1.3.6.4 运动的量度——功131
运动的量度——功 131

“相反,直到现在我仍然发现:这个领域中的基本概念〈即“功及其不变性的基本物理概念”〉,对于那些没有研习过数理力学的人来说,不管他们多么努力,多么有才华,甚至还有相当高的自然科学造诣,都是很难理解的。不能否认,这是一种十分特别的抽象。甚至像伊·康德这样有才智的人也不是轻而易举就能领悟的,这从他和莱布尼茨在这个问题上的争论就可以得到证明。”

这段话是亥姆霍兹说的(《通俗科学讲演集》第2册序言)。

这样,我们现在就冒险进入了一个十分危险的领域,何况我们不好冒昧地让读者去“研习数理力学”。但是,也许事实表明:在问题涉及到概念时,辩证思维至少可以像数学计算那样管用。

伽利略一方面发现了落体定律,依照这个定律,落体经过的距离和下落所用的时间的平方成正比。另一方面,他又提出一个如我们将会看到的同这个定律不完全符合的命题:一个物体的运动量(它的冲量或动量)是由质量和速度决定的,所以在质量不变时它与速度成正比。笛卡儿采取了后一命题,把运动物体的质量和速度的乘积一般地看做物体运动的量度。

惠更斯已经发现:在弹性碰撞时,质量和速度平方的乘积之和,在碰撞前后是不变的,而且类似的定律,对于联成一个系统的各个物体的其他各种运动情况,也是适用的。

莱布尼茨是看出笛卡儿的运动量度和落体定律相矛盾的第一个人。另一方面,不能否认,笛卡儿的运动量度在许多情况下是正确的。因此,莱布尼茨把运动力分为死力和活力。死力是静止物体的“压力”或拉力,其量度是物体的质量同物体由静止状态转入运动时的运动速度的乘积;至于活力的量度,即物体的真正运动的量度,他则认为是质量和速度平方的乘积。而且,他是直接从落体定律导出这种新的运动量度的。莱布尼茨的结论是:

“把4磅重的物体提升1英尺和把1磅重的物体提升4英尺,需要同样的力;但是运动距离和速度的平方成正比,因为,物体下落4英尺,其速度两倍于下落1英尺。而物体下落时获得把物体提升到原有高度所需要的力;所以这两种力都和速度的平方成正比。”(苏特尔《数学史》第2卷第367页)

但是他进一步又证明了:运动的量度mv和笛卡儿关于运动量守恒的命题是矛盾的,因为,如果这一量度真正有效,那么力(即运动量)在自然界中就会不断地增加或减少。他甚至设计了一种仪器(《学术纪事》132,1690年),如果mv这一量度是正确的,这种仪器就必然成为不断获得力的永动机,而这是荒谬的。近来,亥姆霍兹又常常使用这种论据。

笛卡儿派竭力抗争,于是发生了一场著名的延续多年的争论,康德在他的第一部著作(《关于活力的正确评价的思想》,1746年)133中也参加了这场争论,虽然他并没有弄清这个问题。今天的数学家们都十分轻蔑地看待这场“无结果的”争论,这场争论

“延续了四十多年,使欧洲的数学家分成了两个敌对的阵营,直到最后,达兰贝尔才以他的《动力学》(1743年)一书,俨然以最后裁决的形式结束了这场只能说是无益的文字争论”(苏特尔,上引书第366页)。

但是,看来还不能把争论的问题这样完全归结为一场无益的文字争论,因为争论的问题是由莱布尼茨这样的人物针对笛卡儿这样的人物提出来的,而且康德这样的人物也探讨了这个问题,并为此写了他的第一部相当有分量的著作。的确,说运动有两种互相矛盾的量度,一会儿说它和速度成正比,一会儿又说它和速度平方成正比,怎样才能使之协调一致呢?苏特尔把事情看得很容易。他说,两种说法都对也都不对;

“‘活力’这个用语一直沿用至今;但是它不再被看做力的量度,而只是一度用来表示质量和速度平方的一半的乘积这一力学中很有意义的东西”[第368页]。

由此可见,mv仍是运动的量度,而活力只是img的另一种表达,关于这一公式,我们虽然知道它在力学中很有意义,可是现在确实不知道它的意义何在。

我们且把那用来救命的《动力学》拿在手上,仔细读一下达兰贝尔的“最后裁决”。它就写在序言里。

那里说:在正文中根本没有谈这整个问题,因为“这个问题对于力学来说毫无用处”。[第ⅩⅦ页]

这对纯粹计算的力学来说是完全正确的,在这样的力学中,正像以上我们在苏特尔那里看到的,文字标记不过是代数公式的另一种表达,另一种名称,就这些名称来说,最好根本别去费脑筋。

但是,由于有如此重要的人物探讨过这个问题,所以达兰贝尔也愿意在序言中简略地考察一下这个问题。他认为,人们只要头脑清醒,就会把运动物体的力仅仅理解为物体克服障碍或抵抗障碍的特性。所以,力既不能用mv去量度,也不能用mv2去量度,而只能用障碍和这些障碍的阻抗来量度。

障碍有三种:(1)不可克服的障碍,这种障碍可以使运动完全消失,所以在这里用不着考察;(2)其阻抗刚好足以使运动停止,而且这是一瞬间做到的:平衡的情况;(3)只能逐渐使运动停止的障碍:减速运动的情况。[第ⅩⅦ—ⅩⅧ页]“大家都会同意:当两个物体的质量与其虚速度(即物体即将开始运动的速度)的乘积彼此相等时,这两个物体便处于平衡状态。所以在平衡中,质量和速度的乘积,即运动量,是可以代表为的。大家也都会同意:在减速运动的情况下,被克服的障碍的数目和速度的平方成正比,因此,如果一个物体例如在某一速度下可以压缩一根弹簧,那么在速度为两倍时就可以同时或连续压缩四根而不是两根同样的弹簧,当速度为三倍时可以压缩九根,依此类推。于是活力的拥护者〈莱布尼茨派〉便由此得出结论:运动中的物体的力,一般是同质量和速度平方的乘积成正比。其实,如果力的量度在平衡状态中和在减速运动中有所不同,这又有什么不方便呢?因为,只要用明确的概念来进行推论,他就应把力这个词仅仅理解为克服障碍或抵抗障碍时所发生的那种作用。”(法文第1版序言第ⅩⅨ—ⅩⅩ页)

但是达兰贝尔毕竟是一位哲学家,他不会不明白用如此轻而易举的办法是摆脱不了同一个力有双重量度这一矛盾的。因此,在他实际上只是重复了莱布尼茨已经说过的话(因为他的“平衡”和莱布尼茨的“死压力”是一回事)之后,突然又转向笛卡儿派,找到下面这样一条出路:

mv这一乘积甚至在减速运动的情况下也可以看做力的量度,“只要在这种情况下不是用障碍的绝对量去量度力,而是用这些障碍的阻抗的总和去量度力。毋庸置疑,阻抗的这个总和是与运动量〈mv〉成正比的,这是因为,如大家所公认的,物体在每一瞬间所失去的运动量同阻抗与无限小的时间段的乘积成正比,而这些乘积的总和显然表示全部阻抗”。这后一种计算方式在他看来更为合理,“因为一个障碍只有当它产生阻抗时才成其为障碍,阻抗的总和恰当地表示被克服的障碍;此外,这样量度力还有一个好处,就是说平衡和减速运动就有了一种共同的量度”。但是究竟怎样行事,不妨各随其便。[第ⅩⅩ—ⅩⅪ页]

这样,他用一种数学上不正确的方法(这一点连苏特尔也是承认的)自认为解决了问题,随后,他在序言的末尾对他的前辈们的思想混乱作了令人不快的评述,并且断言:从以上的评述看来,这只能是一场毫无价值的形而上学的争论,甚至是一场更加不足取的纯粹文字争论。

达兰贝尔的调和建议可归结为下列计算:

质量为1,速度为1,在单位时间内可压缩1根弹簧。

质量为1,速度为2,可压缩4根弹簧,但要用2个单位时间,即在每个单位时间内只能压缩2根弹簧。

质量为1,速度为3,在3个单位时间内可压缩9根弹簧,即在每个单位时间内只能压缩3根弹簧。

所以,如果用所需要的时间去除效果,我们就又从mv2回到mv了。

这正是卡特兰以前用来批驳莱布尼茨的那个论据134:的确,一个速度为2的物体抵抗重力而上升的高度,是速度为1的物体上升高度的4倍,但是所需时间为2倍;所以,运动量应除以时间,结果等于2,而不等于4。十分奇怪,苏特尔的观点也是这样。他去除了“活力”这一用语的全部逻辑含义,只给它留下了数学含义。其实,这是很自然的。在苏特尔看来,问题是要把mv这一公式拯救出来,把它作为运动量的唯一量度;所以,mv2就合乎逻辑地要被牺牲掉,以便在数学的天国里变容复活。

不过,如果说卡特兰的论据构成一座连接mvmv2的桥梁,因而是有价值的,这倒是对的。

达兰贝尔之后的力学家们根本没有接受他的最后裁决,因为他的最后裁决是有利于以mv为运动的量度的。他们抓住他在表述莱布尼茨对死力和活力的区分时所说的话:对于平衡,即对于静力学来说,mv是有效的;对于受阻碍的运动,即对于动力学来说,mv2是有效的。这种区分虽然大体上是正确的,但是在这种形式下,它并不比那位军士的著名解决办法有更多的逻辑含义:这位军士值班时总是说“对我”,在下班后总是说“使我”135。大家都默认这种区分:既然事已如此,我们就无法去改变,即使这种双重量度有矛盾,我们又有什么办法呢?

例如,汤姆生和泰特在《自然哲学论》(1867年牛津版)第162页上说:

“一个没有自转的、运动着的刚体,其运动量或动量,与其质量和速度二者成正比。质量或速度增加一倍,运动量也增加一倍。”

紧接着又说:

“一个运动着的物体的活力或动能,与质量和速度的平方二者成正比。”

他们竟这样明显地把两种相互矛盾的运动量度并列在一起。对这个矛盾根本不想去说明,哪怕只是掩饰一下也不想去做。在这两位苏格兰人136的著作中,思维是被禁止的,只有计算才被容许。难怪他们当中至少有一个人,即泰特,被看做虔诚的苏格兰的最虔诚的基督徒了。

在基尔霍夫的关于数理力学的讲义[21]中,mv和mv2这两个公式完全不是以这种形式出现。

也许亥姆霍兹会帮助我们。他在《论力的守恒》中主张用img来表示活力[22],这一点我们回头再来谈。接着他在第20页和以下几页略举了“活力〈即img守恒原理至今仍被应用和承认的几种情况”。其中的第二种情况是:

“只要不发生摩擦或非弹性体的碰撞,运动就可以由不可压缩的固体或流体来传递。在这些情况下,我们的一般原理通常表述为下列规则:由机械力所传递和改变的运动,其力的强度的减少与其速度的增加总是保持同一比例。因此,如果我们设想有一架机器靠某种过程而均匀地产生做功的力,重量m借助于这架机器以速度c向上升起,而重量nm借助于另一架机械装置向上升起,不过其速度为img那么,在这两种情况下,由机器在单位时间内产生的张力的量,都可以用mgc来表示,其中g表示重力的强度。”[第21页]

这样,这里又产生一个矛盾:与速度成简单比例而增减的“力的强度”,竟不得不成为依速度平方而增减的力的强度守恒的证明。

当然,这里表明,mvimg被用来规定两种完全不同的过程,但是这一点我们老早就已经知道,因为mv2不可能=mv,除非v=1。问题是要弄清楚,为什么运动会有两种量度,这种情况在科学中也和在商业中一样,是不允许的。因此,我们再试一试别的解决办法。

既然mv可以用来量度“由机械力所传递和改变的运动”,那么这种量度对于杠杆及其一切派生的形式,如滑轮、螺杆等等,一句话,对于传递运动的一切机械,都是适用的。但是,一种十分简单而又不是什么新的考察表明:在这里,在mv适用的场合,mv2也一样适用。我们来考察一下这样一个机械装置,在这个装置中,两边的杠杆臂的比是4∶1,因而在这个装置中1千克的重物可以同4千克的重物保持平衡。这样,我们在一个杠杆臂上稍微加上一点力,使1千克上升20米;如果把同样的力加在另一个杠杆臂上,则可以使4千克上升5米,并且较重的重物下降所用的时间和另一个重物上升所需要的时间是一样的。质量和速度互为反比:mv,1×20=m'v',4×5。反过来,我们让每个重物在上升以后又自由下落到原来的水平线上,则1千克的重物下落20米所达到的速度是20米(在这里,重力加速度用整数10米来表示,而不是9.81米);另一个4千克的重物下落5米所达到的速度是10米。137

mv2=1×20×20=400=m'v'2=4×10×10=400。

相反,下落所用的时间却是不一样的:4千克下落5米,时间是1秒;1千克下落20米,时间是2秒。摩擦和空气阻力在这里当然全都略去。

但是两个物体中的每一个从所在高度下落后,运动便停止了。所以,在这里mv表现为单纯传递的、也就是持续的机械运动的量度,而mv2表现为已经消失的机械运动的量度。

其次,完全弹性体相碰撞的情形也是一样:mv的总和与mv2的总和在碰撞前后都是不变的。两个量度具有同样的效力。

非弹性体相碰撞时,情形就不同了。在这里,通行的初等教科书(高等力学几乎根本不再研究这类小问题)都说,mv的总和在碰撞前后是一样的。相反,活力却有损失,因为,如果用碰撞前的mv2的总和减去碰撞后的mv2的总和,会留下一个总归是正的余数。这个量(或它的一半,这要视采取的观点而定)就是因碰撞物体的相互挤压和变形而减少的活力。这后一点现在是清楚明白的。前一论断,即mv的总和在碰撞前后不变,却不是如此。不管苏特尔怎么说,活力是运动,如果它的一部分丧失掉,运动也就丧失了。可见,要么mv在这里表示运动量并不准确,要么上述论断是错误的。总之,这整个定理是从这样一个时代承袭下来的,在这个时代,人们对运动的转化还毫无所知,因而只是在没有别的出路时才承认机械运动的消失。所以,mv的总和在碰撞前后的相等,是由这一总和在碰撞前后不增不减来证明的。但是,既然物体由于没有弹性而发生相应的内部摩擦使活力有所损失,从而也就使速度有所损失,那么mv的总和在碰撞后必定比碰撞前小。既然在计算mv2时,内部摩擦显得这样重要,那么在计算mv时就不应把它略去。

但是,这没有什么关系。即使我们承认这个定理,而且在计算碰撞后的速度时假定mv的总和不变,我们仍然可以发现mv2的总和减少了。因此,mvmv2在这里发生了冲突,而且是因为出现了实际消失的机械运动的量差。计算本身表明:mv2的总和准确地表示运动量,而mv的总和并未准确地表示运动量。

mv应用于力学的各种情形大致上就是如此。下面我们来考察一下应用mv2的几种情形。

当炮弹发射出去的时候,无论它击中固体目标,或者因空气阻力和重力的作用而趋于静止,它在飞行过程中总要消耗一个和mv2成正比的运动量。如果一列火车撞上另一列停着的火车,那么碰撞的激烈程度和相应的破坏程度,和这列火车的mv2成正比。计算克服某一阻抗所需要的机械力,同样要应用mv2

但是,“克服某一阻抗”这一在力学家中非常流行的方便用语的含义是什么呢?

如果我们提升一个重物,克服了重力的阻抗,那么在这种情况下某个运动量即某个机械力的量便消失了,这个消失的运动量即机械力的量等于所提升的重物从它所达到的高度直接或间接下落到原来的水平线时重新产生的运动量即机械力的量。这个量可以用重物的质量同下落的最终速度的平方的乘积的一半即img来量度。那么提升重物时发生了什么呢?机械运动或机械力本身消失了。但是它并没有化为乌有:按亥姆霍兹的说法,它转化为机械张力;[23]按现代人的说法,它转化为位能;按克劳修斯的说法,它转化为埃尔加勒[Ergal];[24]而且它可以在任何时候用任何力学上可行的方法重新转化为同它产生时所必需的机械运动等量的机械运动。位能只是活力的反面表现,反之亦然。

一颗24磅重的炮弹以每秒400米的速度击中一艘铁甲舰的一米厚的钢板而对钢板无显著影响。就是说,在这里消失的机械运动等于img,即等于12×400×400×img=960000千克米(因为24磅=12千克[25])。这一运动变成什么了呢?一小部分消耗于钢板的震动及其分子移动。另一部分消耗于把炮弹爆炸成无数碎片。大部分则转化为热,使炮弹升温到炽热状态。1864年,普鲁士人在驶向阿尔斯岛时用重炮轰击罗尔夫·克拉克号138的铁甲船舷,每命中一发,他们在黑暗中都看到突然变得炽热的炮弹所发出的闪光,而惠特沃思通过实验早已证明,射向铁甲舰的爆破弹无须安装雷管;炽热的金属本身就可以引燃炮弹中的炸药。如果以424千克米作为单位热量的机械当量139,那么和上述机械运动的量相当的是2264单位的热量。铁的比热是0.1140,也就是说,使1千克水的温度升高1℃的热量(这一热量被当做热量单位),足以使img=8.772千克铁的温度升高1℃。所以,上述2264单位的热量可以使1千克铁的温度升高8.772×2264=19860°,或使19860千克的铁升高1℃。因为这一热量均等地分布于舰身钢板和击中钢板的炮弹上,所以后者的温度便升高img=828°,这就足以产生出相当高的炽热。但是,因为炮弹前端即与目标碰撞的一端所得到的热量必定占绝大部分,大约比后半截所得到的热量多一倍,所以前端的温度会上升到1104℃,而后半截的温度则上升到552℃,即使我们把碰撞时实际作的机械功大打折扣,这也完全足以解释炽热效应。

机械运动在摩擦中同样也会消失,并以热的形式重新出现;大家知道,曼彻斯特的焦耳和哥本哈根的柯尔丁,对这两种相互关联的过程作了尽可能精确的测量,通过实验第一次近似地确定了热的机械当量。

由机械力,例如由蒸汽机发动的磁发电机产生电流的情形也是一样的。一定时间内产生的所谓电动力的量和同一时间内消耗的机械运动的量成正比,如果用同一量度来表示,则二者正好相等。我们可以设想,这个量不是由蒸汽机产生,而是由一个在重力作用下下落的重物产生的。这个重物所能提供的机械力,可以用该重物自由下落经过同一高度所得到的活力去量度,或者用该重物重新升到原来的高度所需要的力去量度:两种情况都是用img去量度。

这样,我们发现机械运动确实有双重量度,但是也发现每一种量度适用于某个界限十分确定的范围之内的一系列现象。如果现有的机械运动以保持机械运动的方式进行传递,那么它是按照质量和速度的乘积的比例传递的。但是,如果它以下述方式进行传递,即它作为机械运动消失掉而又以位能、热、电等等形式重新出现,一句话,它转化为另一种运动形式,那么这种新的运动形式的量则同原来运动着的质量和速度平方的乘积成正比。一句话,mv是以机械运动来量度的机械运动;img是以机械运动转化为一定量的其他运动形式的能力来量度的机械运动。我们看到,这两种量度因为互不相同,所以并不相互矛盾。

由此可见,莱布尼茨和笛卡儿派的争论决不是单纯的文字争论,而达兰贝尔的最后裁决事实上并没有解决任何问题。达兰贝尔大可不必长篇大论地指责他的前辈们糊涂,因为他自己和他们一样糊涂。事实上,只要人们不知道仿佛消失了的机械运动变成了什么,他们一定会是糊涂的。只要像苏特尔这样的数理力学家死守在本专业的范围之内,他们就会像达兰贝尔一样糊涂,而且一定会用既空洞又充满矛盾的套话来搪塞我们。

但是,现代力学对机械运动向在量上与之成正比的另一种运动形式的这种转化是怎样表述的呢?——它做了功,而且做了如此这般多的功。

但是,这里并没有把功这一概念的物理含义充分表达出来。比如说,在蒸汽机或热力机中热转化为机械运动,即分子运动转化为物体运动;热使化合物分解;热在热电堆中转化为电;电流从稀硫酸中把水的两种元素分解出来,或者反过来,在电池的化学过程中释放出来的运动(换句话说,就是能量)采取电的形式,而后者在闭合电路中又重新转化为热——在所有这些过程中,那种使过程发生并由此转化为另一运动形式的运动形式做了功,而且它所做的功的量是和它自己原有的量相当的。

所以,功是从量的方面来考察的运动形式的变换。

但是,这是怎么一回事呢?如果一个被提升的重物停在高处不动,那么在静止状态下它的位能仍是一种运动形式吗?当然是。甚至泰特也深信,这种位能随后会化为一种实在运动的形式(《自然》杂志)。140此外,基尔霍夫走得远得多,他说(《数学物理学讲义。力学》第32页):

“静止是运动的特殊情况”,

这就证明:他不仅能计算,而且能辩证地思维。

可见,我们通过考察机械运动的两种量度,完全是顺便地、轻而易举地而且几乎是自然而然地得出了功这一概念,而有人曾对我们说,不懂数理力学是很难理解这一概念的。不管怎么说,我们现在对这一概念所了解的超过了我们从亥姆霍兹1862年《论力的守恒》这一讲演中所学到的东西,而正是在这一讲演中,他要

“尽可能清楚地阐明功及其不变性的基本物理概念”[26]。

我们在这里所学到的关于功的全部东西就是:功是可以用磅英尺或热量单位表示的东西,而这种磅英尺或热量单位的数目对于一定量的功来说是不变的;其次,除机械力和热外,化学力和电力也能做功,但是所有这些力都会随着它们实际所做的功而耗去它们做功的能力。由此可以得出结论:整个自然界中能够起作用的力的量的总和,不管自然界发生怎样的变化,总是永恒不变的。功这一概念既没有得到阐发,甚至也没有被界定。[27]正是功的大小在量方面的不变性,使亥姆霍兹看不出:质变、形式变换是物理学上的一切功的基本条件。正因为如此,他竟断言:

“摩擦和非弹性碰撞是机械功消失并从而产生热的过程。”(《通俗科学讲演集》第2册第166页)

正好相反。在这里机械功并没有消失,在这里是做了机械功。机械运动表面上消失了。但是,机械运动本身如果不在表面上消失,如果不转化为另一种运动形式,就连百万分之一千克米的功也无法做出来。

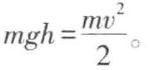
包含在一定量的机械运动中的做功能力,正像我们所看到的,称做这一机械运动的活力,而且直到最近还是用mv2来量度的。可是在这里出现了一个新的矛盾。我们且听听亥姆霍兹的说法(《论力的守恒》第9页)。他说:功的大小可以用升到h高的重物m来表示;然后,如果用g来表示重力,则功的大小=mgh。重物m要自由地垂直上升到h这一高度,需要速度v=img,它下落时又会得到同一速度。所以,img于是亥姆霍兹建议“用img这个量来表示活力的量,这样一来,它就和功的大小的量度同一了。就活力这个概念一向使用的情况来说……这一变动没有什么意义,不过以后会给我们带来莫大好处”。

这真是难以置信。亥姆霍兹在1847年对活力和功的相互关系还不大清楚,以致完全没有发觉,他是怎样把活力的先前的比例量度变为它的绝对量度的;而且完全没有意识到,他由于自己的大胆的处理竟作出了多么重要的发现,而且他仅仅是出于方便的考虑,才推荐用img来代替mv2的!力学家们也是为了方便才采用img的。这个img只是逐渐地在数学上得到了证明:瑙曼从代数上作了阐发(《普通化学》第7页[28]),克劳修斯从解析法上作了阐发(《力学的热理论》第2版第1卷第18页),这一阐发后来又由基尔霍夫作了另外的推导和解释(上引书第27页)。克拉克·麦克斯韦提供了从mvimg的出色的代数上的推导(上引书第88页)。可是这并不妨碍我们的两位苏格兰人汤姆生和泰特136这样说(上引书第163页):

“一个运动着的物体的活力或动能,与质量和速度的平方二者成正比。如果我们采用先前的质量[和速度]的单位〈即以单位速度运动着的质量的单位〉,那么把活力界定为质量和速度平方的乘积的一半,是特别有利的。”

可见,在这里,在这两位一流的苏格兰力学家那里,不仅思维停止了,而且计算也停止了。说这个公式特别有利、十分方便,就妙不可言地把一切都解决了。

我们已经知道,活力无非是一定量的机械运动做功的能力,所以在我们看来,不言而喻,这一做功的能力和它实际做的功,用力学的量度来表示,必定是彼此相等的,因此,如果功可以用来量度,那么活力也一定可以用img来量度。而这就是科学上发生的情形。理论力学得出了活力这一概念,工程师们的应用力学得出了功这一概念,并把它强加给理论家。人们只顾计算而非常不习惯于思维,以致多年来都没有认识到二者的相互联系,他们用mv2去量度其中的一个,用img去量度另一个,而最后才采用img量度这二者,但这不是因为有了认识,而是为了计算的简便![29]