况下,一般都趋于稳定状态。将上述四项成本之和绘成质量总成本的曲线,其最低点即为最佳质量成本。
上述原理的数学模型表示如下:
Q(x)=F(x)+G(x)+K(x)
其中:x代表产品质量水平(如产品合格率),F(x)代表质量损失成本,G(x)代表检验成本,K(x)代表预防成本,Q(x)代表质量总成本。
对函数Q(x)求一阶导数,并令Q′(x)=0,则有
Q′(x)=F′(x)+G′(x)+K′(x)=0
求得上述方程中的x值,则此x值就是达到最佳质量成本点的产品质量水平。
上述质量损失成本、预防成本和检验成本的函数模型可以根据企业的历史数据,用数理统计方法予以确立。但在实际工作中,最常用的方法还是根据统计资料和经验估计进行质量成本决策分析。其一般步骤是:首先根据历史统计资料和科学的经验估计,找出在一定生产量下,各种合格率的质量损失、预防成本和检验成本;然后根据各种合格率的质量总成本,找出其中最低的一点(或在单位产品应负担的质量成本中选择最低点),该点即为最佳质量成本点,所确定的成本即为最佳质量成本,与其对应的产品合格率即为最佳质量水平。
(二)朱兰的最佳质量成本模型
朱兰模型的分析过程是:内部和外部缺陷成本的曲线一般随着质量的提高呈现出由高到低的下降趋势。而预防成本与检验成本之和的曲线则随着质量的提高呈现出由低到高的上升趋势。上述两条线的交点,与质量总成本曲线的最低点处于同一条垂直线的位置上,即为最佳质量成本。
根据上述分析可建立如下的数学模型:
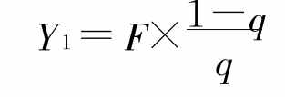
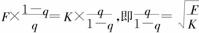
设F代表每件废品造成的损失,q代表产品合格率,1-q代表产品的不合格率,Y1代表每件合格产品应负担的废品损失。则

当q=100%时,Y1=0;当q=0时,Y1无限大。
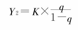
再令每件产品的检验成本与预防成本之和为Y2,则

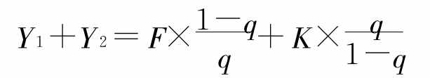
K代表Y2随合格率与不合格率之比而变化的系数。上述公式表示检验成本与预防成本之和与产品合格率成正比,同不合格率成反比。显然,若能确定K值,就可以求出不同合格品率的相应支付每件产品的检验成本和预防成本之和,而K可根据企业的历史资料确定。根据上述计算,单位产品的质量成本可以表示为

当
时单位产品的质量成本可以取得最小值。
将F及K的值代入上式,即可得到最佳质量水平。
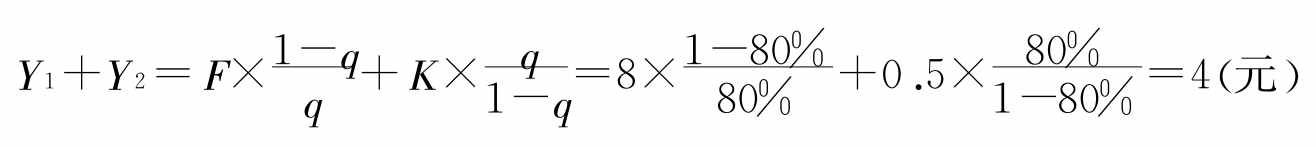
例10-10:假设某公司生产甲产品,目前甲产品的合格率为60%。会计信息系统提供的质量成本信息如下:每件产品所负担的预防成本和检验成本之和为0.75元,每件废品的质量损失为8元。根据上述信息,负责对质量成本进行控制管理的相关人员就可以确定甲产品的最佳质量水平以及单位产品的最佳质量成本。计算过程如下。
根据朱兰模型,首先求得每件产品所负担的预防成本和检验成本之和随合格率与不合格率之比而变化的系数。

则在
时,单位产品的质量成本最小,此时对应的产品合格率q=80%。
由此可知,在当前条件下,甲产品的最佳质量水平应是产品合格率达到80%,而不是目前的60%。
相应地,单位产品的最佳质量成本为

需要注意的是,质量成本控制管理的关键是如何通过产品质量与成本的恰当匹配,实现企业收益的最大化。前面我们只是依据产品质量成本各项目与质量水平间的关系来进行最佳质量成本决策。事实上,产品质量与产品售价、企业收入间也存在着密切关系。比如,当产品质量提高时,产品的售价、销量和质量成本往往会同时增加;但当质量水平达到一定程度之后,继续提高产品质量只会导致质量成本的迅速上升,而产品售价和销量却很难再有提升,这就会引发企业经济效益的下降。因此,要进一步分析提高产品质量水平的边际收益,从而确定经济效益最佳时的质量水平。
例10-11:承接上例,若该企业单位产品的变动成本为8元,生产能力为200件,产品售价为20元/件,则其产品合格率从80%往上提高后的最佳质量成本水平分析如表10-7所示。
从表10-7中我们可以看出,当产品合格率从81%提高到82%时,合格品增加2件,销售收入增加40元,变动成本增加16元,产品质量成本增加12.24元,增加的边际收益为11.76元。因为此时的边际收益大于0,所以企业还可以继续提高产品合格率。根据这种分析方法,我们可以看出当产品合格率为84%时,企业的经济效益较大(以表10-7中列示的数据为基础)。
表10-7 最佳质量水平的边际收益分析 单位:元

当然,此时的边际收益为4.23,仍然大于0,企业进一步提高产品合格率仍有获利空间。使用插补法,我们可以进一步确定边际收益为0时的产品合格率水平:

求解可得,企业的最佳产品合格率水平x=84.86%。