1
西方财务会计(第三版)
1.15.4.2 二、负债对股东权益比率

二、负债对股东权益比率

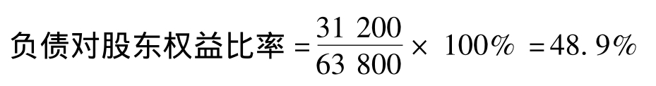
负债对股东权益比率(Liabilitiesto Equity Ratio)用来反映负债与权益资本的数量关系,从而评价企业的财务风险。因为负债和权益资本有着完全不同的性质,负债要求企业定期支付利息,到期归还本金,而不管企业是否盈利。权益资本则不需偿还,在董事会未宣布股利之前也不承担支付任何股利的法律责任。所以一般认为,企业负债对股东权益比率越高,企业的财务风险就越大,债权人的保障程度就越小。一旦利息率高于资产报酬率,就会使股东利益遭受损害。负债对股东权益比率计算公式如下:

img227

根据表13-3,宁兰公司2006年12月31日的负债对股东权益比率为:

img228