-
1.1前言
-
1.2目录
-
1.3第一章 微观经济学导论
-
1.3.1第一节 西方经济学的研究对象
-
1.3.1.1一、什么是西方经济学
-
1.3.1.2二、作出选择的机会成本
-
1.3.1.3三、西方经济学研究的基本问题
-
1.3.1.4四、西方经济学的地位和作用
-
1.3.2第二节 微观经济学的产生与发展
-
1.3.2.1一、经济学的发展历程
-
1.3.2.2二、微观经济学的发展历程
-
1.3.2.3三、微观经济学与价格机制
-
1.3.3第三节 微观经济学的研究方法
-
1.3.3.1一、实证分析与规范分析
-
1.3.3.2二、均衡分析
-
1.3.3.3三、静态分析和动态分析
-
1.3.3.4四、经济模型分析
-
1.3.4第四节 微观经济学的基本假设
-
1.3.4.1一、经济人假设
-
1.3.4.2二、完全竞争假设
-
1.3.4.3三、市场出清假设
-
1.4第二章 需求、供给与供求均衡
-
1.4.1第一节 需求原理
-
1.4.1.1一、需求及其影响因素
-
1.4.1.2二、需求函数与需求定律
-
1.4.1.3三、需求量的变化与需求水平的变化
-
1.4.2第二节 供给原理
-
1.4.2.1一、供给及其影响因素
-
1.4.2.2二、供给函数与供给定律
-
1.4.2.3三、供给量的变化与供给水平的变化
-
1.4.3第三节 供求均衡
-
1.4.3.1一、均衡的含义
-
1.4.3.2二、均衡价格的形成
-
1.4.3.3三、均衡价格的变动
-
1.4.4第四节 需求弹性与供给弹性
-
1.4.4.1一、需求价格弹性
-
1.4.4.2二、其他需求弹性
-
1.4.4.3三、供给价格弹性
-
1.4.5第五节 供求理论与政府政策
-
1.4.5.1一、管制价格
-
1.4.5.2二、税收与补贴
-
1.5第三章 消费者均衡
-
1.5.1第一节 效用理论概述
-
1.5.1.1一、效用的概念
-
1.5.1.2二、基数效用论与序数效用论
-
1.5.2第二节 基数效用论与消费者均衡
-
1.5.2.1一、总效用与边际效用
-
1.5.2.2二、边际效用递减规律
-
1.5.2.3三、货币的边际效用
-
1.5.2.4四、消费者均衡
-
1.5.2.5五、等边际法则
-
1.5.2.6六、消费者剩余
-
1.5.3第三节 序数效用论与消费者均衡
-
1.5.3.1一、关于偏好的假定
-
1.5.3.2二、无差异曲线
-
1.5.3.3三、预算线
-
1.5.3.4四、序数效用论消费者均衡的条件
-
1.6第四章 消费者均衡的变动
-
1.6.1第一节 价格变化对消费者均衡的影响
-
1.6.1.1一、价格—消费曲线
-
1.6.1.2二、消费者的个人需求曲线
-
1.6.1.3三、从单个消费者需求曲线到市场需求曲线
-
1.6.2第二节 收入变化与消费者选择
-
1.6.2.1一、收入—消费曲线
-
1.6.2.2二、恩格尔曲线
-
1.6.3第三节 替代效应和收入效应
-
1.6.3.1一、替代效应和收入效应的含义
-
1.6.3.2二、正常商品的替代效应与收入效应
-
1.6.3.3三、低档物品的替代效应和收入效应
-
1.6.3.4四、吉芬商品的替代效应与收入效应
-
1.6.3.5五、替代效应、收入效应与价格的关系
-
1.6.4第四节 税收与消费者选择
-
1.6.4.1一、税收的种类
-
1.6.4.2二、比例税对消费者选择的影响
-
1.6.4.3三、定额税对消费者选择的影响
-
1.6.5第五节 跨时期的消费者选择
-
1.6.5.1一、跨时期选择的含义
-
1.6.5.2二、跨时期选择与资本市场
-
1.6.5.3三、利率变动的替代效应与收入效应
-
1.6.5.4四、储蓄曲线
-
1.7第五章 生产者均衡
-
1.7.1第一节 企业的目标
-
1.7.1.1一、生产与企业的定义
-
1.7.1.2二、企业的目标
-
1.7.2第二节 企业的本质
-
1.7.2.1一、企业的组织形式
-
1.7.2.2二、企业的本质
-
1.7.3第三节 生产函数与技术
-
1.7.3.1一、生产函数的概念
-
1.7.3.2二、短期生产函数
-
1.7.3.3三、长期生产函数
-
1.7.4第四节 生产者均衡
-
1.7.4.1一、等成本线
-
1.7.4.2二、最优投入组合
-
1.7.5第五节 规模报酬
-
1.7.5.1一、扩展线
-
1.7.5.2二、规模报酬
-
1.7.5.3三、规模报酬变动的原因
-
1.8第六章 生产者成本分析
-
1.8.1第一节 生产成本概述
-
1.8.1.1案例6.1 上大学值吗?
-
1.8.1.2一、成本的概念
-
1.8.2第二节 短期成本函数
-
1.8.2.1一、短期总成本
-
1.8.2.2二、单位成本分析
-
1.8.2.3三、短期成本曲线之间的关系
-
1.8.3第三节 长期成本函数
-
1.8.3.1一、长期成本的概念
-
1.8.3.2二、影响长期平均成本的因素
-
1.8.4第四节 收益与利润最大化
-
1.8.4.1一、收益的相关概念
-
1.8.4.2二、利润最大化的均衡条件
-
1.8.4.3三、生产者剩余
-
1.9第七章 完全竞争市场分析
-
1.9.1第一节 市场结构及其特征
-
1.9.2第二节 完全竞争市场概述
-
1.9.2.1一、完全竞争市场的特征
-
1.9.2.2二、完全竞争厂商的需求曲线
-
1.9.2.3三、完全竞争厂商的收益
-
1.9.3第三节 完全竞争市场的厂商均衡
-
1.9.3.1一、完全竞争厂商的短期均衡
-
1.9.3.2二、完全竞争厂商的短期供给曲线
-
1.9.3.3三、完全竞争厂商的长期均衡
-
1.9.3.4四、行业的长期供给曲线和长期均衡
-
1.10第八章 不完全竞争市场分析
-
1.10.1第一节 完全垄断市场的厂商均衡
-
1.10.1.1一、垄断厂商的需求曲线特征
-
1.10.1.2二、垄断厂商的收益曲线特征
-
1.10.1.3三、垄断厂商的短期均衡
-
1.10.1.4四、垄断厂商的长期均衡
-
1.10.1.5五、垄断厂商的价格歧视
-
1.10.2第二节 垄断竞争市场的厂商均衡
-
1.10.2.1一、垄断竞争市场的性质和成因
-
1.10.2.2二、垄断竞争市场的均衡
-
1.10.2.3三、非价格竞争
-
1.10.3第三节 寡头垄断市场的厂商均衡
-
1.10.3.1一、寡头垄断市场的性质和原因
-
1.10.3.2二、非勾结性寡头垄断模型
-
1.10.3.3三、勾结性寡头垄断模型
-
1.11第九章 博弈论
-
1.11.1第一节 博弈论概述
-
1.11.1.1一、博弈论的发展历程
-
1.11.1.2二、博弈论与诺贝尔经济学奖
-
1.11.1.3三、博弈论的规范表述
-
1.11.1.4四、博弈的分类与均衡
-
1.11.2第二节 完全信息静态博弈
-
1.11.2.1一、博弈的策略式表述
-
1.11.2.2二、占优策略均衡
-
1.11.2.3三、重复剔除的占优均衡
-
1.11.2.4四、纳什均衡
-
1.11.3第三节 完全信息动态博弈
-
1.11.3.1一、博弈的扩展式表述
-
1.11.3.2二、子博弈精炼纳什均衡
-
1.11.3.3三、重复博弈
-
1.11.3.4四、子博弈精炼纳什均衡与寡头垄断市场
-
1.11.4第四节 不完全信息博弈
-
1.11.4.1一、海萨尼转换
-
1.11.4.2二、不完全信息静态博弈与贝叶斯纳什均衡
-
1.11.4.3三、不完全信息动态博弈与精炼贝叶斯纳什均衡
-
1.11.4.4四、企业招聘中的不完全信息动态博弈
-
1.12第十章 要素市场分析
-
1.12.1第一节 完全竞争条件下的要素市场分析
-
1.12.1.1一、要素价格的含义
-
1.12.1.2二、要素需求的特点
-
1.12.1.3三、要素市场上的利润最大化原则
-
1.12.1.4四、完全竞争条件下厂商对要素的需求和要素的市场需求曲线
-
1.12.1.5五、生产要素的供给特征、原则及厂商面对的要素供给曲线
-
1.12.1.6六、要素的市场供给
-
1.12.1.7七、生产要素的市场均衡
-
1.12.2第二节 不完全竞争条件下的要素市场分析
-
1.12.2.1一、买方垄断的要素市场
-
1.12.2.2二、卖方垄断的要素市场
-
1.13第十一章 一般均衡与福利经济学
-
1.13.1第一节 一般均衡分析
-
1.13.1.1一、一般均衡的含义
-
1.13.1.2二、交换的一般均衡分析
-
1.13.1.3三、生产的一般均衡分析
-
1.13.1.4四、生产与交换的一般均衡
-
1.13.2第二节 福利经济学
-
1.13.2.1一、帕累托最优与竞争性均衡
-
1.13.2.2二、社会福利及其政策标准
-
1.13.2.3三、收入分配的不平等
-
1.14第十二章 垄断行为与管制
-
1.14.1第一节 垄断市场的效率评价
-
1.14.1.1一、垄断导致社会福利的损失
-
1.14.1.2二、垄断导致生产不足,资源配置的低效率
-
1.14.1.3三、收入分配的不公平
-
1.14.2第二节 对垄断的管制
-
1.14.2.1一、用反垄断法增强竞争,抑制垄断产生
-
1.14.2.2二、政府机构的价格管制
-
1.14.2.3三、某些行业规定为公共企业,实现公有制
-
1.14.2.4四、交给市场,不予干涉
-
1.15第十三章 信息不对称
-
1.15.1第一节 信息不对称概述
-
1.15.2第二节 逆向选择与解决
-
1.15.2.1一、逆向选择的产生
-
1.15.2.2二、逆向选择的解决办法——信号传递
-
1.15.3第三节 道德风险与解决
-
1.15.3.1一、道德风险的产生
-
1.15.3.2二、道德风险的解决办法
-
1.15.4第四节 委托—代理问题与激励机制
-
1.15.4.1一、委托—代理问题的内涵
-
1.15.4.2二、委托—代理问题中激励
-
1.16第十四章 外部性
-
1.16.1第一节 外部性概述
-
1.16.2第二节 外部性与资源配置无效率
-
1.16.2.1一、外部不经济与无效率
-
1.16.2.2二、外部经济与无效率
-
1.16.3第三节 外部性的矫正—政府管制[1]与可交易的污染许可证
-
1.16.3.1一、直接管制——颁发污染排放标准
-
1.16.3.2二、间接管制——对污染的企业征税和收费
-
1.16.3.3三、可交易的污染许可证[2]
-
1.16.4第四节 产权与科斯定理
-
1.16.4.1一、产权与科斯定理
-
1.16.4.2二、产权分析
-
1.16.5第五节 自愿支付与合并
-
1.16.5.1一、自愿支付
-
1.16.5.2二、企业合并
-
1.17第十五章 公共产品
-
1.17.1第一节 公共产品的概述
-
1.17.1.1一、公共产品的特征
-
1.17.1.2二、纯公共产品与准公共产品
-
1.17.1.3三、公共物品的最佳供应量
-
1.17.2第二节 公共产品与市场失灵
-
1.17.2.1一、免费搭车问题
-
1.17.2.2二、公共选择与表决机制
-
1.17.3第三节 公共决策与政府失灵
-
1.17.3.1一、政府失灵的原因
-
1.17.3.2二、政府失灵的防范和出路


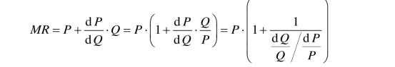
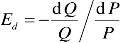
=-2·b,而
=-b,从而也会有图中的Q

