社会恐慌的传播模型建构与治理对策建议——对2011年抢盐事件的案例研究(1)
廖卫民(2)
在中国公共安全领域中,近年来频频发生社会恐慌现象,其主要表现为:人们对日常生活中各种潜在的安全风险过分担忧,对其现实的安全风险予以超乎寻常的密集关注,以至于在某些情境和触发条件下产生集群性的恐慌行为,造成不必要的社会麻烦和公共秩序混乱。在客观上看,社会恐慌的非理性传播不仅没有真正消除潜在的安全风险,反而有可能增加新的社会安全问题,这就值得新闻传播学者进行系统的理论反思和对策研究。
一、问题提出:社会恐慌何以发生?如何治理?
2011年3月15日起,因日本地震、海啸、核危机引发,在中国大陆戏剧性、突发性地出现了一场大面积抢购食盐的谣“盐”风波,尽管在短时间内得以平息,但是由此暴露出的问题依然引人深思。这不过是社会恐慌在当下过度传播的一个最新典型案例。探究这场社会恐慌爆发的源头,很容易产生这样的疑问:在日本本土最可能造成灾害应急商品短缺的条件下并没有发生食盐抢购行为,为什么反而在隔海相望的中国,在如此广大范围内发生了全国性食盐抢购风潮?这是本案例让世人觉得奇怪难解、让国际舆论关注的问题。
从新闻传播学的角度来分析,至少有两个方面的问题值得研究:一是荒诞无稽的谣言其内在传播机制如何起作用?大面积的社会恐慌究竟是如何引发并迅速传播的?二是政府、媒体及相关企业的及时应对策略迅速有效消解了谣言的负面影响,究竟有哪些得失之道值得总结研究?如何采取有效的治理对策,培育应对各类复杂危机的健康社会心态,减少乃至避免社会恐慌过度传播现象?
二、概念辨析:对于社会恐慌的不同视角解读
检索中国知网(CNKI)关于社会恐慌或其与媒介、传播关系的研究文献可以发现,对于社会恐慌有多种层面的概念界定和意义解读。一种观点从健康传播研究的视角,认为“社会恐慌是心理疾患的急性发作”,是“认识上的病症”(3),即认定社会恐慌为一种不健康的社会心理状态;最多的主流观点认为社会恐慌与媒介传播关系密切。邵培仁(2007)教授提出的媒介恐慌论认为:“媒介在对社会恐慌事件进行大规模报道的过程中会导致产生新的更多的恐慌现象或恐慌心理。”在媒介恐慌论看来,社会恐慌源于媒介的过度报道和传播诸如恐怖、灾害、惊悚事件的信息,“媒介这种渴望发生大新闻的心理和面对突发事件所暴露出来的兴奋状态,它引发的如果不是大量的恐慌,就是普遍的不安,甚至还有可能产生一系列非理性的直觉式的反应。”(4)
另有研究文献是从“恐慌行为”上来测量社会恐慌现象(5),例如有学者在对2003年SARS消息传播的案例研究中界定“恐慌行为”必须同时满足下列条件:①获知SARS消息后,三天内通知3个或以上的他人;②十分关注有关SARS的消息;③购买“预防”SARS的商品。这提供了一种较为客观界定“社会恐慌”概念的方法,即社会恐慌是公众在恐慌心理作用下采取诸如转发相关信息、抢购防范商品等恐慌行为的社会现象。这种概念界定具有一定的可操作性,有助于进行实证研究。综合以上研究笔者认为,社会恐慌是公众在面临社会风险时,出于对自身和他人安全的考虑而产生的一种担心、忧虑乃至惊恐的应激性反应,在社会整体层面上往往导致出现过度关注、密集传播或集群行为现象。这种社会心理反应本身应该是社会现实的一种折射,其来源既有可能是社会本身隐含的现实矛盾引发,也有可能是媒介过度传播的心理影响所致。
三、理论模型建构:微观策略博弈与宏观系统动力模型
尽管在本案例中,广为传播的恐慌信息在事后被证实为谣言,但是,为了获得一般性的理论模型,笔者在此还是选用更为客观的“风险性信息”这一词语表述,毕竟在当时多数当事人还无法辨识其真实性。要透彻分析社会恐慌的发生机制,至少需要在微观和宏观两个层面对风险性信息的传播过程进行理论模型建构。在微观上,需要考察这些风险性信息传递到普通受众后,如何产生集群性的社会恐慌情绪和一致性的社会恐慌行为?在宏观上,需要考察产生社会恐慌的风险性信息究竟是如何告知社会大众的,即如何使得获知信息的受众在数量上快速增长?
(一)风险性信息传播的微观层面的策略博弈模型
首先,假定“风险性信息”在传播之前,任何一个个体i,认为这一现实危险发生的概率为p(i),每个人认定的可能性是不同的。凡是认定这一概率存在较高可能性的人,往往倾向于采取防范措施,因此,对于风险的认知会大大影响到其行为结果。
为分析简便,假设公众对于此风险发生的概率认定数值平均为p,假定平均购买食盐的代价是付出10元(食盐便宜,付出成本相对较小),万一遭受核辐射危害的平均代价假定为付出100-000元(身体健康受到损害对个人而言是无价的,但医治需要支付费用),那么,至少存在四种类型的行为,其结果分别列表如下。比较后可以发现,如果p>1/10-000,那么抢先购买食盐所付出的平均代价最低;如果p<1/10-000,那么不相信且不购买食盐所付出的平均代价最低,且自我感知效用损失为零;然而,一旦通常认定的小概率事件确实发生,那么没有采取有效措施的行为面临的代价最大。这是一种简单的静态分析(如表1所示)。
表1 面对“风险性信息”的抢购行为代价与效用分析表(风险发生概率为p)

在本次事件中,核辐射风险影响中国的可能性确实存在,对当事人而言尚不确定是否污染食盐生产,即无法完全排除p=0。随着信息的披露,福岛核辐射危机由于东京电力公司在初期存在应对失误,一步一步不断加重,客观上在个人感知过程中形成p(i)的数值会不断增大的感觉,因此,使得个体应对风险的行为效用和平均代价也不断发生变动,最终,对于危险概率预估高的人会先行采取抢购行为,即先以微小代价获得一定的心理安全保障;如果p(i)的数值被人们感知为足够大,比如p(i)>1/100,那么即便是高价或超量购买,都要比不购买行为的平均代价低,这样就会促使人们采取大量抢购行为,从而,形成市场供应紧张;这样,反过来使得更多人感知到现实风险的迫近,又进一步改变一些人对p(i)数值的预估,从而造成更大范围的社会恐慌。
这种社会恐慌心理的正反馈机制,在一些谣言研究文献中也多有论述,有研究者运用简单的博弈论策略分析得出“如果谣言使人们的预期收益越高(6)的话,在他人的影响下,个体相信谣言的可能性也越大”,并且发现“在群体压力和网络效应之下,谣言的扩散存在着一种正反馈机制,下一个人相信谣言的概率和人群中已相信谣言的比例有一种非线性的函数关系”(7)。
概括起来看,在“风险性信息”存在不确定的时候,任何行为都可能在微观上符合个体理性选择,都是无可厚非的。被社会恐慌心理袭扰程度最高的人群是相信现实危险迫近,又没有获得自认为可以解除风险的物品(例如,碘盐)的人群,他们的这些恐慌心理经过发酵、放大和扩散,就有可能造成一定程度上的社会性动荡和公共秩序混乱。即便是个体所付平均代价较低,但由于中国人口众多,哪怕有0.1%的人口加入恐慌性抢购当中,都会形成巨大的社会总代价,产生强大的社会冲击波,这也是中国大陆突发性社会恐慌动辄引起国际舆论关注的原因。
(二)风险性信息传播的宏观动力模型:SIR模型和SIS模型
从宏观看,对于信息传播的受众数量增长模型,学术界采用较为广泛且较为深入、完备的是传染病模型,因为“现有的谣言传播模型大都借鉴了传染病模型”(8)。其中最常见的是SIR模型和SIS模型。事实上,笔者曾在一项传播学实证性研究中使用过SIR模型,用以研究网络上的隐私信息被大肆传播的现象(9)。这一传染病模型事实上具有非常强的通用性,因为几乎所有的传播行为在数量规律上均具备一定的同构性,只要是传播行为,不论是谣言,还是其他风险性信息的传播,都可以视为类同某种“疫病”的传播,或者说是类同某种具备扩散性的信息在复杂网络系统中的遍历行为(10)。
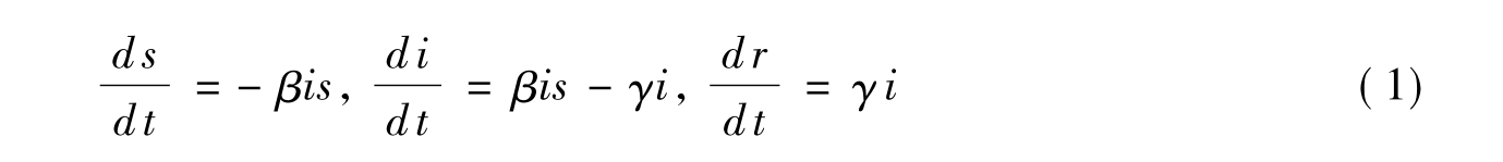
SIR模型是基于所谓的“仓室”(11)(Compartment)概念而建构的,尽管它的基本思想早在1927年就提出来了,但至今仍然被广泛使用并不断发展。根据Kermack-McKendrick的SIR仓室模型,针对某类传染病,可以将人群分成以下三类:易感者(Susceptibles)、感染者(Infectives)和移出者(Removed)或者是具有免疫能力的人群,其数量分别记为s(t)、i(t)和r(t),表示t时刻的人数,设β是易感个体在单位时间内被某个染病个体传染的比率,γ是染病个体的康复比率(12)。根据仓室间人群数量流动的关系,可以建立以下基本的数学模型:

借助上述SIR模型,在风险性信息传播的活动中,同样存在三种人群:
(1)易感者,一般指没有获知风险性信息,但对之感兴趣的人群。
(2)感染者,指那些已经接受了这些信息而且可能会再转发此信息、或进行评议、或参与集群行为的人群。
(3)移出者,指那些已经了解了这些信息,觉得没有兴趣,他们不再可能会转发或评议这一信息。
对于诸如肺结核等患者治愈后依然无法获得免疫能力的疾病,使用SIR模型就不适宜,因为移出舱室的人依然可能染病,在(1)式稍加改进就成为(2)式的SIS模型:

在本次谣“盐”风波中,有一则笑话广为传播,说的是“在某超市,一大群民众在疯狂抢盐,而一位老太太却神情自若地选购其他商品。有人问:大妈,你怎么不买盐?老太太回答:‘非典’时候买的盐还没吃完呢”!那么,这位老太太则属于SIR模型中的“移出者”,对于谣言信息具有一种免疫特征。当然,还有人尽管曾经被谣言伤害,但仍可能再次成为谣言信息的接受者。因此,在本次谣“盐”风波,SIR模型和SIS模型所描述的两种情形都存在。
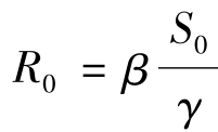
一个特别有用的理论推证结果是:在SIR模型中,如果设S0是初始时间状态的被感染的人群数量,那么对微分方程组(1)求解后,可以获得区分疾病流行与否的阈值,这一数值为:
;如果R0>1,那么染病者人数i(t)将先增加达到最大数值,然后再减少而最终消亡,这是传染病流行的数量变化特征。如果R0<1,那么i(t)将单调下降而趋向于零,疾病不会流行。根据这个结果,可以发现影响一条风险性信息是否能大面积流行传播的主要因素有:最初有多少人相信、风险性信息的接触率、接收信息后能正确处置的康复率;且三者之间存在某种数量关系特征,由此可测量风险性信息爆发传播与否的各自临界数值。
特别要指出的是,这一结果与谣言传播研究的诸多文献表述模型之间有着奇妙的一致性。例如,最为广泛引用的谣言强度公式R~i×a,即谣言传播的广度强度正比于信息的重要性与模糊性(13),信息的重要性和模糊性事实上有助于促进信息传播,从而客观上增加了信息与公众的接触概率;R~i×a/c,即谣言传播的广度强度还与公众判断能力成反比(14),这一点恰恰与“康复率”一致。
最后,需要说明的是,恐慌性的风险信息传播本身并不一定都必然导致人群的集聚抢盐行为。在现实社会的集群情境下,还存在着社会心理与行为的诱发引致过程。例如,在人群中形成某种“自组织”现象,形成信息流人流的拥挤、涡旋现象及波动形态,这些更为复杂的现象或问题都可以通过人群动力学模型(15)进行模型建构与数学描述,在此就不赘述。
四、案例分析:风险性信息与“辟谣”信息交互传播的效果考察
在“风险性信息”传播机制的一般理论模型建构,其分析框架其实对“辟谣”信息的传播也同样适用。在现实生活中,这两类信息事实上往往是在同一时空领域内交错进行,即一条风险性信息广为传播后,会产生社会恐慌,而政府、媒介和相关组织又会发布解除风险的辟谣信息(或者及时发布真相),这两者之间都遵从信息传播规律,要考察最终的效果,往往看两者之间的赛跑,究竟谁战胜了谁?在本次谣“盐”风波中,风险性信息的传播有其自身特点,而辟谣信息的广为传播和有关应对措施的运用,使得谣言得以迅速识破消解,抢购风潮成为昙花一现。
(一)各地群众抢盐:从风险性信息到恐慌性谣传的立体传播
此次风波究竟谁是谣言信息传播的始作俑者,最早在何时何地出现谣称“日本核辐射会污染海水导致以后生产的盐都无法食用”这类恐慌性信息,从研究角度看,还难以给出确切证据。但根据各种新闻报道,可以确定浙江是“盐慌”发源地之一。笔者身处杭州,最早收到的一条有关核辐射的“温馨提示”短信是在2011年3月15日,其主要内容为:“为了预防核辐射(这个东西真的很厉害!)在未来两三个月里如果刮东风、东北风、东南风的时候出门戴口罩、穿长衣(白色为好)、每天洗澡、多摄入含碘食物!”等,这还不能算是谣传信息,至多算是风险性信息。
后经杭州警方查实,在3月15日上午,网名为“鱼翁”的陈某复制并转发“据有价值信息,日本核电站爆炸对山东海域有影响,并不断地污染,请转告周边的家人朋友储备些盐、干海带,暂一年内不要吃海产品”的信息(16)。据笔者分析,这一信息本身含有“请转告”字样,可以被认为是典型的具备自我复制传播特征的谣言信息,被浙江湖州等地网民转发后,引起了部分市民的恐慌。据此报道,电信部门负责人告诉新华社记者,16~17日浙江全省通话量出现爆炸性增长,话务量主要集中在16日傍晚。从16日起,浙江、广东、上海等地市民纷纷前往超市、便利店、农贸市场抢购食盐,导致这些地区食盐的销售量相较平时猛增。
从以上事实中可以观察到,此次谣“盐”传播风生水起之处主要是在地理空间上接近日本的中国沿海地区,网络空间又一次扮演了谣言的策源地角色;但是,导致这次恐慌性抢购行为的主要传播方式还是短信和电话的人际传播,浙江地区的话务量短时激增的事实表明了这一点。中央电视台《新闻1+1》栏目3月18日《危“盐”耸听为哪般?》的报道中,有消费者面对摄像镜头说:“我家里人叫我来买的”;有的说:“朋友叫我来买的,叫我买了寄过去”等。在各地电视台相关新闻报道中可以看到,一些被采访者往往是在不明就里的情况下到达食盐抢购现场,到达现场的人群往往会在从众心理作用下加入抢购风潮。可见恐慌信息传播引发恐慌行为,然后诱发更多恐慌行为,最终形成在地理区域的扩散和规模的扩大。
(二)官方部门应对:从辟谣声明的公开发布到紧急有效的行政举措
当然,在发现盐业市场异动状况后,有关部门已开始行动,发表辟谣声明广泛传播,采取紧急配送、保障供应的措施。另据媒体报道(17),浙江省盐业公司15日晚已接到绍兴、慈溪等地报告称盐业销售有异常情况,当晚就开始通宵加班调查。在16日下午事件升级后,浙江盐业通过媒体公布包括“食盐库存充分”、“近期食盐不会调价”、“浙江海盐占比少,矿盐几乎占了浙江市场的90%”等重要信息平息谣言传播影响。3月17日下午2点左右,中国盐业发布了关于部分地区食盐抢购现象声明,称“中国完全有能力保障食盐供应。各地食盐供应出现紧张,是由于短时间内大量抢购所致,事实上中国的食盐储备非常充足”。其官方微博同时声明“发生抢购的地区盐业公司都已经启动应急预案,启动国家和省级储备,实行24小时紧急配送”。以杭州市为例,盐业配送中心每天日常售盐量约为40吨,而3月17日一天食盐批发量达到了1-081吨,是平日的27倍。
国家发改委、卫生部等相关政府部门在事件发生后迅速采取了有效的行政管理行为,同时通过大众媒体公开发布各种辟谣信息。发改委3月17日发布《关于稳定食盐等部分商品市场和价格的紧急通知》,要求各地价格主管部门加大价格监督检查力度,严厉打击捏造、散布涨价信息、恶意囤积、哄抬价格等违法行为。卫生部援引中国疾病控制预防中心关于“吃碘盐能不能预防放射性碘摄入”的发文进行辟谣。此外,专营食盐的盐业公司及时有力的声明与举措,在一定程度上遏制了恐慌性谣言信息的传播势头,至少根本解除了抢购带来的食盐缺货、断货之忧。这些举措从根本上动摇了谣言传播的基础,使得社会恐慌行为失去了存在土壤。
(三)大众媒介给力:从科学信息的广泛传播到“盐慌”谣言的不攻自破
与以往网络谣言肆意传播的现象有所不同,本次谣“盐”风波中的谣传虽然借助了网络匿名性、快速性、海量信息传播的特点,但其内容的荒诞性也很快被网民批驳得体无完肤,使得网络没有成为谣言演化的大染缸、集散地,反而成为辟谣的阵地和战场,网络媒体在本次谣“盐”风波中体现了一种自我纠偏和校正信息的能力,成为攻破谣言传播的先锋。以新浪微博数据为例,从3月16日至18日23点,以“盐”搜索,共计有4-348-414条微博涉盐,其中,16日有131-798条,而17日增加到2-303-799条,其中大多数网民对“盐慌”都持理性态度,同时积极转发各种科学知识和政府辟谣公告。例如:网友“纪丙健in红味坊”的一条微博转发达到43-053:“中国不缺盐,不需哄抢。请理智的签名转发(转发范例:我在成都,我不参与抢盐)。微博上的人是最理智又聪明的一群人。请转发并且告诉身边人。”
一些科学杂志、科学科普网站也不断发布能够让谣言自显其谬的信息。例如,笔者注意到《中国国家地理》的官方微博迅速推出了以“盐”为题的一组图片,配以简短有力的信息发布:“让我们看看中国的盐:盐分为湖盐、海盐和井矿盐,中国共有盐湖1-500多个,仅其中一个青海茶卡盐湖探明盐储量就达4.4亿吨以上,足够全国人民吃70年。”“这是在乌尔禾盐湖看到的景象……看这盐山,不用抢购了吧……”3月17日下午科普网站果壳网和科学松鼠会的科普编辑在线为网友答疑解惑。
除了网络,传统媒体中的广播、电视和报纸也通过澄清事实、答疑解惑的方式,对公众传播各种辟谣信息和科学知识,从而使得恐慌性谣言传播不攻自破。在笔者看来,科学知识的广泛传播,最终使得谣言丧失了其合理性,从各个方面彻底解除了恐慌存在的根源,其基本要点归纳一下主要有:第一,现实危险并不存在(井盐湖盐生产不受核辐射影响,食盐供应不缺);第二,所用手段(通过食盐防核辐射)毫无效果;第三,所用手段反而有害(食用过多碘盐反而有害健康);第四,其他日常危险比之还大,乃杞人之忧(假如你害怕核辐射就戒烟(18));第五,更危险处境者都没这么做(日本人没抢购),何患之有;第六,社会上可能有人故意造谣诱购(游资炒作的惯用手法(19))。大众媒介在传播过程中,从不同的逻辑点上,打消了人们的顾虑,笼罩人们心头的恐慌于是迅速烟消云散。
五、理论反思:社会恐慌的治理对策建议
这次谣“盐”风波在72小时内基本平息并恢复正常社会秩序,充分表明政府和公众在应对社会恐慌事件中都有进步。浙江大学社会建设研究所所长王小章分析认为,这与政府能够及时公开有关信息并通过各种媒介予以传播有关,同时也是近几年来政府能够不断实践信息公开,与公众建立了良性互动关系的结果。中国人民大学舆论研究所所长喻国明也对政府行为做了肯定,“不说实话会影响权威,与以往相比,这一次官方能及时公开信息全力应对进步有目共睹”(20)。在喻国明看来,如果能够建立信息采集和预警制度,“盐慌”就不会被群体化,在保证主渠道的信息畅通的前提下,公众在各种事件中就能将恐慌降低到一个理性的程度。
尽管此次事件,政府媒体公众的有效作为大大减少了社会恐慌的负面影响,使得社会恐慌发生中真正卷入恐慌抢购人群的比例非常有限,但在人数总量上依然不是一个小数字。这一全国范围内恐慌性抢购食盐事件的发生,至少能说明中国当下的信息传播系统依然存在的以下若干重要的关节问题,需要在今后的研究中进一步探究,给有关方面的社会管理工作提出有针对性的治理对策。
第一,消除信息贫困,破除导致社会恐慌的传播盲区。在本次参加抢购的行动者当中,很多人是通过电话、短信等人际沟通方式,在第一时间获得谣传信息从而盲目采取行动。由此可以判断,不论是传统媒体还是网络媒体的传播,在覆盖率或接触率上,都存在着传播时空的空白点或盲区,这是谣言能够一时兴风作浪的空间。信息贫困者、知识贫困者,就如同缺乏免疫能力者,往往更容易成为谣言传播的受害者,往往会在社会恐慌情绪裹挟下失去独立判断能力。因此,根据SIR模型原理,消除信息贫困,可以有效提高部分易感群体接触社会正面信息的渠道,提高克服心理恐慌的康复率。
第二,进行科学传播,提高公众知识水平,形成有效的社会恐慌免疫力。在本次抢盐风潮中,具备科学知识的人断然不会受到恐慌信息的干扰,他们自身具备对谣言信息的自我鉴别能力。有关身体健康、社会公共安全等方面的科学知识,有关社会恐慌本身的传播学、社会心理学知识都可以帮助人们识别谣言真相。这些知识的日常储备和心理准备犹如对谣言的自然免疫,如果具备了此种免疫机能,社会恐慌现象就会得到根本抑制。在反思此次事件时,传播学者周裕琼也认为:“考虑到中国社会所面临的诸多风险,未来我们要面对的谣言只会越来越多,在政府主导与民众参与下,建立健全社会谣言免疫体系才是根本之计。”(21)
第三,监控资本异动,打击故意造谣的扰乱市场秩序行为,建设安全社会氛围。在本次社会恐慌中,资本市场的异常炒作成为一个值得关注的现象,至于是否是游资发动策划,众说纷纭(22)。但是,游资炒作本身具有资本逐利的本性,在“蒜你狠”、“姜你军”、“豆你玩”、“谣你盐”(或“盐王爷”)等网络热词走红背后都有其身影起作用,都存在一定程度上的故意混淆视听的传播不实信息的行为。因此,监控资本异动及其引发的投资恐慌心理,是治理社会恐慌的一个值得重视的方面,以往可能有所忽略,今后需进行更深层次的综合研究,以建设公平的资本交易环境,确保安全的社会氛围。
第四,借助微博等新媒体舆论平台,激发其内在的正向引导机制,净化信息传播环境。在突发公共事件中网络舆论传播具有一种波浪运动的特征(23),往往是一波未平一波又起,呈现出舆论波叠加的形态(24)。在本次事件恐慌谣言误导和正向舆论引导的交锋过程中可以发现,微博等新媒体形式展现了一种自我纠偏和校正信息的能力,成为破除谣言传播的先锋。由于微博可以自由转发和及时评论,各种辟谣信息和质证意见能够通过微博的“粉丝”群体得到一种链式反应的扩散传播,在很短时间内传递开来。造谣的信息或不实之词,能够通过质疑、辩驳的过程,得以澄清,特别是认证后的微博实际具备了准实名制的功能,发言者在一定程度上要对其言论负责,对其转发的信息附加其自身的判断力。因此,借助本案例研究发现,社会恐慌的消除可以在新媒体舆论平台的传播交往行动中完成,它借助的实际是具有社会共享机制的智力判断和知识鉴别过程,从理论推断其传播效果比单纯的大众媒介传播要更具有一定的持久性。
总体看,社会恐慌现象涉及方方面面的问题,体现出了一定的突发性、反复性、矛盾性及复杂性。要从根本上破除危言耸听的谣言传播和社会恐慌的莫名袭扰,其长效治理对策还在于不断提高公众的科学知识素养和判断鉴别能力,不断消除社会各阶层的信息知识鸿沟,切实保障覆盖信息传播盲区,并积极引领新媒体舆论平台的正向引导机制,使各项社会管理事务和措施能根据社会信息变化迅速执行到位,真正建设好一个全面和谐的、有安全感、有信任度的信息社会。
【注释】
(1)本文为2010年度教育部人文社会科学研究青年基金项目《网络舆论波的传播动力机制与社会治理对策研究》(编号:10YJCZH084)的阶段性成果。
(2)廖卫民,博士,浙江理工大学文化传播学院副教授。
(3)张梦新,李琴.健康传播与社会恐慌[J].当代传播,2003(5).
(4)邵培仁.媒介恐慌论与媒介恐怖论的兴起、演变及理性抉择[J].现代传播,2007(4).
(5)葛岩.传播控制与社会恐慌——珠江三角洲SARS消息传播案例的试验性研究[EB/OL].http://academic.mediachina.net/article.php?id=5511.
(6)笔者注:预期损失减小的情况基本等同于预期收益增高。
(7)李国武.谣言实现的社会机制及对信息的治理[J].社会,2005(4).
(8)张芳,司光亚,罗批.谣言传播模型研究综述[J].复杂系统与复杂性科学,2009(4).
(9)廖卫民.网络隐私过度传播现象的模型建构和案例分析[J].中国传媒报告,2007(2).
(10)遍历是从一个节点出发,到访整个网络中的任何一个节点的行为。
(11)马知恩,周义仓,王稳地,靳祯.传染病动力学的数学建模与研究[M].北京:科学出版社,2004:3—6.
(12)事实上,由于β,γ的数值不一定是常数,对不同的传播个体而言,可能服从某个动态的概率分布,在这样的假设下还可以得出更为复杂的数学模型。
(13)奥尔波特等.谣言心理学[M].沈阳:辽宁教育出版社,2003.
(14)巢乃鹏,黄娴.网络传播中的“谣言”现象研究[J].情报理论与实践,2004(6).
(15)田玉敏.恐慌情况下人群心理及行为规律的探讨[J].人类工效学,2008(1).
(16)新华社.谣言是如何成为“谣盐”的?——全国食盐恐慌性抢购的幕后[N].杭州日报,2011-03-22(A4).
(17)中国新闻网.专家点评“盐慌”平息:政府公众俱有进步[EB/OL].(2011-3-19).http://www.chinanews.com/gn/ 2011/03-19/2917339.shtml.
(18)3月23日《中国青年报》上,科普作家方舟子发表一篇题为《假如你害怕核辐射就戒烟》文章,称抽烟也有核辐射危险。
(19)浙江经视《新闻深呼吸》栏目主持人舒中胜在微博中认为:“制造恐慌,疯抢食盐,网络炒作,题材股大涨,游资特别是浙江资本庄家大赚一把,这恐怕才是盐慌的逻辑。”
(20)专家点评“盐慌”平息:政府公众俱有进步[EB/OL].(2011-03-19).中国新闻网.
(21)周裕琼.谣“盐”何以惑众?[N].南方周末,2011-03-24(E27).
(22)有媒体报道浙江证监局排查后澄清,因抢盐风波而导致云南盐化(002053.SZ)3月17日涨停一事,并非游资潜伏炒作所致,也有媒体报道此次江浙游资的炒作以落败告终。然而,也有记者经过分析,指出其中的奥秘在于:机构“割肉清仓”,游资成功出逃,两者配合默契(骆海涛:《炒盐:有人掩护,有人出逃》,《南方周末》2011年3月24日)。
(23)廖卫民.突发公共事件中网络舆论传播特征[J].新闻前哨,2010(11).
(24)廖卫民,柯伟.网络舆论波研究——基于波浪力学理论及杭州两起舆论事件的思考[J].新闻记者,2010(4).