1
趣味物理学
1.10.12 8.12 什么时候走曲线比走直线更快?
8.12 什么时候走曲线比走直线更快?

依据上节的结论,可以这么理解,如果全程各段的速度不同的话,走曲折路线会比走直线更早到达目的地。事实上,情况的确如此。

还是举例说明,假设某人住在两个火车站之间,不过他距离一个火车站很近,而离另一个火车站呢,就有点远。现在,他想尽快赶到那个远的火车站。他采取的方法是,先骑马反方向走,到近处的火车站,然后坐火车到目的地——远处的那个火车站。按说,他骑马直接到目的地,其路程要近得多,可他还是骑马去近的火车站乘火车到目的地,因为这样快得多。在这个事例里,到达同样的目的地,走长的路程所花的时间要少于走短的路程。

为了更明白这件事,我们不妨再花些时间看另外一个事例。有一位通讯员骑马把一份情报从A点送到C点的司令部(图8-16)。在他所在的位置A点和C点的位置司令部之间有一片草地和一片沙地,两地之间以一条直线EF为分界线。马在沙地上面的奔跑速度只相当于草地上的一半。请问:这位通讯员走什么样的路线,才能在最短的时间把情报送到司令部。

如果我们不加分析,就认为走A、C两点最短路线AC的话,就大错而特错了。而我也不会相信,这名通讯员会这样走。他当然明白,沙地难走,这必然让他考虑,走沙地的路程越短越好,也就是走沙地的路线越与分界线的法线的夹角越小越好。当然,这样做会增加在草地上的路程,但在草地上,他的速度是沙地上的两倍,因而路长一些是有利于缩短全程的时间的。

上面的分析也可说是,他选择的路线应该在草地和沙地之间有一个折角,折点在分界线EF上,并使得草地上的路线与分界线垂线的夹角要大于沙地上的路线与分界线垂线的夹角。

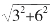
如果你学过几何学,你就可以通过勾股定理证明最快的路线不是直线AC。依图8-17来说,最快的路线应是AMC。

图8-17上注明,沙地宽2千米,草地宽3千米,BC长7千米。根据勾股弦定理,AC的全长为:

≈8.60千米。

很容易算出,沙地部分AN的路程等于全长的,即3.44千米。因沙地上行进速度等于草地上的一半,故而走3.44千米的沙路所花的时间相当于走草地6.88千米。因此,走完AC全程8.60千米所花的时间相当于在草地上走为12.04(8.60-3.44+6.88=12.04)千米所花的时间。

图8-16 通讯员难题。求通讯员骑马从A点到C点的最快捷的路径

图8-17 通讯员难题的解答。最快捷的路径是AMC

我们可以用同样的方法折算出路线AEC全程所花的时间:

AE=2千米,相当于在草地上走4千米的时间;

≈7.61千米。

两者相加,即为AEC全程相当于在草地上走的路程:4+7.61=11.61千米。

依据上述分析,可知原本最“短”的直线路程,事实上相当于走草地路程12.04千米,而比较长的路程AEC,却只相当于在草地上走11.61千米。比较一下可知,看起来最“短”的路线,要比看起来“长”的路线要多12.04-11.61=0.43千米,差不多有半千米!

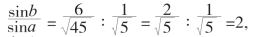
在这里,我们还没有求出最快的路线呢。从理论上讲,最快的路线应该是角b的正弦跟角a的正弦之比(sinb/sina)等于草地上的速度跟沙地上的速度间之比,即2∶1。这就意味着,最快的路线必定是sinb等于sina的两倍。这时分界线上M点到E点的距离应为1千米。

sinb和sina的比是

这恰好等于两个速度之比。

我们也把这段路程花的时间折算成在草地上所花的时间,那么有:

AM=,这相当于在草地上走了4.47千米,MC=≈6.70千米。全程长4.47+6.70=11.17千米。相比于最“短”的直线路线AC的12.04千米,足足短了0.87千米。

从上述事例中我们可以看到,在这道题的条件下,选择走曲线比走直线快捷。光线就是这样选择捷径的,因为这个题目的一切数学上的要求完全符合光的折射定律:光在新介质中的传播速度跟在原介质中的比值,等于光线的折射角的正弦与入射角的正弦之比。从光学方面来说,就个比值就是光在这两种介质间的折射率(图8-18)。

这时,我们可以把光的反射和折射定律合在一起,得出无论何时何地,光总会选择最快的路线传播,这就是物理学上的“最快到达原理”(费马原理)。

前面所说的介质都是均匀的,如果介质本身不均匀,那它的折射程度会依介质的疏密而改变,比如在大气里——即便在这种介质里,最快到达原理依然适用。依此原理,我们可以解释天体射来的光线在穿越大气层时出现的轻微折射的现象。天文学家称这种折射为“大气折射”。

图8-18 角1的正弦为线段m和半径之比,角2的正弦为线段n和半径之比

我们知道,在大气层里,越往下,大气密度越大,因而光线的折射路线更凹向地面,于是光线在上层稀薄空气里会走更长的路程,因为在那里光线走得更快,而在下层大气稠密的近地面,光线传播速度变慢,走的路程更短,那么它的线路就要比原直线路线更快到达地面。

最快到达原理(费马原理)不只适用于光的现象,也适用于声波传播以及任何波动,不管这种波动属于哪一类。

讲到这里,也许读者很想知道,物理学家们如何解释波的这种特性的。在近代物理学上,波的这种特性曾起过很大的作用。鉴于此,我们看一看现代物理学家薛定谔是如何解释这一特性的。

还是以前面谈到的士兵行军的例子来说明,同时假定光线在密度逐渐改变的介质传播,现代物理学家薛定谔[1]说:

假如士兵们人人都握着一根长杆子,用来保持整个队伍的正面能够整齐。现在,司令员命令全队全速前进!而地面的情形不是突变的,而是逐渐改变的,打个比方说,开始时队伍的右翼跑得快些,随后左翼才紧跟上去,这样一来,队伍的正面自然会偏离原垂直的前进方向转向一侧。这时我们可以看出,他们所走的路线会曲折,不再是直线的了。很显然,这条路线遵循最快到达原理,因为每个士兵都以最大速度往前跑。