1
无机化学
1.6.1.3 3.1.3 离子键的本质
3.1.3 离子键的本质

从离子键的形成过程可以看出,正、负离子通过电荷之间的相互作用结合在一起,离子键的本质其实就是静电作用,因此我们说离子键没有方向性和饱和性。要注意的是:“离子键没有方向性”是指离子的电荷分布呈球形对称,可以在空间各个方向上等同地与带相反电荷的离子互相吸引,即正、负离子之间的静电作用没有空间选择性;“离子键没有饱和性”是指只要离子周围的空间条件允许,它就倾向于吸引尽可能多的带相反电荷的离子。

以金属钠和氯气生成氯化钠固体为例,我们可以设想有下列过程发生:在电离能较小的Na 原子与电子亲和能较大的Cl 原子相互作用时,由于两者的电负性相差较大,原子之间发生了电子转移,Na 原子的电子组态为1s22s22p63s1,趋向失去最外层的1 个电子,成为具有稳定结构的Na+;而Cl 原子的电子组态为1s22s22p63s23p5,趋向得到1 个电子,成为具有稳定结构的Cl-。带正电荷的Na+和带负电荷的Cl-由于静电吸引而互相靠近,但是要注意到Na+和Cl-距离较近时,它们的电子云之间以及它们的原子核之间会产生较强的排斥作用。当Na+和Cl-之间的静电吸引和排斥作用达到平衡时就形成了离子键,所以我们说离子键是正、负离子之间的强烈相互作用。

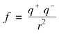
如上所述,电负性差值较大的活泼金属原子和活泼非金属原子之间能够通过电子转移分别成为正、负离子,在形成离子键的过程中,往往伴随着体系能量的变化。体系释放的能量越多,表示正、负离子之间的结合越牢固,即离子键越稳定。我们从体系能量的角度进一步讨论离子键的形成过程。如果将正、负离子看作是球形对称,它们所带的电荷分别为q+和q-,两者之间距离为r,则按库仑定律它们之间的静电引力为:

由此可知,离子电荷越大,离子间距离越小,则引力越大(但当r 小到平衡距离时,斥力则迅速增大)。图3.2表示NaCl 的势能曲线。我们从中可以看出,随着气态的Na+和Cl-之间的距离减小,体系的吸引势能减小,而排斥势能增大,因此讨论离子键的形成时,要考虑总的势能的变化。随着Na+和Cl-之间的距离接近238 pm,这时它们的吸引作用和排斥作用达到平衡状态,形成的气态分子体系的能量最低,意味着Na+和Cl-之间形成稳定的离子键。

图3.2 NaCl 的势能曲线