1.3.6.5 [札记和片断]
[札记和片断]

[176]

气体动力学证明mv2也适用于气体分子。因此,分子运动和物体运动有同样的定律。两者的差异在这里被取消了。

[172]

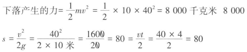
10千克的物体被提升80米143,则自由下落的最终速度为v=gt=10×4=40米。下落产生的力img千克米秒。

提升所做的功:10×80=800千克米。

img千克米。

如果提升所用的时间为40秒,那么v=2,v2=4

10千克×80米=800千克米。

5+15+25+35

10千克的物体下落80米所用时间为4秒,

每秒下落的距离依次为5,15,25,35。

4秒末时的速度=40米。

img
img

80+45+55

10千克的物体,其质量img对这个质量为1的物体施加10千克的力,使其运行80米,其结果=800千克米。

质量为1的物体下落80米,所用时间为4秒,最终速度=40米。

img

50千克的物体被提升180米,自由下落所用的时间为6秒,最终速度为60米。

50千克=质量5,承受的力=10千克,运动距离为180米,

功:5×10×180=9000千克米。

50千克=质量5,自由下落的最终速度为60米,

img

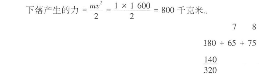
40千克的物体被提升320米,自由下落所用的时间为8秒,最终速度为80米。

img

40千克的物体作用在轴1上,将使10千克的物体在轴4上提升4×320=1280米,而不是320米。

img

这个10千克的物体从1280米的高处自由下落,所用时间为16秒,最终速度为160米。

下落产生的力:

img

[173]

img

1×5=5×1

质量为4的物体以速度4撞击另一个质量为4的物体,则质量为4+4,运动速度为2。

img
img

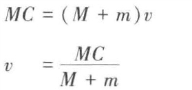
M速度为Cm处于静止状态 碰撞前MC2

img

碰撞后(M+mv2

img
img
img
img
img

[174]

img