2.神秘的
现在,我们来研究一下高级数学。二二得四,三三得九,四四十六,五五二十五,所以,2是4的算术平方根,3是9的算术平方根,4是16的算术平方根,5是25的算术平方根[4]。
不过,负数的平方根是怎样的呢?
和
之类的表达式的意义在哪里呢?
假如从有理数的角度来设想这样的数,你必然会得出结论,证明这样的表达式没有什么意义,12世纪的一位数学家拜斯伽罗的一句话可以用来作引用:正数的平方是正数,负数的平方还是正数。所以,一个正数的平方根是双重的:一个正数和一个负数。因为负数不是平方数,所以负数没有平方根。
但是数学家的脾气非常倔强。要是在数学公式里不断出现一些看起来没有意义的东西,他们就会竭尽全力创造出一些意义来。很多地方都出现过负数的平方根,它既在古老和简单的算术问题中出现过,也在20世纪相对论的时空结合问题中露过面。
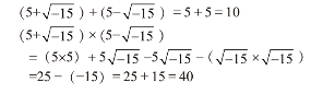
16世纪的意大利数学家卡尔丹是第一个把负数的平方根这个“显然”没有意义的东西写进公式中的勇士。在针对能否把10分为两部分,让两者的乘积为40时,他指出,虽然这一问题还没有出现答案,但是也可以满足要求,只要把答案写成
和
这样两个奇怪的表达式即可[5]。
无论如何,卡尔丹还是把它们写出来了,虽然他认为这两个表达式没有意义,而且是虚构和想象的。
虽然这有点痴人说梦,但还是有人敢把负数的平方根写出来,而且把将10分为两个乘起来等于40的部分的问题解决了。 既然卡尔丹做了第一个吃螃蟹的人,给负数的平方根起了个大号叫作“虚数”,这样科学家们也就越来越多地使用它了,尽管要做出很多保留,而且要指出各种理由。虚数在著名瑞士科学家欧拉于1770年发表的代数著作中被频繁使用。但是,他把这种数又加上了这样一个评论——因为它们所表示的是负数的平方根,所以一切形如
的数都是不可能有的和想象的。这类数纯属虚幻,对于它们来说,我们可以下的结论就是,它们既非一无是处,又不比一无是处多点什么,更不比一无是处少点什么。
虚数依然快速成为分数的根式中无法避免的东西,即使有这些非难和遁词,要是没有它们,有些问题根本就是无法解决了。
可以这样说,实数在镜子里的幻象组成了虚数。此外,我们可以把
作为虚数的基数(常写作1)来得到所有的虚数,就像我们从基数1可以得到所有实数一样。
通常写作i 。
很容易看出,
2.646…×i ,等等。如此一来,每一个实数都有自己的虚数搭档。而且,实数和虚数也可以结合起来,成为单独的表达式,例如
卡尔丹发明了这种表示方法,而这种混成的表示一般被称为复数。
虚数闯入数学的领域之后一直戴着一张神秘和不可思议的面具,持续了足足有两个世纪。这个面具直到两个业余数学家对虚数作出了简单的几何解释之后才被揭开。他们是策划员威塞尔(挪威人,会计师)和阿尔刚(法国巴黎人)。
他们的解释是这样的,像3+4i这样的复数,如图10表示出来的那样,水平方向的坐标是3,垂直方向的坐标是4。
对应于横轴上的点的是所有的实数(正数和负数),对应于纵轴上的点的是纯虚数。当我们想要得到位于纵轴上的纯虚数3i时,我们可以把位于横轴上的实数3乘以虚数单位i 。所以,从几何上来说,一个数乘以i,相当于逆时针旋转90°。要是把3i再乘以i ,需要再逆转90°,如此一来又回到了横轴上,但是却在负数那一边了。因为
3i×i=3i2=-33
或
i2=-1
“i的平方等于1”这个说法,比“两次旋转90°便变成反向”更容易理解。

图10 复数的解释
复数同样可以用于这个规则。把3+4i乘以i,得到
(3+4i)i=3i+4i2=3i-4=-4+3i
从图10能马上看出,-4+3i正好相当于3+4i这个点绕原点逆时针旋转了90°。同样的道理,一个数乘上-i就是它绕原点顺时针旋转90°。这一点从图10也能看出。
要是你此时还认为虚数戴着一张神秘的面具,下面我们来看一个简单的、含有虚数的实际应用的题目以揭开这个面具吧。
过去,一张羊皮纸被一个很有冒险精神的年轻人在他曾祖父的遗物中发现了,纸上指出了一个宝藏,上面这样写道:
乘船至北纬______、西经______[6],一座荒岛就会出现在眼前。一大片草地在岛的北岸,其中有一株橡树和一株松树[7]。还有一座我们过去用来吊死叛变者的绞架。记住从绞架走到橡树用了多少步;到了橡树往右转个直角再走相同的步数,原地打桩。接着回到绞架处,向松树走去,把走的步数记在心里,到了松树往左转个直角继续走相同的步数,在这个地方也打个桩。想要找到宝藏,就要在两个桩的正中间挖掘。
由于这条指示清楚、明白,这个年轻人租了一条开往目的地的船。虽然他找到了这座岛,也找到了橡树和松树,但让他倍感失望的是找不到绞架了。绞架经过长期的风吹日晒雨淋,已经一片糟烂,丝毫看不出痕迹了。
绝望的情绪笼罩在这位年轻的冒险家身上,他狂乱地在地上乱掘起来。然而,一切都只是枉然,因为地方太大了。他一无所获,只能启帆踏上归程。所以,那些宝藏也许还埋在岛上呢!
这是一个让人心痛的故事,但是,让人更加心痛的是:这个小伙子要是懂得一些数学知识,尤其是关于虚数的知识,他应该是能够找到这个宝藏的。此刻我们来帮他找找看,虽然已经太晚,没什么必要了。
我们把这个岛看作一个复数平面。隔两棵树画一轴线,实轴过两树中点,与实轴垂直作虚轴(图11),长度单位以两树距离的一半儿来计算。如此一来,橡树在实轴上的-1点上,松树则在实轴上的+1点上。我们不知道绞架在哪里,可以用大写的希腊字母Γ作为它的假定位置,因为这个字母很像个绞架。由于这个位置也许不在两根轴上,所以Γ应该是个复数。也就是
Γ=a+bi
现在来做一些小算术,我们之前讲过的虚数的乘法也别忘了。因为绞架在Γ点上,橡树在-1点上,两者的距离和位置就是

图11 用虚数来帮我们找宝藏
-1-Γ=-(1+Γ)
一样的道理,绞架与松树相距1-Γ。把这两段距离一个顺时针旋转90°,一个逆时针旋转90°,按照上面的规则将两个距离各乘以-i和i 。如此两根桩的位置便得出来了:
第一根:(-i)[-(1+Γ)]+1=i(Γ+1)+1
第二根:(+i)(1-Γ)-1=i(1-Γ)-1
两根桩的正中间有宝藏,所以,我们要算出上面两个复数总和的一半,也就是


目前可以看出,Γ所表示的绞架的位置已经消失在运算过程中了。无论这绞架在哪里,宝藏都在+i这一点上。
你看,我们这位年轻的探险家假如能作那么一点数学运算,他只需在图11中打“×”处挖一挖,就可以得到宝藏了,而不用在整个岛上挖来挖去。
假如你还是觉得不可能找到宝藏,也根本不知道绞架的位置,你可以拿出一张纸,在上面把两棵树的位置画上,然后在其他地方设想一下绞架的位置,接着就照着羊皮纸文件上的方法去做。你肯定每次都会得到复数平面中+i那个位置,不管你做多少次。
人们依靠 -1 的平方根这个虚数另外找到了一个宝藏,那就是普通的三维空间可以和时间结合,遵从四维几何学规律的四维空间继而形成了。我们将在下一章介绍爱因斯坦的思想和他的相对论,到时候我们再探讨这个发现。
【注释】
[1]简单地说,一个数的自然对数近似等于它的常用对数乘以2.3026。
[2]在初等几何课本中,用毕达哥拉斯定理证明了32+42=52。
[3]丢番图的规则是这样的:找两个数a和b,使2ab为完全平方。这时

用代数方法很容易证明,这时
x
2+y
2=z
2
用这个方法,我们可以列出所有可能性。最前面的几个例子是:
3
2+4
2=5
2(埃及三角形),
5
2+12
2=13
2 , 6
2+8
2=10
2 ,
7
2+24
2=25
2 , 8
2+15
2=17
2 ,
9
2+12
2=15
2 , 9
2+40
2=41
2 ,
10
2+24
2=26
2
[4]还有其他许多数的算术平方根也很容易得出,如

因为
(2.236…)×(2.236…)=5.000…
以及

因为
(2.702…)×(2.702…)=7.300 0…
[5]验证如下:

[6]为了不泄密起见,文件上的实际经纬度已予删去。
[7]出于同样的理由,树的种类在这里也改变了,在位于热带地区的宝岛上,显然会有好多种树。