1
无机化学
1.9.2.3 6.2.3 一元弱酸、弱碱的解离平衡
6.2.3 一元弱酸、弱碱的解离平衡

对于弱酸、弱碱来说,应用解离平衡理论,可以求出H+或OH-的浓度以及解离度、pH。下面分别针对一元弱酸、弱碱举实例说明。

例6.3 试计算25 ℃时,0.10 mol/L 乙酸溶液的H+和解离度a。

解 查表,25 ℃时乙酸的解离常数KӨa=1.75×10-5,在乙酸的水溶液中存在如下两个解离平衡:

H+有两个来源,一是来自水溶液中的水,二是来自酸。一般,酸解离出来的H+远远大于水中解离出来的浓度,故水的解离可以忽略,即溶液中c(H+)≈c(Ac-)。

设c(H+)=x mol/L

起始浓度/(mol·L-1) 0.10 0 0

平衡浓度/(mol·L-1) 0.10-x x x

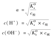
一般,c/KӨa ≥500 时,c≫x mol/L,可近似认为0.10-x≈0.10,所以,x2=0.10×KӨa=1.75×10-5

c(H+)=≈1.32×10-3mol/L

a==×100%=1.32%

将上述公式推广到一般形式,对浓度为c的一元弱酸,有