1
新能源汽车专业英语
1.7.2 5.2 Electronic Structure
5.2 Electronic Structure

Text(课文)

The most common architecture corresponds to a direct connection with the battery as presented by the diagram in Figure 5.4.Architectures as voltages of converter and motor are defined by battery voltage,all the criteria(like performances and costs)can not always reach.

Figure 5.4 Direct electric drive system

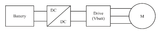
Another solution consists in adding a buffer DC/DC converter(Figure 5.5)whose main functions are voltage adaptation of the inverter+motor(choice of the optimized work voltage of the semiconductors,passive electronic parts and engine),and battery decoupling(active filtering,minimization of the requirement in capacitive elements).

Figure 5.5 Electric drive with DC/DC converter

New words and expressions(单词和短语)

1.New words(单词)

2.Expressions(短语)

Reading material(阅读材料)

The use of an electric traction motor in autonomous road vehicles implies the presence on board of an electric energy source,which can be:

a battery with an appropriate capacity for the desired range of the vehicle in the case of an all-electric vehicle;

battery of lower capacity,associated with a range extender(association of a thermal engine and an alternator)or with a fuel cell in the case of a hybrid electric vehicle.

This very brief presentation enables us to notice that in the majority of electric vehicles we will be confronted with the compatibility of DC-current energy sources and alternative-current sources and inside the same category with compatibilities between the voltages of the sources and receivers.This compatibility issue thus implies the presence of on board electric road vehicles with electronic converters whose role will make it possible to remove the operating incompatibilities.