1
土木工程材料(第4版)
1.16.8 实验8 木材试验
实验8 木材试验

(1)木材试验的一般规定

1)取样

试样的制作必须按《木材物理力学试验用材的锯解及试样截取方法》(GB/T 1929—2009)的规定进行。

2)试样制作

试样毛坯达到当地平衡含水率时,方可制作试件。试样各面加工均应平整,其中一对相对面必须是正确的弦切面;试样尺寸的允许误差,长度为±1 mm,宽或厚度为±0.5 mm。试样上不允许有任何缺陷,且必须清楚地写上编号。

3)主要仪器设备

①木材全能试验机。承载力为20~50 kN。

②天平(感量0.001 g)、秤量瓶、烘箱等。

③测量工具。钢直角尺、量角卡规(角度为106°32′)、钢尺、游标卡尺。

(2)木材含水率测定

木材含水率测定按标准《木材含水率测定方法》(GB/T 1931—2009)进行试验。

1)试验步骤

①试样截取后,应立即称量,准确至0.001 g。

②将试样放入温度为(103±2)℃的烘箱中烘8 h后,自烘箱中任意取出2~3个试样进行第一次试称,以后每隔2 h试称一次。最后两次质量差不超过试样质量的0.5%时,即为恒重。

③将试样自烘箱中取出放入玻璃干燥器内称量瓶中,并盖好瓶盖。试样冷却到室温后,即从称量瓶中取出称量。

2)结果计算

试样的含水率W(%)按下式计算(准确至0.1%),即

式中:m0、m1——为试样烘干前后的质量,g。

(3)木材顺纹抗拉强度试验

木材顺纹抗拉强度测定按《木材顺纹抗拉强度试验方法》(GB/T 1938—2009)进行。

1)试件制备

试件按实验图8.1所示的形状和尺寸制作。纹理必须通直,年轮层应垂直于试样有效部分(指中部60 mm长的一段)的宽面,有效部分与两端夹持部分之间的过渡弧应平滑,并与试样中心线相对称,有效部分宽、厚尺寸允许误差不超过±0.5 mm,并在全长上相差不得大于0.1 mm。软材树种的试样,须在两端被夹持部分附以90 mm×14 mm×8 mm的硬木夹垫,用胶合剂或木螺钉固定在试样上。

实验图8.1 顺纹抗拉试件形状和尺寸

1—木夹垫;2—木螺钉

2)试验步骤

①在试件有效部分中央,用卡尺测量厚度a和宽度b(精确至0.1 mm)。

②将试样两端夹紧在试验机的钳口中,使两端靠近弧形部分露出20~25 mm,先夹上端,调试验机零点,再夹下端。

③试验以均匀速度加荷,在1.5~2.0 min内使试样破坏。记录破坏荷载P(准确至100 N)。若试样拉断处不在有效部分,试验结果作废。

④阔叶树试验后,应立即在有效部分截取30 mm一段,测定其含水率。

3)结果计算

含水率为W%的木材顺纹抗拉强度σtw按下式计算(精确至0.1 MPa),即

(4)木材顺纹抗压强度试验

木材顺纹抗压强度测定按《木材顺纹抗压强度试验方法》(GB/T 1935—2009)进行。

1)试件制备

试件尺寸为20 mm×20 mm×30 mm,其长轴与木材纹理相平行,并垂直于受压面。

2)试验步骤

①用卡尺测量试件受力面的长度a及宽度b(精确至0.1 mm)。

②将试件立放在试验机承压板的中心位置,以均匀速度加荷,在1.5~2.0 min内使试样破坏,试验机指针明显退回或数字显示的荷载有明显减少为止。记录破坏荷载P(准确至100 N)。

③试验后立即将整个试样进行含水率测定。

3)结果计算

含水率为W%的木材顺纹抗压强度σcw,按下式计算(精确至0.1 MPa),即

(5)木材抗弯强度试验

木材抗弯强度测定按《木材抗弯强度试验方法》(GB/T 1936—2009)进行。

实验图8.2 抗弯强度试验装置

1—试验机压头;2—试验机支座;3—试样;4—钢垫片

1)试件制备

试件尺寸为20 mm×20 mm×300 mm,其长轴方向与木材纹理相平行。

2)试验步骤

①木材只作弦向抗弯试验。在试件长度的中央,用卡尺沿径向测量宽度b,沿弦向测量高度h(精确至0.1 mm)。

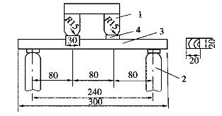
②将试件放于试验机抗弯支座上,其跨距为240 mm,试件上放上抗弯压头使试件三等分受力。抗弯支座和压头与试样两径面间必须分别加垫30 mm×20 mm×5 mm的钢垫片,如实验图8.2所示。

③均匀速度加荷,在1.0~2.0 min内使试样破坏,记录破坏荷载P(准确至10 N),并立即从靠近试样破坏处,锯取长约30 mm的木块一段,随即测定其含水率。

3)结果计算

试样含水率为W%的抗弯强度σfw按下式计算(精确至0.1 MPa),即

式中:L——支座间跨距,mm;

b、h——为试样的宽和高,mm。

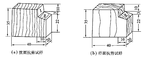
(6)木材顺纹抗剪强度试验

木材顺纹抗剪强度测定按《木材顺纹抗剪强度试验方法》(GB/T 1937—2009)进行。

1)试件制备

制作抗剪试件时,应使受剪面为正确的弦面或径面,试件形状如实验图8.3所示,试样尺寸误差不超过±0.5 mm,试样缺角部分的角度,须用特制的角度为106°42′的角规进行检查。

2)试验步骤

①用卡尺测量试件受剪面的宽度b和高度h(精确至0.1 mm)。

实验图8.3 顺纹抗剪试样的形状和尺寸

②将试件装入木材抗剪夹具的斜L形垫块3上(实验图8.4),调整螺杆4和5,使试样顶面和缺角Ⅰ面贴紧夹具上部凹角的相邻两侧面,至试样不动为止。再将压块置于试样斜面Ⅱ上,并使其侧面紧靠附件的主体。

③将装好试件的抗剪夹具置于试验机上,使压块6的中心对准试验机上压头的中心位置,以均匀速度加荷,1.5~2.0 min内使试样破坏,记录破坏荷载P(精确至10 N)。

④将试件破坏后的小块部分立即进行含水率测定。

3)结果计算

含水率为W%试件的顺纹抗剪强度σsw按下式计算(精确至0.1 MPa),即

实验图8.4 顺纹抗剪试验附件及试验装置

1—附件主杆;2—楔块;3—L形垫块;4,5—螺杆;6—压块;7—试样;8—圆头螺钉

式中:θ——加荷方向与顺纹方向之间的夹角(16°42′),cosθ=0.957 8。

(7)木材标准含水率强度换算

含水率对木材强度的影响很大,将试验时试件含水率W%的强度σw换算成标准含水率(W=12%)的强度σ12,方能相互比较。其换算式为:

σ12w[1+α(W-12)]

式中:W——试验时试件含水率(%),可按标准方法测出,也可以根据试验时环境的温度和相对湿度,由木材平衡含水率图查出。

α为含水率修正系数,α值按木材的受力性质与树种选取。

(8)木材试验结果评定

由试验结果确定木材在标准含水率下的平均抗拉、抗压、抗弯与抗剪强度,并由此比较其拉、压、弯、剪强度的大小关系。