1
瓜州县耕地质量评价
1.8.1.2 二、土壤有机质
二、土壤有机质

(一)土壤有机质含量空间分布

土壤有机质是土壤质量高低的重要指标,也是土壤有效养分的来源之一。由于它具有胶体特征,能吸附较多的阳离子,因而使土壤具有保肥性和缓冲性。有机质能改善土壤的物理性状,同时也是土壤微生物必不可少的碳源。

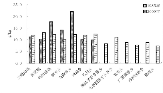
根据对瓜州县13个乡镇663个样品有机质的分析检测,瓜州县土壤有机质平均含量为8.43g/kg。根据甘肃省养分分级标准,瓜州县土壤有机质含量为Ⅵ级。

对瓜州县各乡(镇)有机质含量进行对比分析,有机质含量平均值小于8.43g/kg的乡(镇)有5个,分别为梁湖乡、广至藏族乡、腰站子东乡族乡、双塔乡、沙河回族乡;其他乡(镇)有机质含量均在8.43g/kg以上。其中南岔镇有机质含量最高,为13.10g/kg,梁湖乡有机质含量最低,为7.35g/kg。有机质含量在6~10g/kg的主要在梁湖乡、广至藏族乡、腰站子东乡族乡、双塔乡、沙河回族乡,其余各乡镇有机质含量均在10.0~15.0g/kg之间。(见图3-3)

将此次测土配方施肥所测有机质数据与第二次土壤普查有机质数据相比较,由于腰站子东乡族乡、七墩回族东乡族乡、双塔乡、广至藏族乡、沙河回族乡、梁湖乡为第二次土壤普查之后所建制的移民乡镇,没有第二次土壤普查的数据,无法做出比较,只比较三道沟镇、南岔镇、锁阳城镇、河东乡、布隆吉乡、西湖乡、瓜州乡7个乡镇。通过比较7个乡镇有机质含量的变化状况,结果表明:7乡镇的土壤有机质含量平均减少1.56g/kg,有3个乡镇有机质含量有所减小,4个乡镇有所增加;其中布隆吉乡减幅较大,减少了9.61g/kg;南岔镇增幅较大,增加了2.80g/kg。(见图3-3)

图3-3 不同乡镇耕层土壤有机质含量变化

(二)不同土壤类型有机质含量变化

对瓜州县不同土壤类型有机质含量进行对比分析。其中潮土有机质含量最高,为12.42g/kg。盐化棕漠土有机质含量最低,为7.65g/kg。(见图3-4)

图3-4 不同土壤类型有机质含量