-
1.1作者的话
-
1.2目录
-
1.3一、羽毛球运动简介
-
1.3.1(一)羽毛球运动的起源与发展
-
1.3.2(二)世界羽毛球主要赛事
-
1.3.2.11.汤姆斯杯(Thomas Cup)世界羽毛球男子团体赛
-
1.3.2.22.尤伯杯(Uber Cup)世界羽毛球女子团体赛
-
1.3.2.33.苏迪曼杯(Sudirman Cup)世界羽毛球男女混合团体赛
-
1.3.2.44.世界羽毛球锦标赛(World Badminton Championships)单项比赛
-
1.3.2.55.世界杯赛(World Cup)单项比赛
-
1.3.2.66.世界羽毛球大奖总决赛(World Grand Prix Finals)单项比赛
-
1.3.2.77.世界青少年羽毛球锦标赛(World Junior Championships)
-
1.3.2.88.奥林匹克运动会羽毛球比赛(Olympic Games)
-
1.3.3(三)我国羽毛球主要赛事
-
1.3.3.11.全国羽毛球锦标赛
-
1.3.3.22.全国青年羽毛球锦标赛
-
1.3.3.33.全国少年羽毛球锦标赛
-
1.3.3.44.全国羽毛球双打比赛
-
1.3.3.55.全运会、全国城市运动会等全国性综合运动会羽毛球比赛
-
1.4二、羽毛球竞赛项目和竞赛方法
-
1.4.1(一)羽毛球竞赛项目
-
1.4.1.11.羽毛球单项赛项目
-
1.4.1.22.羽毛球团体赛项目
-
1.4.1.33.团体赛运动员出场名单确定的方法
-
1.4.1.44.比赛胜负的计算单位
-
1.4.2(二)羽毛球竞赛方法
-
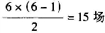
1.4.2.11.单循环制
-
1.4.2.22.单淘汰制
-
1.4.2.33.循环、淘汰混合制
-
1.4.2.44.佩奇制
-
1.4.2.55.预选赛
-
1.4.2.66.运动员的比赛积分排名
-
1.4.2.77.抽签
-
1.5三、羽毛球竞赛编排与成绩记录工作
-
1.5.1(一)竞赛日程的编排
-
1.5.1.11.竞赛日程编排的依据
-
1.5.1.22.竞赛日程编排的步骤
-
1.5.2(二)比赛场序的编排
-
1.5.2.11.固定场地的场序编排(方法一)
-
1.5.2.22.调度场地的场序编排(方法二)
-
1.5.2.33.两种方法的说明和比较
-
1.5.2.44.在一节时间中有运动员兼项的场序安排
-
1.5.2.55.循环赛比赛场序日程表
-
1.5.2.66.安排比赛场序时应避免的错误
-
1.5.2.77.比赛场序的调整
-
1.5.3(三)训练场地的安排
-
1.5.3.11.赛前训练场地的安排
-
1.5.3.22.比赛开始后训练场地的安排
-
1.5.4(四)比赛秩序册
-
1.5.4.11.封面
-
1.5.4.22.竞赛规程及竞赛补充规定
-
1.5.4.33.竞赛有关人员名单
-
1.5.4.44.竞赛总日程表
-
1.5.4.55.比赛秩序表
-
1.5.5(五)成绩记录及成绩公报、公告
-
1.5.5.11.成绩记录
-
1.5.5.22.成绩公告
-
1.5.5.33.成绩公报
-
1.5.6(六)成绩册
-
1.6四、羽毛球裁判人员的工作职责和裁判方法
-
1.6.1(一)裁判长的职责与担任裁判长的条件
-
1.6.1.11.裁判长的职责
-
1.6.1.22.担任裁判长的条件
-
1.6.2(二)裁判长在比赛前的工作
-
1.6.2.11.阅读本次比赛的竞赛规程和文件
-
1.6.2.22.了解比赛概况
-
1.6.2.33.了解竞赛各有关部门及人员的联系方法
-
1.6.2.44.核查抽签、竞赛编排等情况
-
1.6.2.55.检查场地、设备、器材是否符合要求
-
1.6.2.66.检查运动员检录处
-
1.6.2.77.检查比赛用球
-
1.6.2.88.召开裁判长、领队和教练员联席会议
-
1.6.2.99.主持全体裁判员会议
-
1.6.2.1010.召集全体司线裁判员会议
-
1.6.2.1111.对编排记录长提出要求
-
1.6.2.1212.会见医生并提出配合要求
-
1.6.3(三)裁判长在比赛中的工作
-
1.6.3.11.检查场地器材
-
1.6.3.22.测试球速
-
1.6.3.33.裁判工作准备会
-
1.6.3.44.检查各岗位到位情况
-
1.6.3.55.比赛进行中的工作
-
1.6.3.66.接受申诉的处理
-
1.6.3.77.对破坏比赛连续性和行为不端的处理
-
1.6.3.88.对场上受伤情况的处理
-
1.6.3.99.关于比赛用球速度申诉的处理
-
1.6.3.1010.考察裁判员的工作
-
1.6.3.1111.审核裁判员的记分表
-
1.6.4(四)裁判长在比赛结束后的工作
-
1.6.5(五)裁判员的职责
-
1.6.6(六)裁判员的裁判工作方法
-
1.6.6.11.进场前的工作
-
1.6.6.22.比赛开始前的工作
-
1.6.6.33.发球期的工作
-
1.6.6.44.球在比赛进行中的工作
-
1.6.6.55.死球期的工作
-
1.6.6.66.比赛结束后的工作
-
1.6.7(七)比赛时裁判员的宣报方法
-
1.6.7.11.宣报比赛开始
-
1.6.7.22.比赛中的宣报
-
1.6.7.33.英语宣报方法
-
1.6.8(八)比赛时的记分方法
-
1.6.8.11.比赛前的准备工作
-
1.6.8.22.单打记分
-
1.6.8.33.双打记分
-
1.6.9(九)发球裁判员的职责
-
1.6.9.11.宣判发球员在发球时的违例
-
1.6.9.22.协助裁判员检查场地和器材
-
1.6.9.33.协助裁判员管理羽毛球
-
1.6.9.44.放置暂停标志
-
1.6.10(一〇)“发球违例”的判断
-
1.6.10.11.发球脚违例
-
1.6.10.22.发球未先击中球托
-
1.6.10.33.发球过腰
-
1.6.10.44.发球过手
-
1.6.10.55.延误发球
-
1.6.11(一一)发球裁判员的裁判工作方法
-
1.6.11.11.发球裁判员的视角
-
1.6.11.22.发球裁判员的宣报时间
-
1.6.11.33.发球裁判员的手势
-
1.6.11.44.严格控制发球违例
-
1.6.11.55.如何掌握判罚“发球违例”的尺度
-
1.6.11.66.公平判罚不搞平衡
-
1.6.12(一二)司线裁判员的工作职责与方法
-
1.6.12.11.司线裁判员的职责
-
1.6.12.22.司线裁判员的人数和位置
-
1.6.12.33.如何判断“界内”和“界外”球
-
1.6.12.44.司线裁判员的工作方法
-
1.6.12.55.球碰球拍或衣服、身体后落界外的判决
-
1.6.12.66.做好司线裁判员的条件、要素和技能
-
1.6.13(一三)记分员的工作职责与方法
-
1.7五、羽毛球竞赛场地设施、设备器材和裁判用品
-
1.7.1(一)羽毛球比赛馆的设施
-
1.7.1.11.运动员休息室
-
1.7.1.22.裁判员休息室
-
1.7.1.33.贵宾休息室
-
1.7.1.44.医务室
-
1.7.1.55.兴奋剂检测室
-
1.7.1.66.厕所
-
1.7.1.77.新闻中心
-
1.7.1.88.快餐小卖部
-
1.7.2(二)球场
-
1.7.2.11.木质地板的保养
-
1.7.2.22.塑胶场地的安放和保养
-
1.7.3(三)球场的灯光
-
1.7.3.11.灯光的位置
-
1.7.3.22.灯光的亮度
-
1.7.4(四)场地四周墙的颜色
-
1.7.5(五)场内风力的控制
-
1.7.6(六)场地的布局
-
1.7.6.11.球场的位置
-
1.7.6.22.球场之间的间隔距离
-
1.7.6.33.记分显示器
-
1.7.6.44.“A”字广告牌
-
1.7.6.55.裁判长席
-
1.7.6.66.记录台
-
1.7.6.77.场内医务
-
1.7.6.88.运动员、教练员席
-
1.7.6.99.裁判员席
-
1.7.6.1010.记者席
-
1.7.7(七)网柱和网的安放
-
1.7.7.11.网柱
-
1.7.7.22.网
-
1.7.8(八)裁判椅
-
1.7.8.11.裁判员椅
-
1.7.8.22.发球裁判员椅
-
1.7.8.33.司线裁判员椅
-
1.7.9(九)其他设施及物品
-
1.7.9.11.衣物筐
-
1.7.9.22.放球箱
-
1.7.9.33.干拖把
-
1.7.9.44.暂停标志
-
1.7.9.55.量网尺
-
1.7.9.66.记分垫板
-
1.7.9.77.比分显示器
-
1.7.9.88.比赛球
-
1.7.9.99.球拍
-
1.8六、竞赛组织工作内容和工作程序
-
1.8.1(一)竞赛规程
-
1.8.1.11.比赛名称
-
1.8.1.22.比赛的主办单位
-
1.8.1.33.比赛日期和地点
-
1.8.1.44.竞赛项目
-
1.8.1.55.参加单位
-
1.8.1.66.报名办法
-
1.8.1.77.竞赛办法
-
1.8.1.88.各项目的录取名次
-
1.8.1.99.弃权的处理
-
1.8.1.1010.奖励办法
-
1.8.1.1111.比赛用球的牌号
-
1.8.1.1212.裁判长和裁判员
-
1.8.1.1313.经费
-
1.8.1.1414.竞赛补充规定
-
1.8.2(二)裁判员队伍的组成
-
1.8.2.11.裁判长
-
1.8.2.22.裁判员的等级
-
1.8.2.33.裁判员的人数
-
1.8.3(三)比赛时的裁判工作流程
-
1.8.3.11.比赛开始前的工作
-
1.8.3.22.比赛开始的工作
-
1.8.3.33.一场比赛结束后的工作
-
1.8.3.44.一节比赛结束后的工作
-
1.9七、羽毛球裁判员的晋升与考核
-
1.9.1(一)我国羽毛球国家级裁判员的晋升与考核
-
1.9.2(二)国际羽毛球裁判员的晋升与考核
-
1.9.2.11.国际羽毛球联合会裁判委员会
-
1.9.2.22.亚洲羽毛球联合会裁判委员会
-
1.10附录:
-
1.10.11.国际羽联裁判长报告表
-
1.10.22.国际羽联裁判长报告中文注释
-
1.10.33.羽毛球竞赛规则(1999)
-
1.10.3.1目录
-
1.10.3.2第一章 羽毛球比赛规则
-
1.10.3.2.11.球场和球场设备
-
1.10.3.2.22.羽毛球
-
1.10.3.2.33.球速的检验
-
1.10.3.2.44.羽毛球拍
-
1.10.3.2.55.设备的批准
-
1.10.3.2.66.掷挑边器
-
1.10.3.2.77.计分方法
-
1.10.3.2.88.交换场区
-
1.10.3.2.99.发球
-
1.10.3.2.1010.单打
-
1.10.3.2.1111.双打
-
1.10.3.2.1212.发球区错误
-
1.10.3.2.1313.违例
-
1.10.3.2.1414.重发球
-
1.10.3.2.1515.死球
-
1.10.3.2.1616.比赛连续性、行为不端及处罚
-
1.10.3.2.1717.裁判职责和受理申诉
-
1.10.3.2.18附录
-
1.10.3.2.18.1一、球场和球场设备的变通
-
1.10.3.2.18.2二、礼让比赛
-
1.10.3.2.18.3三、一局非11分或15分的比赛
-
1.10.3.2.18.4四、裁判员临场规范用语
-
1.10.3.2.18.5五、伤残人羽毛球比赛规则
-
1.10.3.2.18.6六、公制与英制对照表
-
1.10.3.3第二章 对临场裁判人员的建议
-
1.10.3.3.11.引言
-
1.10.3.3.22.裁判人员及其裁决
-
1.10.3.3.33.对裁判员的建议
-
1.10.3.3.44.裁判工作基本要求
-
1.10.3.3.55.对发球裁判员的要求
-
1.10.3.3.66.对司线员的要求
-
1.10.3.4第三章 羽毛球竞赛章程
-
1.10.3.4.1第一节 比赛项目
-
1.10.3.4.1.1一、团体赛
-
1.10.3.4.1.2二、单项比赛
-
1.10.3.4.2第二节 比赛方法
-
1.10.3.4.2.1一、单循环赛
-
1.10.3.4.2.2二、单淘汰赛
-
1.10.3.4.3第三节 确定“种子”的原则
-
1.10.3.4.4第四节 报名顺序
-
1.10.3.4.5第五节 运动员的替补
-
1.10.3.4.6第六节 比赛日程安排
-
1.10.3.4.7第七节 场地规定
-
1.10.3.4.8第八节 比赛用球
-
1.10.3.4.9第九节 服装颜色和广告
-
1.10.3.4.10第十节 比赛用表
-
1.10.3.4.10.11.羽毛球团体赛出场名单表
-
1.10.3.4.10.22.混合团体赛出场名单表
-
1.10.3.4.10.33.羽毛球团体赛计分表
-
1.10.3.4.10.44.羽毛球比赛记分表
-
1.10.3.5第四章 国际羽联《羽毛球比赛规则》(英文版)临场规范用语
-
1.10.3.5.11.Announcements and Introductions
-
1.10.3.5.22.Start of match and calling the score
-
1.10.3.5.33.General communication
-
1.10.3.5.44.End of Match
-
1.10.3.5.55.Scoring
