1
瓜州县耕地质量评价
1.8.1.3 三、土壤氮素状况
三、土壤氮素状况

(一)土壤全氮含量空间分布

氮素是作物生长的重要营养元素之一,土壤氮素在土壤肥力中起着相当重要的作用。土壤是作物氮素的主要来源之一,与土壤有机质有显著的相关性。

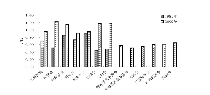
根据对瓜州县13个乡镇的683个土壤样品全氮的分析检测,其土壤全氮含量为0.85g/kg。根据甘肃省养分分级标准,瓜州县土壤全氮含量为Ⅴ级。

对瓜州县各乡(镇)全氮含量进行对比分析,全氮含量小于平均值0.85g/kg的有6个乡(镇),分别为七墩回族东乡族乡、双塔乡、腰站子东乡族乡、广至藏族乡、沙河回族乡、梁湖乡;其他乡在0.85g/kg以上。其中七墩回族东乡族乡全氮含量较低,为0.52g/kg;南岔镇、瓜州乡和西湖乡全氮含量较高,分别为1.23g/kg、1.19g/kg和1.18g/kg。全氮含量在0.75~1.00g/kg的主要有七墩回族东乡族乡、双塔乡、腰站子东乡族乡、广至藏族乡、沙河回族乡、梁湖乡、河东乡、三道沟镇、布隆吉乡;在1.0~1.25g/kg的乡镇有锁阳城镇、西湖乡、瓜州乡、南岔镇。(见图3-5)

图3-5 不同乡镇土壤全氮含量

将此次测土配方施肥所测全氮含量数据与第二次土壤普查全氮含量数据相比较,由于腰站子东乡族乡、七墩回族东乡族乡、双塔乡、广至藏族乡、沙河回族乡、梁湖乡为第二次土壤普查之后所建制的移民乡镇,没有第二次土壤普查的数据,无法做出比较,只比较三道沟镇、南岔镇、锁阳城镇、河东乡、布隆吉乡、西湖乡、瓜州乡7个乡镇。通过比较7个乡镇全氮含量的变化状况,结果表明:7乡镇的土壤全氮含量均有所增加,平均增加了0.42g/kg;其中西湖乡、南岔乡及瓜州乡增幅较大,分别增加0.73g/kg、0.71g/kg和0.70g/kg;其他乡镇增幅相对较小,均小于0.30g/kg。(见图3-5)

(二)不同土壤类型全氮含量变化

对瓜州县不同土壤类型全氮含量进行对比分析得出。盐土全氮含量最高,为1.18g/kg。盐化棕漠土全氮含量最低,为0.61g/kg。(见图3-6)

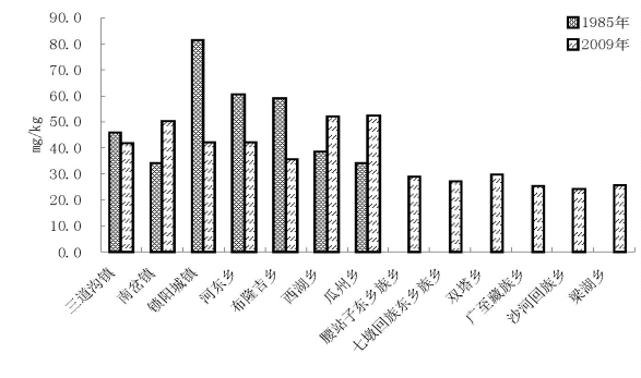
(三)土壤碱解氮含量空间分布

根据对瓜州县13个乡镇701个土壤样品的分析检测,其土壤碱解氮平均含量为36.71mg/kg。根据甘肃省养分分级标准,瓜州县土壤碱解氮含量为Ⅶ级。

对瓜州县各乡(镇)进行对比分析,碱解氮含量小于平均值36.71mg/kg的有8个乡(镇),分别为沙河回族乡、广至藏族乡、梁湖乡、七墩回族东乡族乡、腰站子东乡族乡、双塔乡、布隆吉乡;其他乡(镇)在36.71mg/kg以上。瓜州乡碱解氮含量最高,为52.33mg/kg,沙河回族乡碱解氮含量最小,为24.23mg/kg。(见图3-7)

图3-6 不同土壤类型全氮含量

图3-7 不同乡镇土壤碱解氮含量

将此次测土配方施肥所测碱解氮含量数据与第二次土壤普查碱解氮含量数据相比较,由于腰站子东乡族乡、七墩回族东乡族乡、双塔乡、广至藏族乡、沙河回族乡、梁湖乡为第二次土壤普查之后所建制的移民乡镇,没有第二次土壤普查的数据,无法做出比较,只比较三道沟镇、南岔镇、锁阳城镇、河东乡、布隆吉乡、西湖乡、瓜州乡7个乡镇。通过比较7个乡镇有碱解氮含量的变化状况,结果表明:全县碱解氮含量减少5.34g/kg;其中7乡镇中有三道沟镇、锁阳城镇、河东乡和布隆吉乡4个乡镇的土壤碱解氮含量减少,锁阳城镇减幅最大,为39.22mg/kg;西湖乡、南岔镇及瓜州乡碱解氮含量增加,分别增加了13.50mg/kg、16.20mg/kg和18.33mg/kg;其他乡镇碱解氮含量变化相对较小。(见图3-7)

(四)不同土壤类型碱解氮含量变化

对瓜州县不同土壤类型碱解氮含量进行对比分析,盐化棕漠土碱解氮含量最高,为48.95mg/kg。盐土碱解氮含量最低,为25.34mg/kg。(见图4-8)

图3-8 不同土壤类型碱解氮含量