1
工业机器视觉:基于灵闪平台的开发及应用
1.9.1.2 7.1.2 几何变换
7.1.2 几何变换

几何变换(Geometric Transformation)可以消除图像获取时所出现的几何畸变。该方法由两个基本步骤组成:第一步是像素坐标变换(Pixel Coordinate Transformation),将输入图像像素映射到输出图像,输出点的坐标为连续实数(在变换后其位置难以对应于输入图像);第二步是找到与变换后的点匹配最佳的输入图像中的点,并确定其亮度数值,该数值通常是用邻域中几个点的亮度插值(interpolation)计算得到的。

(1)像素坐标变换

像素坐标变换常用的方法包括双线性变换(Bilinear Transformation)和仿射变换(Affine Transformation),其中双线性变换需要至少4对对应点(坐标变换前后对应的点)来解出变换系数:

仿射变换比双线性变换要相对简单,只需要至少3对对应点来解出变换系数:

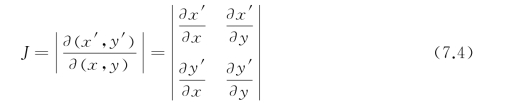
雅可比行列式(Jacobian determinant)J提供了坐标系如何变化的信息:

如果变换是奇异的,则J=0。如果图像的面积在变换下具有不变性,则J=1。双线性变换的雅可比式如下式:

而仿射变换的雅可比式如下式:

(2)亮度插值

三种常用的亮度插值方法分别为最近邻插值、线性插值和双三次插值。

最近邻插值(Nearest-Neighborhood Interpolation):定位误差最大是半个像素,这种误差在物体具有直线边界时就会显现出来,在变换后可能会呈现阶梯状。

线性插值(Linear Interpolation):可能会引起小的分辨率降低和模糊,原因在于其平均化的本性,但是减轻了阶梯状边界的问题。

双三次插值(Bi-Cubic Interpolation):免除了最近邻插值的阶梯状边界问题,也解决了线性插值的模糊问题。