任务三 智慧仓储业务需求分析

表格 商品基本情况表
引 例
某服装智慧仓储业务需求分析
某服装股份有限公司是一家以线上经营为主的服装企业,目前随着业务量的持续上升以及客户要求的不断提高,现有的仓储服务已经无法满足业务发展的需求,且仓库目前处于轻度亏损的状态,以期通过投入智慧物流设备技术来提高订单拣选效率和准确率,降低人力投入成本,提升客户体验感。
经过初期洽谈,了解到目前该公司遇到的问题如下:①人员需求大、成本高、人员作业强度大、对员工经验依赖性较强;②拣选人员需要在仓库大量行走去找寻商品(占用总时间的60%);③订单时效性、准确率要求较高;④商品种类众多,订单商品需求量小的商品分散存储在仓库内,寻找难度大,拣货出错率高,拣选效率低(仓库平均每日可处理订单商品数为1 000件左右)。面对这样的情况,企业仓储管理人员叫苦不迭,希望通过仓库拣选存储功能区的优化升级来解决这些问题。

表格 出库、入库信息表
(资料来源:全国物流服务师职业技能竞赛样题)
思考题:
请结合以上信息,根据给出的商品基本情况以及历史出库数据进行商品基本情况的分析,分析内容包含商品存储单位、包装形态、体积、重量等方面,并根据分析结果以及历史出库情况确定智慧仓在既定周转天数内的商品存储数量。
引例分析:在进行智慧仓储业务需求分析时,需要对存储商品的库存量进行单位SKU分析、库存情况分析以及存储策略分析等。具体包括商品存储单位、包装形态、体积、重量等方面,并根据分析结果以及历史出库情况确定智慧仓在既定周转天数内的商品存储数量目标及存储策略。

表格 销售、库存数据表
一、商品情况分析
(一)商品库存量单位(SKU)
商品品种数量以库存量单位或最小存货单位来计量,即按照库存进出计量的单位(Stock Keeping Unit,SKU),即库存控制的最小可用单位,可以以件、盒、托盘等为单位。对一种商品而言,当其品牌、型号、配置、等级、花色、包装容量、单位、生产日期、保质期、用途、价格、产地等属性与其他商品存在不同时,可称为一个单品。单品与传统意义上的“品种”不同,用“单品”这一概念可以区分不同商品的属性。
1.SKU的内涵
在仓储运营和管理中,SKU包含了三方面的信息。
(1)从货品角度看,SKU是指单品,其货品属性已经被确定。只要货品属性有所不同,那么就是不同的SKU。也就是说同样的货品只要在人们对其进行保存、管理、销售、服务上有不同的方式,那么就需要被定义为不同的SKU。
例如,华为P40和华为P50是不同的SKU;同是华为P50,白色和黑色也是分属不同的SKU;同是华为P50白色,但一个是16G,另一个是32G内存,它们也还是分属不同的SKU。
(2)从业务管理的角度看,SKU还含有货品包装单位的信息。例如,SKU#123是指330毫升瓶装黑啤(以瓶为单位);SKU#456是指330毫升瓶装黑啤(以提为单位,6瓶为1提);SKU#789是指330毫升瓶装黑啤(以箱为单位,24瓶为1箱)。由于计量单位(包装单位)不同,因业务管理需要,划归于不同的SKU,当然可以有单位转换的算法协助转换SKU。又如,袜子以双为单位是一个SKU。如果其他参数都一样,只是以打为单位打成包(12双),按包销售,它们也是分属不同的SKU。
(3)从信息系统和货物编码角度看,SKU只是一个编码。不同的商品(商品名称)有不同的编码。而这个编码与被定义的商品做了一一对应的关联,这样才可以依照不同SKU的数据来记录和分析库存和销售情况。当使用WMS或者ERP系统的时候,会发现每个SKU编码都有精确的商品信息含义。
2.SKU数量对仓储规划的意义
SKU数量对仓储规划设计存在如下的具体意义:确定存储货位数目。在商品不混载存储的情况下,每个SKU应当有一个或多个存储货位。若为每个商品设置便于拣选的储位时,则设计的储位的数目应当超过预估的在库SKU数目;若为部分商品设置便于拣选的储位时,则设计的储位的数目应当超过预估的每日发货商品SKU数目。
商品SKU数目预测,应当以现状数据为基础,既符合经营发展趋势,又符合行业发展的普遍规律。
根据商品的包装特性、商品属性,可以初步确定商品适合的存储货架类型及存储方式;根据商品的包装样式、包装材料等可以判断商品适合的货架类型;根据商品的属性,可以判断商品适合的存储方式。
(二)商品外形与包装尺寸
仓储中心的货物品种数量较大,且每个商品外形尺寸各不相同,但大部分商品的外形尺寸都在合理范围之内。通常将尺寸过大、过长、过宽,或形状不规则的商品称为异形商品。分析货物外形尺寸的作用如下。
1.找出异形品
分析商品的外形尺寸数据可以找到数据上的特大值,这些数值对应了外形尺寸上超出普通范围的异形商品。
2.确定货架的合适尺寸
确定商品尺寸的合理范围可确定货架的合适尺寸。根据商品尺寸与货架尺寸的关系,可以确定货架的最佳选择。
在“货到人”作业模式中,行业内通常主要考虑体积、重量、存放能力、作业模式三个维度等。体积与重量主要影响:SKU每次的补货量能否放到单个货位中;当货架装满时,是否低于机型的最大承重。存放能力主要影响机器人的搬运模式。作业模式决定“货到人”作业效率,要求SKU为“非爆品”。“货到人”作业模式不适合“爆品”作业,若某些SKU出现次数过多,会造成含该SKU的货架一直频繁调度于各个站点,站点前调度频繁会导致拥堵等状况。
二、仓库能力分析
仓库能力分析主要围绕仓库吞吐能力、库存周转、库存规模等指标进行分析。
(一)吞吐能力
仓库吞吐能力,是指在一定时期内(一般为以月、季或年度计算)仓库出库、入库和直拨物料的总量,以实物箱数、件数为计量单位,这个指标反映着一定时期内仓库的工作量、仓库的作业效率和仓库的收发能力,体现了一个物流系统的内向聚集与外向发散的能力。
仓库吞吐能力是汇总计算的,所以,需要仓库物料有统一的计量单位(或可换算为统一的计量单位)。多数仓库以“吨”为仓库吞吐能力的计量单位,但是,很多仓库存放的物料不是以重量为单位的,也难以换算为重量单位,比如包材仓库,纸箱、卷膜、铁盒等,很难去统一为重量单位。对于这类仓库,可以用金额作为仓库吞吐能力的计量单位,便于计算、对比和分析。
与吞吐能力相关的统计数据主要包括:一段时期的入库总量与日均出库量,出库总量与日均量,以及该时期内出入库量的峰值。若要保证库存始终维持在一定的水平范围内,则一段时期内总体的入库量与出库量必然接近平衡。因此在实际分析过程中,吞吐能力既可以指入库吞吐能力,也可以指出库吞吐能力,两者在数量上近似相等。
在仓库的规划中,仓库的吞吐需求在一定程度上等于其销售出库需求,只需要推算销售的趋势变化,就可以得出仓库吞吐能力的估值。即通过预估在将来一段时期内的销售金额与平均销售价格,从而估计出库数量,即吞吐能力目标值。计算公式为:

在衡量仓库吞吐能力时,日均值通常比一段时期的出库总数更具有量化意义。计算公式为:
日均出库数量=出库总量/出库总天数
(二)库存周转
库存周转是指商品从入库到出库所经过的时间和效率,在仓储管理中被广泛地应用。库存周转情况的量化指标有两个:库存周转次数与库存周转天数。
库存周转次数是指一定周期内商品的库存能够周转几次。在仓储管理中,分析库存周转的目的在于分析实物的周转情况,因此需要使用销售数量与库存数量来计算周转次数,计算的一般公式为:

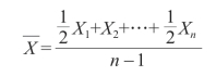
平均库存量,是指一定时期内仓库内某种物资的平均库存量。物资库存量反映一定时间节点上实际结存的某种物资数量,一般为月末库存量、季末库存量及年末库存量等。计算公式为:

其中,X1,…,Xn为各月月末库存量;n为月份的项数。
例如,某仓库上年年末库存量为950吨,1月末为650吨,2月末为850吨,3月末为1 140吨,4月末为1 050吨。该仓库平均库存量的计算公式为:
平均库存量=(1/2×950+650+850+1 140+1/2×1 050)/(5-1)=910(吨)
周转天数表示库存周转一次所需的天数,计算的一般公式为:

周转天数表示商品的平均在库天数,周转天数越长则表示商品的平均在库天数越多,因此在说明实际问题中,周转天数比周转次数更易理解和描述。
(三)库存规模
库存规模体现了物流系统的存储能力。它包括两个指标:库容量、库存量。库容量是衡量库存规模的量化指标,指仓库的最大容量。库存量是指仓库存储商品的数量,可以以货物数量作为计量,在实际物流分析中更多地使用货物箱数或件数作为计量。库容量是静态的,库存量是动态的。某个时间点的库存可能因为大量备货而极高或因大量销售而极小。
因此需要统计一段时期的每日平均库存,用日平均库存代表库存的水平,某一天或短暂时期的高库存或者低库存并不影响全局。
在出库量一定的情况下,商品周转速度快则所需的库存较少,周转速度慢则需要较大的库存量。两者之间的关系可以用函数关系来表达:
周转次数×平均库存量(箱)=全年出库总量(箱)
或:
周转天数×日均商品出库数量(箱)=平均库存数量(箱)
三、存储规划策略
(一)储位分配原则
1.以周转率为基础法则
根据商品及货架的周转率情况进行储位分配:按周转率由大到小进行物动量ABC计算,将A类货物放置于靠近拣选站处,B类次之,C类再次;同属于一段中的货品列为同一级,依照定位或分类存储的原则,指定存储区域给每一级货品,周转率越高应离出入口越近。
2.基于产品相关性原则
根据历史订单数据,采用数据挖掘技术,对产品属性的相关性进行分析,依据相关性进行排序,有效降低出入库行程,降低工作人员劳动强度,简化盘点等工作。
3.基于产品互补性原则
根据历史数据和产品属性分析产品间的互补性,将互补产品存放的位置尽量接近,以保证缺货或者并发出库时,能够快速出货。
4.基于产品尺寸原则
仓库进行库位划分及布置时,应考虑产品单位大小及同批次共同存储的数量及整批形状,确认产品和存储库位特性是否相符,以便在存储库位建立与产品存储策略对应的模型。模型应适应不同产品存储的需要,减少空间浪费,提高发货效率,避免由于空间和产品尺寸不匹配导致的物流资源损失。
5.基于重量特性原则
存储一般原则:重量重的存放在下层,重量轻的放置在上层,同时考虑目前存储产品的重量分布情况,对产品进行合理存储。
6.基于产品特性原则
存储时考虑产品的特性,是否具有危险性、腐蚀性等,建立各类物品的存储策略和物流布局。另外,也可根据存储物品特性灵活调整,但应符合相关产品的标准。同时优先级也要明确,并考虑物流布局及分拣的装置和效率,提高工效、空间利用率。
(二)存储策略
存储策略是根据货物的特点和规划的存储区域而定,不同的存储策略产生不同类型的拣选环境。合理的货位存储策略能够充分利用存储空间,减少出入库移动的距离,进而提高拣选效率。
1.随机存储策略
随机存储策略就是将需入库物品按照相同的概率随机存储于各可用货位,但没有考虑商品之间的关联性,可能会增加货架的访问次数。
2.基于周转率的存储策略
基于周转率的存储策略是将商品按照周转率进行分类存储,具有较高周转率的货物(物动量A类货物)常常被分配在靠近拣选台且较易获取的位置,这样会导致A类货架被频繁访问,容易产生局部拥堵的情况。
3.分类存储策略
分类存储策略就是将商品按照不同的类别、特性进行分类,给每类商品分配固定的存储位置进行存储。
4.就近空位存储策略
就近空位存储策略就是指将到达的货物单元分配到距离较近的空闲位置上,该种策略可以最大限度减少直接行走的距离。在自动化存储系统(AS/RE)当中,如果空间利用率很高,那么就近空位存储策略与随机存储策略的效果相似。
储位优化是通过一定的分配原则和合适的存储策略为每种货品指定储位,减少拣选时间、路程,从而提高拣选效率。AGV小车作业过程中执行的是双循环作业命令,因此在货位优化中要尽可能最大化同一个货架中的品项的相关性和订购频次,对商品进行聚类,将订购频次高、相关性强的品项存储于同一货架上,使得每个货架的内聚度最大,减少货架的搬运次数。
四、案例分析与实施
开篇引例用到的表格:商品基本情况信息表、销售数据及库存信息表。
(一)商品基本情况分析
1.商品存储单位分析
通过物流商品基本情况及历史订单数据信息的综合分析可知,其商品存储单位主要是件。
2.商品包装形态分析
服装商品的包装形态普遍为袋装、盒装商品,其包装易于进行存取等作业操作。
3.商品体积、重量基本情况分析
通过对“商品基本信息表”进行初步分析统计后,得出如下结果:
对文档排序最大体积:300 000 000立方毫米
最小重量:900毫克
最小体积:9 000立方毫米
最大重量:3 558 000毫克
平均体积:13 358 569.9立方毫米
平均重量:726 822毫克
(二)仓库存储能力目标分析
通过对“品牌2020年销售、库存数据”进行分析,得出以下结果:
日均出库数量:出库量/出库日=815 509/360=2 265.30(件)
日均订单数:订单数/出库日=621 953/360=1 727.65(单)
平均月库存量:(如果给了周转天数就无须计算)

周转次数:全年销售总量(全年出货总量)/平均月库存量=815 509/27 183.6=30(次)
周转天数:全年实际工作日/周转次数=360/30=12(天)
目标存储量:周转天数×日均商品出库数量=12×2 265.4=27 184.6(件)
(三)分析结论
企业的商品属性为服装,单件商品规格较小,且具有大量的SKU,需要在场地有限的情况下存储大量的商品,商品适合小型箱式存储与拣选。
(1)商品以小件商品为主,大部分产品重量在1千克以下(大多数商品都在1千克以下)。
(2)仓库目标存储情况:平均周转天数12天;目标存储量27 184.6件。