1
无机化学
1.9.4.1 6.4.1 弱酸强碱盐
6.4.1 弱酸强碱盐

常见的弱酸强碱盐有NaAc、KCN、NaClO 等。以NaAc 为例,其水解反应方程式为

总的反应式即水解方程式为

令水解平衡常数为KӨh,根据多重平衡规则有

由此可见,酸越弱,KӨh 越大,也就是说该弱酸与强碱生成的盐的水解程度越大。

通常,我们用h 表示水解度,h=×100%

例6.7 计算0.1 mol/L NaAc 溶液的pH 和h。

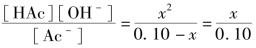
解 ①已知HAc 的解离常数KӨa=1.74×10-5,NaAc 为弱酸强碱盐,水解反应方程式为

起始浓度 0.10 0 0

平衡浓度 0.10-x x x

忽略水的电离,可认为x=[OH-]=[HAc],由于KӨh 很小,可近似认为0.10-x≈0.10,

[Ac-]≈c

KӨh=

即 [OH-]=x=≈7.6×10-6

pOH=-lg(7.6×10-6)≈5.12

pH=14-pOH=8.88

②h=×100%=0.007 6%

由上述计算可知,对一般一元弱酸强碱盐溶液,可以推出近似的计算公式:

弱酸强碱盐溶液一般呈碱性,碱性的大小与盐浓度及酸的强弱有关。